Elementos de Probabilidad y Estadística

chevron_left
chevron_right
Todo
Apuntes
Ejercicios
Exámenes
chevron_left
chevron_right

ejercicios

-

Boletines Resueltos

He publicado nuevos ejercicios de 3º Elementos de Probabilidad y Estadística: Boletines Resueltos

7.pdf
8.pdf
5.pdf
9.pdf
4.pdf
3.pdf

ejercicios

-

EJERCICIOS RESUELTOS

He publicado nuevos ejercicios de 3º Elementos de Probabilidad y Estadística: EJERCICIOS RESUELTOS

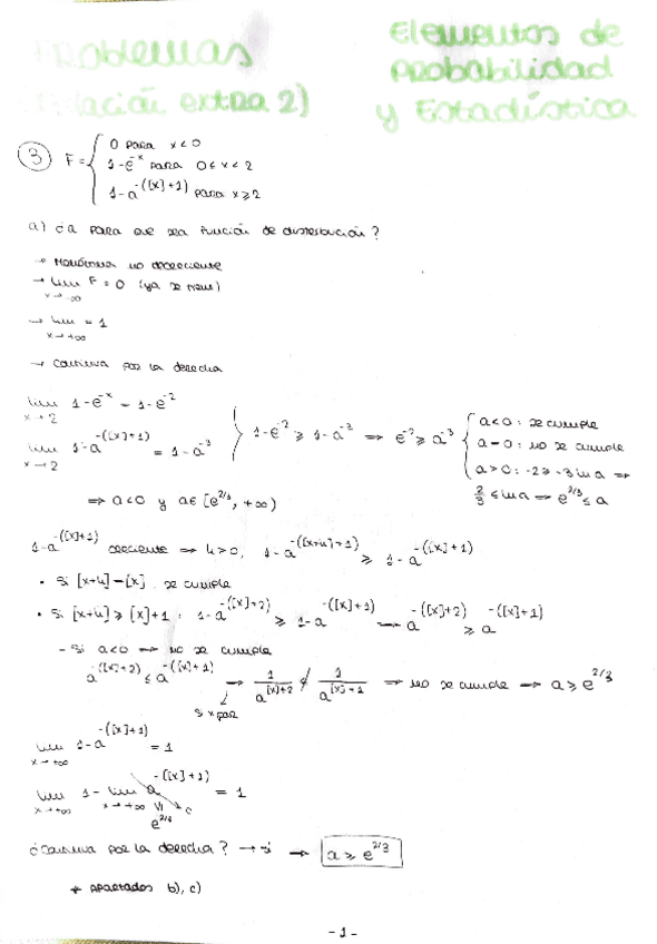
RELACION-EXTRA-2-EPE.pdf
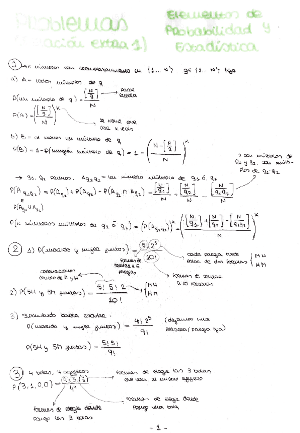
RELACION-EXTRA-1-EPE.pdf
RELACION-PROBLEMAS-EPE.pdf

apuntes

-

APUNTES DE TEORÍA TEMAS 2-7

He publicado nuevos apuntes de 3º Elementos de Probabilidad y Estadística: APUNTES DE TEORÍA TEMAS 2-7

TEMA-4-EPE.pdf
TEMA-6-EPE.pdf
TEMA-7-EPE.pdf
TEMA-2-EPE.pdf
TEMA-5-EPE.pdf
TEMA-3-EPE.pdf

examenes

-

RESUELTOS EXÁMENES

He publicado nuevos examenes de 3º Elementos de Probabilidad y Estadística: RESUELTOS EXÁMENES

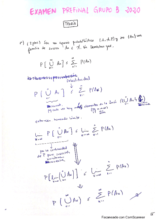
RESUELTO-PREFINAL-GRUPO-B-2020.pdf
RESUELTO-EXAMEN-CONVOCATORIA-2019.pdf
RESUELTO-EXAMEN-PREFINAL-2019.pdf
RESUELTO-EXAMEN-1convocatotoria-2019.pdf
RESUELTO-EXAMEN-1convocatoria-2020.pdf
RESUELTO-PREFINAL-GRUPO-B-2019.pdf

He publicado nuevos ejercicios de 3º Elementos de Probabilidad y Estadística: RESUELTOS-EJERCICIOS-EPE.pdf

73 páginas
¡Estás al día!

¡Estás al día!

Has visto todos los archivos