Todo
Apuntes
Ejercicios
Exámenes
Otros
Prácticas
chevron_left
chevron_right

He publicado nuevos apuntes de 2º Electrotecnia: THEVENIN-Y-NORTON-VA.pdf

2 páginas

He publicado nuevos apuntes de 2º Electrotecnia: Tema-11.-Teoria-de-Maquinas-Electricas.pdf

1 página

He publicado nuevos apuntes de 2º Electrotecnia: Tema-10.-Transitorios.pdf

1 página

He publicado nuevos apuntes de 2º Electrotecnia: Tema-9.-Trifasica.pdf

1 página

He publicado nuevos apuntes de 2º Electrotecnia: Tema-8.-Potencia.pdf

1 página

He publicado nuevos apuntes de 2º Electrotecnia: Tema-7.-Circuitos-de-Corriente-Alterna.pdf

1 página

He publicado nuevos apuntes de 2º Electrotecnia: Tema-6.-Circuitos-de-Corriente-Continua.pdf

1 página

He publicado nuevos apuntes de 2º Electrotecnia: Tema-5.-Componentes-Dinamicos.pdf

1 página

He publicado nuevos apuntes de 2º Electrotecnia: Tema-3.-Fuentes-Reales-de-Corriente-Continua.pdf

2 páginas

He publicado nuevos apuntes de 2º Electrotecnia: Tema-4.-Ecuaciones-de-Nudos-y-Mallas-para-Circuitos-Resistivos.pdf

1 página

He publicado nuevos apuntes de 2º Electrotecnia: Tema-2.-Circuitos-Resitivos-con-Generadores-Ideales.pdf

