Elementos de Cálculo Numérico

chevron_left
chevron_right
Todo
Apuntes
Ejercicios
Exámenes
Trabajos
chevron_left
chevron_right

He publicado nuevos apuntes de 2º Elementos de Cálculo Numérico: Trabajo-2.pdf

4 páginas

He publicado nuevos apuntes de 2º Elementos de Cálculo Numérico: Trabajo-1.pdf

3 páginas

He publicado nuevos ejercicios de 2º Elementos de Cálculo Numérico: Relacion-4-ECN.pdf

13 páginas

He publicado nuevos ejercicios de 2º Elementos de Cálculo Numérico: Relacion-3-ecn.pdf

11 páginas

He publicado nuevos ejercicios de 2º Elementos de Cálculo Numérico: Relacion-2-ECN.pdf

15 páginas

He publicado nuevos apuntes de 2º Elementos de Cálculo Numérico: Relacion-de-problemas-1.pdf

18 páginas

apuntes

-

ELEMENTOS DE CALCULO NUMERICO 2021-2022

He publicado nuevos apuntes de 2º Elementos de Cálculo Numérico: ELEMENTOS DE CALCULO NUMERICO 2021-2022

Apuntes-Completos.pdf
ENC-2021-22-Rel1SucioLimpio.pdf
ENC-2021-22-Rel2SucioLimpio.pdf
ENC-2021-22-Rel3SucioLimpio.pdf
ENC-2021-22-Rel4SucioLimpio.pdf
ENC-2021-22-Tema1.pdf

He publicado nuevos apuntes de 2º Elementos de Cálculo Numérico: Formulas-ECN.pdf

4 páginas

He publicado nuevos examenes de 2º Elementos de Cálculo Numérico: Examen-9-Julio-2021.pdf

1 página

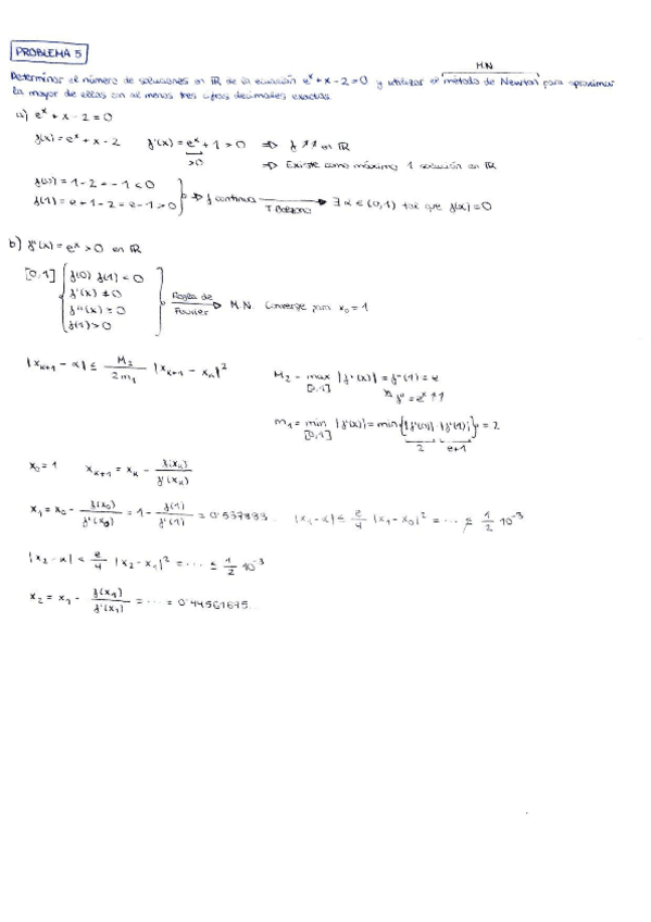
He publicado nuevos ejercicios de 2º Elementos de Cálculo Numérico: Problemas-Tema-5.pdf

7 páginas

He publicado nuevos ejercicios de 2º Elementos de Cálculo Numérico: Problemas-Tema-4.pdf

3 páginas

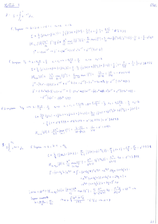
He publicado nuevos ejercicios de 2º Elementos de Cálculo Numérico: Problemas-Tema-3.pdf

6 páginas

He publicado nuevos ejercicios de 2º Elementos de Cálculo Numérico: Problemas-Tema-2.pdf

