chevron_left
chevron_right
Todo
Apuntes
Ejercicios
Exámenes
Test
chevron_left
chevron_right
Anónimo

@Anónimo

He publicado nuevos apuntes de 2º Electrotecnia: Electrotecnia-T2.pdf

40 páginas
Anónimo

@Anónimo

He publicado nuevos apuntes de 2º Electrotecnia: Electrotecnia-T1.pdf

17 páginas
Anónimo

@Anónimo

He publicado nuevos test de 2º Electrotecnia: Tipo-test.pdf

7 páginas
Anónimo

@Anónimo

He publicado nuevos apuntes de 2º Electrotecnia: TEMA-1-FUNDAMENTOS-DE-LA-ELECTROTECNIA.pdf

6 páginas

Ejercicios de electrotecnia explicados paso a paso. Para gente de pocas capacidades y capacidades limitadas (como yo).

16 páginas

He publicado nuevos apuntes de 2º Electrotecnia: EJERSAPUNTES-SEGUNDO-PARCIAL.pdf

76 páginas

He publicado nuevos ejercicios de 2º Electrotecnia: EJERS-CLASE-DANI-Y-DUDU-TODOS-LOS-TEMAS.pdf

52 páginas

He publicado nuevos apuntes de 2º Electrotecnia: Cosillas-a-destacar-electrotecnia.pdf

5 páginas

He publicado nuevos apuntes de 2º Electrotecnia: LABORATORIO-ELECTROTECNIA.pdf

25 páginas

He publicado nuevos apuntes de 2º Electrotecnia: EJERSAPUNTES-PRIMER-PARCIAL.pdf

24 páginas

He publicado nuevos ejercicios de 2º Electrotecnia: CUADERNO-CLASE-TEMA-1-ANAIS.pdf

15 páginas

He publicado nuevos ejercicios de 2º Electrotecnia: CUADERNO-CLASE-TEMA-3-ANAIS.pdf

14 páginas

He publicado nuevos ejercicios de 2º Electrotecnia: CUADERNO-CLASE-TEMA-2-ANAIS.pdf

18 páginas

He publicado nuevos ejercicios de 2º Electrotecnia: CUADERNO-TEMA-4-CLASE-ANAIS.pdf

9 páginas

He publicado nuevos apuntes de 2º Electrotecnia: APUNTES-CORTOS-ELECTROTEC.pdf

7 páginas
Anónimo

@Anónimo

He publicado nuevos examenes de 2º Electrotecnia: Electrotecnia-junio-2025-solucion-P1-y-P2.pdf

8 páginas
Anónimo

@Anónimo

He publicado nuevos examenes de 2º Electrotecnia: Solucion-primer-parcial-electrotecnia-24-25.pdf

5 páginas
Anónimo

@Anónimo

apuntes

-

SEGUNDO PARCIAL

He publicado nuevos apuntes de 2º Electrotecnia: SEGUNDO PARCIAL

PRIMERA-CLASE-SEGUNDO-PARCIAL-GITM-2.pdf
SEGUNDA-CLASE-SEGUNDO-PARCIAL-INSTALACIONES-MONOFASICAS-GITM-2.pdf
TERCERA-CLASE-SEGUNDO-PARCIAL-GITM2.pdf
CUARTA-CLASE-SEGUNDO-PARCIAL-GITM2.pdf
QUINTA-Y-SEXTA-CLASE-TRIFASICA-GITM-2.pdf
SEPTIMA-CLASE-TRIFASICA-GITM2.pdf
Anónimo

@Anónimo

Apuntes, última clase antes del examen

5 páginas
Anónimo

@Anónimo

He publicado nuevos apuntes de 2º Electrotecnia: TEMA-3-ELECTROTECNIA-Segunda-semana.pdf

11 páginas
Anónimo

@Anónimo

Guion de los temas vistos en clase, resumen breve.

4 páginas
Anónimo

@Anónimo

Ejercicios hechos en clase

10 páginas

He publicado nuevos apuntes de 2º Electrotecnia: T5D.-Transformadores-Acoplamento-en-paralelo-transformadores-medida-y-autotransformadores.pdf

6 páginas

He publicado nuevos apuntes de 2º Electrotecnia: T5A.-Transformadores-monofasicos.pdf

7 páginas

He publicado nuevos apuntes de 2º Electrotecnia: T5B.-Transformadores-monofasicos.pdf

29 páginas

He publicado nuevos apuntes de 2º Electrotecnia: Solucion-Examen-Laboratorio-1-ELECTROTECNIA-24-04-2022.pdf

2 páginas

He publicado nuevos apuntes de 2º Electrotecnia: PROBLEMA-SOLUCION-ELECTROTECNIA-JUNIO-2018.doc.pdf

3 páginas

He publicado nuevos apuntes de 2º Electrotecnia: P31.-Transformadores-monofasicos.pdf

3 páginas

He publicado nuevos apuntes de 2º Electrotecnia: P11.-Problema-circuito-monofasico-compensacion-factor-de-potencia-1.pdf

2 páginas

He publicado nuevos apuntes de 2º Electrotecnia: Electrotecnia-Test-junio-2022-solucion-1.pdf

3 páginas

He publicado nuevos apuntes de 2º Electrotecnia: L1.-Calculos-estudio-teorico.pdf