2 páginas

He publicado nuevos apuntes de 2º Electrotecnia: Tema-1.-Introduccion.pdf

2 páginas

He publicado nuevos apuntes de 2º Electrotecnia: GENERAR-Y-DISIPAR.pdf

1 página

He publicado nuevos apuntes de 2º Electrotecnia: THEVENIN-Y-NORTON.pdf

1 página

Formulario para hacer TODOS los boletines y exámenes

11 páginas

He publicado nuevos examenes de 2º Electrotecnia: Falso-final-mayo-2025.pdf

8 páginas

Boletín resuelto Tema 9

13 páginas

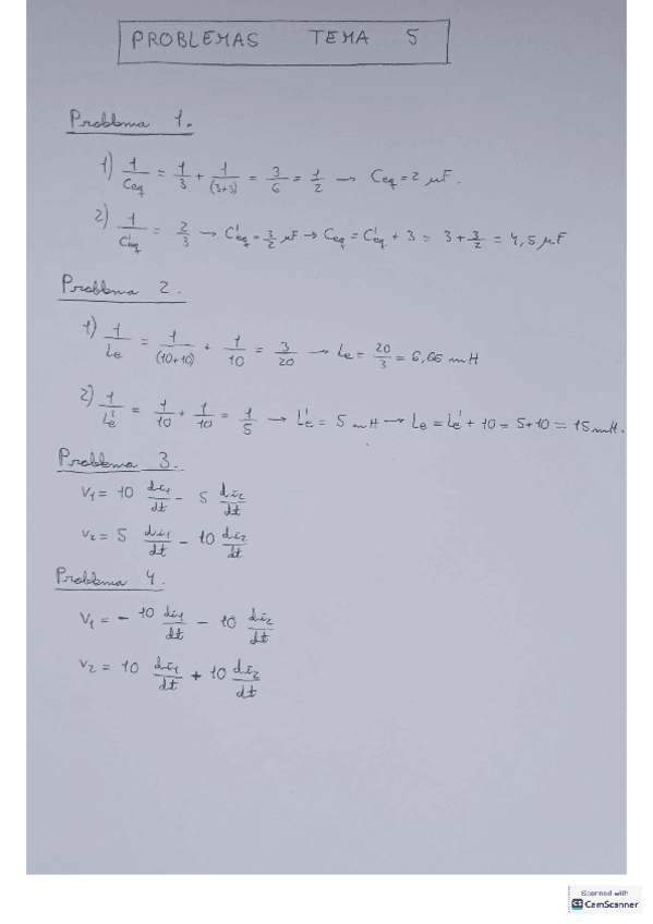
Boletín resuelto Tema 5

2 páginas

Boletín resuelto Tema 3

8 páginas

Boletín resuelto Tema 2

7 páginas

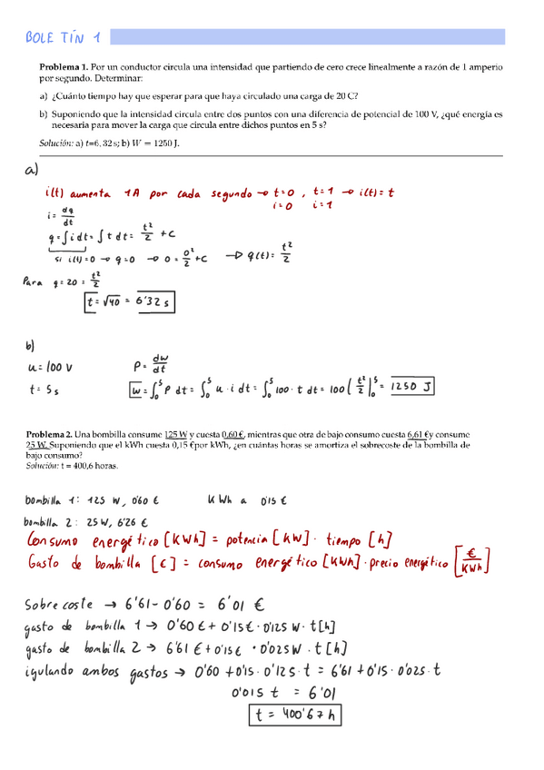
Boletín resuelto Tema 1

4 páginas

He publicado nuevos apuntes de 2º Electrotecnia: Electrotecnia-Apuntes-y-Ejercicios.pdf

48 páginas

apuntes

-

Boletines electrotecnia 24/25

He publicado nuevos apuntes de 2º Electrotecnia: Boletines electrotecnia 24/25

T6.pdf
T5.pdf
T8.pdf
T3..pdf
T7.pdf
T4.pdf

ejercicios

-

Boletines

He publicado nuevos ejercicios de 2º Electrotecnia: Boletines

BoletinTema1.pdf
BoletinTema2.pdf
BoletinTema4.pdf
BoletinTema5.pdf
BoletinTema6.pdf
BoletinTema7.pdf

examenes

-

EXÁMENES

He publicado nuevos examenes de 2º Electrotecnia: EXÁMENES

Examen-2019-Diciembre.pdf
Examen-2019-Septiembre.pdf
Examen-Junio-2019.pdf
Examen-2017-Junio.pdf
Examen-2016-Junio.pdf
Examen-2015-Septiembre.pdf

He publicado nuevos apuntes de 2º Electrotecnia: Ideas-clave-Electrotecnia.pdf

5 páginas

apuntes

-

Resumenes Temas

He publicado nuevos apuntes de 2º Electrotecnia: Resumenes Temas

Tema1.pdf
Tema2.pdf
Tema3.pdf
Tema4.pdf
Tema5.pdf
Tema6.pdf

Resumen/Formulario de todos los temas de Electrotecnia

23 páginas

Examen Falso Final 2025. Enunciados + Resolución

8 páginas

He publicado nuevos examenes de 2º Electrotecnia: Falso-Final-2025.pdf

2 páginas
Anónimo

@Anónimo

He publicado nuevos apuntes de 2º Electrotecnia: Resumen-curso-24-25.pdf

14 páginas

todas las fórmulas e ideas más importantes de la asignatura condensadas en 3 carillas

3 páginas

He publicado nuevos apuntes de 2º Electrotecnia: FORMULARIOELECTROTECNIA.pdf

4 páginas

He publicado nuevos ejercicios de 2º Electrotecnia: Boletin-2.pdf

4 páginas

He publicado nuevos apuntes de 2º Electrotecnia: PROTIPS-CLAVE-PARA-TEST.pdf

3 páginas

examenes

-

EXÁMENES RESUELTOS

He publicado nuevos examenes de 2º Electrotecnia: EXÁMENES RESUELTOS

Primera-Convocatoria-16-17.pdf
Examen-diciembre-2019.pdf
Examen-junio-2016.pdf
Examen-junio-2019.pdf
Examen-septiembre-2019.pdf

apuntes

-

Boletines Problemas RESUELTOS

He publicado nuevos apuntes de 2º Electrotecnia: Boletines Problemas RESUELTOS

Boletin-Tema-1-RESUELTO.pdf
Boletin-Tema-2-RESUELTO.pdf
Boletin-Tema-3-RESUELTO.pdf
Boletin-Tema-4-RESUELTO.pdf
Boletin-Tema-5-RESUELTO.pdf
Boletin-Tema-6-RESUELTO.pdf

apuntes

-

Boletines de todos los temas con explicaciones

He publicado nuevos apuntes de 2º Electrotecnia: Boletines de todos los temas con explicaciones