12 páginas

He publicado nuevos apuntes de 2º Elementos de Cálculo Numérico: Tema-5.pdf

10 páginas

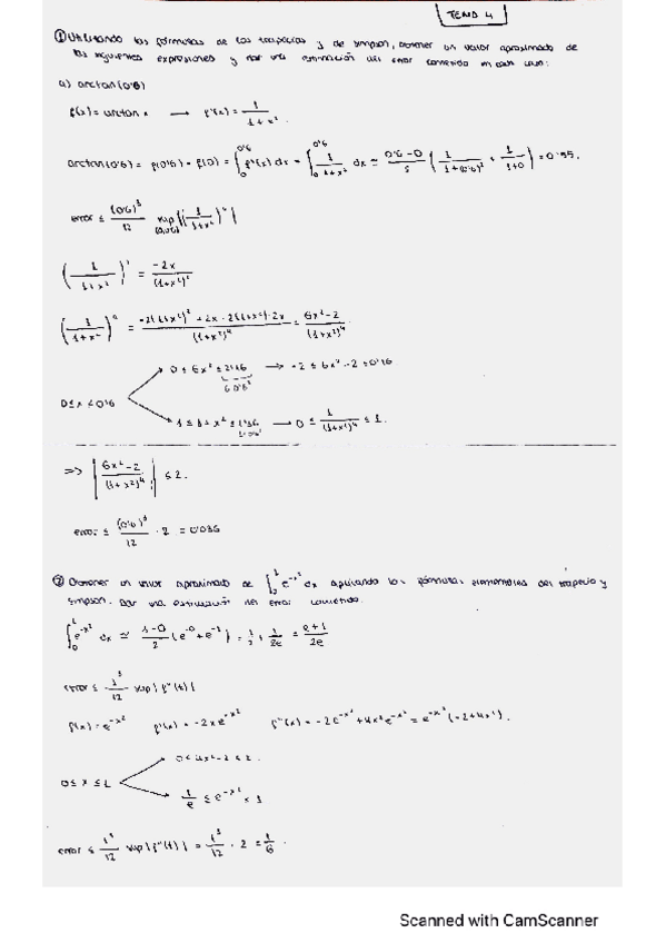
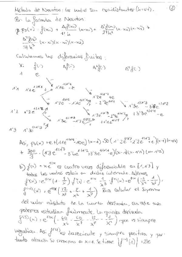
He publicado nuevos apuntes de 2º Elementos de Cálculo Numérico: Tema-4.pdf

6 páginas

He publicado nuevos apuntes de 2º Elementos de Cálculo Numérico: tema-3-ECN.pdf

9 páginas

He publicado nuevos apuntes de 2º Elementos de Cálculo Numérico: Tema-2-ecn-.pdf

9 páginas

He publicado nuevos apuntes de 2º Elementos de Cálculo Numérico: 1.pdf

3 páginas

He publicado nuevos ejercicios de 2º Elementos de Cálculo Numérico: trabajo-2020-2021.pdf

7 páginas

He publicado nuevos ejercicios de 2º Elementos de Cálculo Numérico: algunos-ejercicios-resueltos.pdf

17 páginas

He publicado nuevos apuntes de 2º Elementos de Cálculo Numérico: temas-2-5-ejemplos.pdf

12 páginas

He publicado nuevos ejercicios de 2º Elementos de Cálculo Numérico: Ejercicios-tema-3-ECN.pdf

12 páginas

ejercicios

-

Actividades ecn

He publicado nuevos ejercicios de 2º Elementos de Cálculo Numérico: Actividades ecn

actstema2.pdf
Actstema3ecn.pdf
Actstema4ecn.pdf
Actstema5ecn.pdf

He publicado nuevos ejercicios de 2º Elementos de Cálculo Numérico: Ejercicios-tema-5-ECN.pdf

10 páginas

He publicado nuevos ejercicios de 2º Elementos de Cálculo Numérico: Ejercicios-tema-4-ECN.pdf

8 páginas

examenes

-

Examenes

He publicado nuevos examenes de 2º Elementos de Cálculo Numérico: Examenes

examen-5-junio-2020-no-presencial.pdf
examen-23-junio-2020-no-presencial.pdf

He publicado nuevos apuntes de 2º Elementos de Cálculo Numérico: ESQUEMA.pdf

2 páginas

He publicado nuevos trabajos de 2º Elementos de Cálculo Numérico: Trabajo-ECN-Jerohan-Velasco-Dorado.pdf

14 páginas

He publicado nuevos apuntes de 2º Elementos de Cálculo Numérico: Resumen Tema 2 E.C.N.pdf

10 páginas

He publicado nuevos apuntes de 2º Elementos de Cálculo Numérico: Resumen Tema 1 E.C.N.pdf

6 páginas

He publicado nuevos examenes de 2º Elementos de Cálculo Numérico: ECN Ejercicios Exámenes- Relaciones, Trabajos, etc..pdf

19 páginas

He publicado nuevos apuntes de 2º Elementos de Cálculo Numérico: ECN Apuntes de clase.pdf

33 páginas

He publicado nuevos apuntes de 2º Elementos de Cálculo Numérico: ELEMENTOS DEL CALCULO NUMERICO.pdf

23 páginas
¡Estás al día!

¡Estás al día!

Has visto todos los archivos