7 páginas

He publicado nuevos apuntes de 2º Electrotecnia: Fuentes-De-Tension-Y-Corrientedi-polos-Activosapuntesborja.pdf

6 páginas

He publicado nuevos apuntes de 2º Electrotecnia: ELECTROTECNIA-TEST-02-06-2021.pdf

3 páginas

He publicado nuevos apuntes de 2º Electrotecnia: Electrotecnia-Problema-junio-2022-Solucion-opcion-A.pdf.pdf

3 páginas

He publicado nuevos apuntes de 2º Electrotecnia: ELECTROTECNIA-PROBLEMA-Solucion-02-06-2021.pdf

3 páginas

He publicado nuevos apuntes de 2º Electrotecnia: ELECTROTECNIA-Final-Junio-2019-06-04.pdf

6 páginas

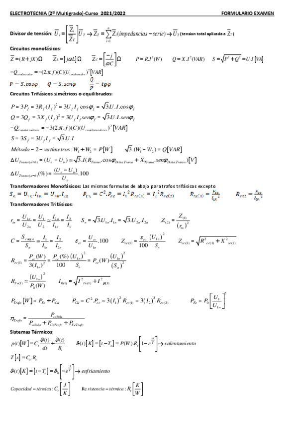
He publicado nuevos apuntes de 2º Electrotecnia: ELECTROTECNIA-formulario-CURSO-2021-2022.pdf

1 página

He publicado nuevos apuntes de 2º Electrotecnia: ELECTROTECNIA-PROBLEMA-29-05-2023-Solucion.pdf

3 páginas

He publicado nuevos apuntes de 2º Electrotecnia: Electrotecnia-Problema-junio-2022-Solucion-opcion-A.pdf

3 páginas

He publicado nuevos apuntes de 2º Electrotecnia: TEST-ELECTROTECNIA-Examen-final-julio-2021-12-07-2021-SOLUCIONES.pdf

2 páginas

He publicado nuevos apuntes de 2º Electrotecnia: ELECTROTECNIA-2o-EXAMEN-FINAL-JULIO-2018-TEST.pdf

3 páginas

He publicado nuevos apuntes de 2º Electrotecnia: ELECTROTECNIA-2o-EXAMEN-FINAL-JULIO-2018-PROBLEMA.pdf

4 páginas

He publicado nuevos apuntes de 2º Electrotecnia: T6.-Sistemas-termicos.pdf

11 páginas

He publicado nuevos apuntes de 2º Electrotecnia: TEST-SOLUCION-ELECTROTECNIA-JUNIO-2018.doc01851010823a65177c03686aeabcc340.pdf

3 páginas

He publicado nuevos apuntes de 2º Electrotecnia: Electrotecnia-basico-resumen.pdf

9 páginas

apuntes

-

Resumenes de todo

He publicado nuevos apuntes de 2º Electrotecnia: Resumenes de todo

Resumen-1.pdf
Resumen-2.pdf
Resumen-Global-General.pdf
Resumen-Thevenin-Norton.pdf
Resumen-Trifasica.pdf
Resumen-formulas-TRIFasica.pdf

apuntes

-

laboratorio examenes y resumenes

He publicado nuevos apuntes de 2º Electrotecnia: laboratorio examenes y resumenes

Resumen-lab1.pdf
Resumen-lab2.pdf
Examen-Laboratorio-1.pdf
examen-Laboratorio-2.pdf

apuntes

-

Ejercicios resueltos+fantasma

He publicado nuevos apuntes de 2º Electrotecnia: Ejercicios resueltos+fantasma

Ejercicios-examen.pdf
Ejercicios-Indices-de-carga.pdf
Ejercicios-Test-1.pdf
Fantasma.pdf

apuntes

-

apuntes parte motores

He publicado nuevos apuntes de 2º Electrotecnia: apuntes parte motores

Apuntes-Motores.pdf
Ejercicios-Motores.pdf
Examenes-motores-2014-2015.pdf
Examenes-motores-2016-2017.pdf
Resumen-Motores.pdf
Tema-5-Soluciones.pdf

ejercicios

-

ejericios academia-resueltos

He publicado nuevos ejercicios de 2º Electrotecnia: ejericios academia-resueltos

Tema-1-Soluciones.pdf
Tema-2-Soluciones.pdf
Tema-3-Soluciones.pdf
Tema-4-Soluciones-Teoria.pdf
Tema-4-Soluciones-Problemas1.pdf
Tema-4-Soluciones-Problemas2.pdf

He publicado nuevos apuntes de 2º Electrotecnia: RESUMEN-1a-INTERROGACION-ELECTROTECNIA.pdf

5 páginas
Anónimo

@Anónimo

examenes

-

Examenes circuitos 2012-2019 GIE

He publicado nuevos examenes de 2º Electrotecnia: Examenes circuitos 2012-2019 GIE

EJERCICIOS-CIRCUITOS.pdf
TEST-CIRCUITOS.pdf

He publicado nuevos apuntes de 2º Electrotecnia: ELECTROTECNIA-APUNTES-VIDEOS.pdf

69 páginas

apuntes

-

Tema 1-Dipolos

He publicado nuevos apuntes de 2º Electrotecnia: Tema 1-Dipolos

Tema-1-Dipolos.pdf
¡Estás al día!

¡Estás al día!

Has visto todos los archivos