T8.pdf
T4.pdf
T5.pdf
T6.pdf
T2.pdf
T3.pdf

apuntes

-

Resúmenes de todos los temas

He publicado nuevos apuntes de 2º Electrotecnia: Resúmenes de todos los temas

T7.pdf
T8.pdf
Megaresumen.pdf
T4.pdf
T2.pdf
T5.pdf

He publicado nuevos examenes de 2º Electrotecnia: Examen-septiembre-2019.pdf

9 páginas

He publicado nuevos examenes de 2º Electrotecnia: Examen-diciembre-2019.pdf

10 páginas

He publicado nuevos examenes de 2º Electrotecnia: Examen-junio-2017.pdf

7 páginas

He publicado nuevos examenes de 2º Electrotecnia: Examen-junio-2019.pdf

8 páginas

He publicado nuevos apuntes de 2º Electrotecnia: Formulario.pdf

2 páginas

examenes

-

Exámenes resueltos

He publicado nuevos examenes de 2º Electrotecnia: Exámenes resueltos

Septiembre-2019.pdf
Diciembre-2019.pdf
Falso-final.pdf
Junio-2016.pdf
Junio-2019.pdf
Septiembre-2015.pdf

ejercicios

-

Boletines resueltos

He publicado nuevos ejercicios de 2º Electrotecnia: Boletines resueltos

Boletin-1.pdf
Boletin-8.pdf
Boletin-2.pdf
Boletin-3.pdf
Boletin-7.pdf
Boletin-4.pdf

He publicado nuevos ejercicios de 2º Electrotecnia: Boletin-7.pdf

9 páginas

He publicado nuevos ejercicios de 2º Electrotecnia: Boletin-1.pdf

3 páginas

He publicado nuevos ejercicios de 2º Electrotecnia: Boletin-6.pdf

9 páginas

He publicado nuevos ejercicios de 2º Electrotecnia: Boletin-4.pdf

6 páginas

He publicado nuevos ejercicios de 2º Electrotecnia: Boletin-5.pdf

5 páginas

He publicado nuevos ejercicios de 2º Electrotecnia: Boletin-8.pdf

11 páginas

He publicado nuevos ejercicios de 2º Electrotecnia: Boletin-2.pdf

7 páginas

He publicado nuevos ejercicios de 2º Electrotecnia: Boletin-3.pdf

6 páginas

apuntes

-

TEORÍA+BOLETÍNES

He publicado nuevos apuntes de 2º Electrotecnia: TEORÍA+BOLETÍNES

Boletin-1.pdf
Boletin-2.pdf
Boletin-3.pdf
Boletin-4.pdf
Boletin-5.pdf
Boletin-6.pdf

examenes

-

Exámenes Resueltos

He publicado nuevos examenes de 2º Electrotecnia: Exámenes Resueltos

SEPTIEMBRE-2019.pdf
JUNIO-2016.pdf
JUNIO-2017.pdf
JUNIO-2019.pdf
SEPTIEMBRE-2015.pdf

He publicado nuevos apuntes de 2º Electrotecnia: FORMULARIO.pdf

16 páginas

He publicado nuevos examenes de 2º Electrotecnia: falso-final-2024.pdf

6 páginas

examenes

-

examenes resueltos

He publicado nuevos examenes de 2º Electrotecnia: examenes resueltos

diciembre-2019.pdf
junio-2016.pdf
junio-2017.pdf
junio-2019.pdf
septiembre-2015.pdf
septiembre-2019.pdf

ejercicios

-

Boletines resueltos

He publicado nuevos ejercicios de 2º Electrotecnia: Boletines resueltos

Boletin-1.pdf
Boletin-2.pdf
Boletin-3.pdf
Boletin-4.pdf
Boletin-5.pdf
Boletin-6.pdf