chevron_left
chevron_right
Todo
Apuntes
Ejercicios
Exámenes
PEC
Prácticas
Test
Trabajos
chevron_left
chevron_right

He publicado nuevos trabajos de 2º Electrotecnia: presentacionLABSISTEMAS-DE-ARRANQUE-DE-MOTORES-TRIFASICOS.pptx

powerpoint

He publicado nuevos apuntes de 2º Electrotecnia: ApuntesTrafos.pdf

18 páginas

Evaluaciones Extra de Electrotecnia del curso 2024/2025.

3 páginas

He publicado nuevos examenes de 2º Electrotecnia: MOTORES-ASINCRONOS-EXAMENES-ELECTROTECNIA.pdf

12 páginas

He publicado nuevos examenes de 2º Electrotecnia: TRANSFORMADORES-EXAMENES-ELECTROTECNIA.pdf

3 páginas

He publicado nuevos examenes de 2º Electrotecnia: TRIFASICA-EXAMENES-ELECTROTECNIA.pdf

17 páginas

He publicado nuevos examenes de 2º Electrotecnia: LINEAS-ELECTRICAS-EXAMENES-ELECTROTECNIA.pdf

18 páginas

He publicado nuevos examenes de 2º Electrotecnia: LUMINOTECNIA-EXAMENES-ELECTROTECNIA.pdf

5 páginas

He publicado nuevos examenes de 2º Electrotecnia: MAQUINAS-SINCRONAS-EXAMENES-ELECTROTECNIA.pdf

14 páginas

He publicado nuevos examenes de 2º Electrotecnia: GRUPOS-ELECTROGENOS-EXAMENES-ELECTROTECNIA.pdf

8 páginas

He publicado nuevos apuntes de 2º Electrotecnia: PREGUNTAS-TEORICAS-1-Y-2-PARCIAL-ELECTROTECNIA.pdf

7 páginas

He publicado nuevos apuntes de 2º Electrotecnia: Teoria-electro-2oparcial.pdf

8 páginas

He publicado nuevos apuntes de 2º Electrotecnia: Soluciones-ejercicios-2P-intensivo.pdf

17 páginas

He publicado nuevos apuntes de 2º Electrotecnia: maquinaselectricas.pdf

18 páginas

apuntes

-

Examenes resueltos

He publicado nuevos apuntes de 2º Electrotecnia: Examenes resueltos

Lineas-electricas.pdf
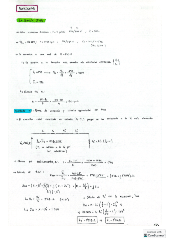
Asincronas.pdf
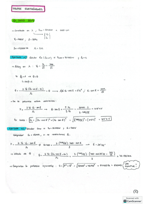
Grupos-electrogenos.pdf
trafos.pdf
Luminotecnia.pdf
Trifasica.pdf

He publicado nuevos examenes de 2º Electrotecnia: Julio23-y-Junio22.pdf

2 páginas

He publicado nuevos examenes de 2º Electrotecnia: Solucion-Examenes-Lineas-Electricas.pdf

10 páginas

He publicado nuevos apuntes de 2º Electrotecnia: Luminotecnia-y-Alumbrado.pdf

5 páginas

He publicado nuevos apuntes de 2º Electrotecnia: 1er-Parcial-ELECTRO.pdf

18 páginas

He publicado nuevos examenes de 2º Electrotecnia: Examenes-TRANSFORMADORES.pdf

10 páginas

He publicado nuevos apuntes de 2º Electrotecnia: Segundo-Parcial.pdf

12 páginas

He publicado nuevos apuntes de 2º Electrotecnia: Teoria-Electro-2o-Parcial.pdf

13 páginas

He publicado nuevos examenes de 2º Electrotecnia: Examenes-MOTORES-ASINCRONOS.pdf

17 páginas

He publicado nuevos examenes de 2º Electrotecnia: Examenes-GRUPOS-ELECTROGENOS.pdf

13 páginas

He publicado nuevos examenes de 2º Electrotecnia: Examenes-TRANSFORMADORES.pdf

18 páginas

He publicado nuevos examenes de 2º Electrotecnia: Examenes-CIRCUITOS-MAGNETICOS.pdf

16 páginas

He publicado nuevos examenes de 2º Electrotecnia: Examenes-LINEAS-ELECTRICAS.pdf

24 páginas

He publicado nuevos examenes de 2º Electrotecnia: Examenes-TRIFASICA.pdf

26 páginas

He publicado nuevos examenes de 2º Electrotecnia: Examenes-MONOFASICA.pdf

20 páginas

He publicado nuevos examenes de 2º Electrotecnia: Examenes-Luminotecnia.pdf

11 páginas

He publicado nuevos apuntes de 2º Electrotecnia: Primer-parcial-electrotecnia.pdf

12 páginas

He publicado nuevos ejercicios de 2º Electrotecnia: 2Parcial-ejercicios.pdf

16 páginas

He publicado nuevos ejercicios de 2º Electrotecnia: Luminotecnia.pdf

8 páginas

He publicado nuevos ejercicios de 2º Electrotecnia: Alterna.pdf

9 páginas

He publicado nuevos ejercicios de 2º Electrotecnia: Trifasica.pdf

13 páginas

He publicado nuevos ejercicios de 2º Electrotecnia: Ejercicios-lineas.pdf

5 páginas

He publicado nuevos ejercicios de 2º Electrotecnia: Resumen-ejercicios-TRAFOS-de-toda-la-vida.pdf

4 páginas

He publicado nuevos ejercicios de 2º Electrotecnia: Resumen-ejercicios-GRUPOS-ELECTROGENOS.pdf

2 páginas

He publicado nuevos ejercicios de 2º Electrotecnia: Resumen-ejercicios-TRAFOS-posible-ejercicio-examen.pdf

2 páginas

He publicado nuevos ejercicios de 2º Electrotecnia: Resumen-ejercicios-MAQUINAS-ASINCRONAS.pdf

4 páginas

apuntes

-

Segundo parcial

He publicado nuevos apuntes de 2º Electrotecnia: Segundo parcial

3-PROBLEMAS-MOTORES-ASINCRONOS.pdf
4-PROBLEMAS-DE-GRUPOS-ELECTROGENOS.pdf
2-PROBLEMAS-TRANSFORMADORES.pdf

He publicado nuevos apuntes de 2º Electrotecnia: TRAFOSprueba2daevcontinua.pdf

1 página

He publicado nuevos apuntes de 2º Electrotecnia: Tema-9-Maquinas-asincronas.PDF.pdf

8 páginas

He publicado nuevos apuntes de 2º Electrotecnia: Tema-10-Grupos-electrogenos.PDF.pdf

7 páginas

He publicado nuevos apuntes de 2º Electrotecnia: Tema-8-Transformadores.PDF.pdf

29 páginas

He publicado nuevos apuntes de 2º Electrotecnia: Tema-6-Circuitos-Magneticos.PDF.pdf

10 páginas

He publicado nuevos apuntes de 2º Electrotecnia: Tema-7-Introduccion-a-las-maquinas-electricas.PDF.pdf

5 páginas

He publicado nuevos apuntes de 2º Electrotecnia: Tema-5-Lineas-electricas.PDF.pdf

11 páginas

He publicado nuevos apuntes de 2º Electrotecnia: Tema-4-Circuitos-trifasicos.PDF.pdf

18 páginas

He publicado nuevos apuntes de 2º Electrotecnia: Tema-3-Corriente-alterna-sinusoidal-monofasica.PDF.pdf

19 páginas

He publicado nuevos apuntes de 2º Electrotecnia: Tema-1-Luminotecnia.PDF.pdf

11 páginas

He publicado nuevos apuntes de 2º Electrotecnia: Tema-2-Circuitos-electricos.PDF.pdf

21 páginas

He publicado nuevos apuntes de 2º Electrotecnia: 1-prueba-evaluacion.pdf

2 páginas
Anónimo

@Anónimo

He publicado nuevos apuntes de 2º Electrotecnia: 1P-Electro-Teoria-Completa.pdf

43 páginas

He publicado nuevos apuntes de 2º Electrotecnia: ELECTROTECNIA1PARCIALAPUNTES.pdf

12 páginas

He publicado nuevos examenes de 2º Electrotecnia: 1o-PARCIAL-2-7-DE-JUNIO-2012.pdf

Miniatura no disponible
pdf

He publicado nuevos examenes de 2º Electrotecnia: 1o-PARCIAL-3-11-DE-JULIO-2012.pdf

7 páginas

He publicado nuevos examenes de 2º Electrotecnia: 1o-PARCIAL-5-11-DE-JUNIO-2013.pdf

7 páginas

He publicado nuevos examenes de 2º Electrotecnia: 1o-PARCIAL-6-11-DE-JULIO-2013.pdf

7 páginas

He publicado nuevos examenes de 2º Electrotecnia: 1o-PARCIAL-4-10-DE-ABRIL-2013.pdf

6 páginas