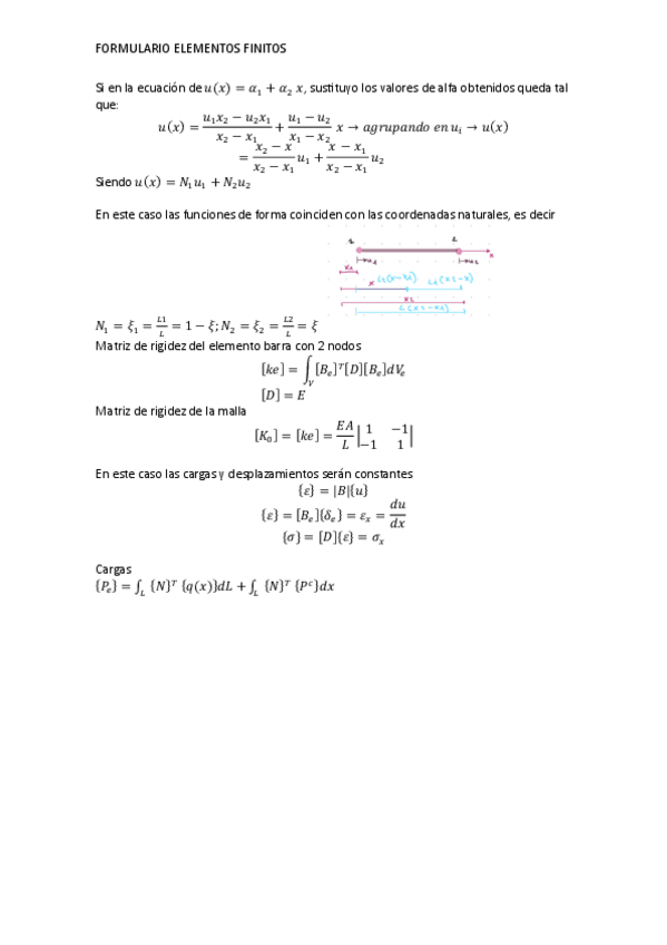
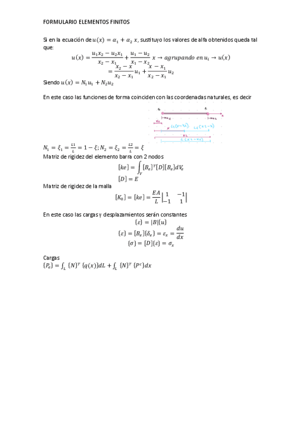
Elementos Finitos en Ingeniería de Estructuras

Todo
Apuntes
Preguntas
Ejercicios
Exámenes
publication
chevron_left
chevron_right

apuntes

-

ELEMENTOS FINITOS RESÚMENES

He publicado nuevos apuntes de 4º Elementos Finitos en Ingeniería de Estructuras: ELEMENTOS FINITOS RESÚMENES

ELEMENTOS-FINITOS-TEMA-1.pdf
ELEMENTOS-FINITOS-TEMA-1.pdf
TEMA-2-ELEMENTOS-FINITOS.pdf
TEMA-2-ELEMENTOS-FINITOS.pdf
TEMA-3-ELEMENTOS-FINITOS.pdf
TEMA-3-ELEMENTOS-FINITOS.pdf

He publicado nuevos apuntes de 4º Elementos Finitos en Ingeniería de Estructuras: cuestion-practica-matriz-localglobal-paso-a-paso.pdf

4 páginas

He publicado nuevos apuntes de 4º Elementos Finitos en Ingeniería de Estructuras: Cuestiones-practicas-tema-2-paso-a-paso.pdf

8 páginas

He publicado nuevos apuntes de 4º Elementos Finitos en Ingeniería de Estructuras: Ejercicios-muelles-paso-a-paso-con-explicaciones.pdf

10 páginas

He publicado nuevos apuntes de 4º Elementos Finitos en Ingeniería de Estructuras: Ejercicios-de-repaso-de-la-teoria-de-Elasticidad-paso-a-paso-con-explicaciones.pdf

7 páginas

He publicado nuevos ejercicios de 4º Elementos Finitos en Ingeniería de Estructuras: TODOS-LOS-PROBLEMAS-2024-25.pdf

18 páginas

apuntes

-

TODO ELEMENTOS FINITOS 2024/25

He publicado nuevos apuntes de 4º Elementos Finitos en Ingeniería de Estructuras: TODO ELEMENTOS FINITOS 2024/25

Problemas-T3.pdf
Problemas-T3.pdf
Resumen-Tema-2.pdf
Resumen-Tema-2.pdf
Resumen-Tema-1.pdf
Resumen-Tema-1.pdf

He publicado nuevos apuntes de 4º Elementos Finitos en Ingeniería de Estructuras: MEF-Cuestiones-Teoria.pdf

3 páginas

He publicado nuevos examenes de 4º Elementos Finitos en Ingeniería de Estructuras: Preguntas-de-Teoria.pdf

4 páginas

He publicado nuevos ejercicios de 4º Elementos Finitos en Ingeniería de Estructuras: MEF-Problemas-2D.pdf

6 páginas

He publicado nuevos ejercicios de 4º Elementos Finitos en Ingeniería de Estructuras: MEF-Problemas-Muelles.pdf

5 páginas

He publicado nuevos apuntes de 4º Elementos Finitos en Ingeniería de Estructuras: MEF-Tema-4-Capitulo-5.pdf

9 páginas

He publicado nuevos apuntes de 4º Elementos Finitos en Ingeniería de Estructuras: MEF-Tema-3-Capitulo-4.pdf

13 páginas

He publicado nuevos apuntes de 4º Elementos Finitos en Ingeniería de Estructuras: MEF-Resumen-Tema-2-Capitulo-3.pdf

7 páginas

He publicado nuevos apuntes de 4º Elementos Finitos en Ingeniería de Estructuras: MEF-Resumen-Tema-1-Capitulos-1-y-2.pdf

11 páginas

He publicado nuevos apuntes de 4º Elementos Finitos en Ingeniería de Estructuras: Preguntas-de-Teoria-Vistas-en-Clase.pdf

31 páginas

apuntes

-

Exámenes. Curso 2023-2024

He publicado nuevos apuntes de 4º Elementos Finitos en Ingeniería de Estructuras: Exámenes. Curso 2023-2024

EXAMEN-1a-CONVOCATORIA.pdf
EXAMEN-1a-CONVOCATORIA.pdf
EXAMEN-FALSO-FINAL.pdf
EXAMEN-FALSO-FINAL.pdf
EXAMEN-3a-CONVOCATORIA.pdf
EXAMEN-3a-CONVOCATORIA.pdf

resumen

he subido un resumen para entender el inicio de la asignatura!! espero que sea útil

capítulo 1 resumido fácil

6 páginas

He publicado nuevos examenes de 4º Elementos Finitos en Ingeniería de Estructuras: Ejercicios-EF-tipo-examen-resueltos.pdf

43 páginas
Anónimo

@Anónimo

Libro digital de ayuda para la asignatura

507 páginas

apuntes

-

Resumen Apuntes Importantes

He publicado nuevos apuntes de 4º Elementos Finitos en Ingeniería de Estructuras: Resumen Apuntes Importantes

TEMA-5.pdf
TEMA-5.pdf
TEMA-8.pdf
TEMA-8.pdf
TEMA-6.pdf
TEMA-6.pdf

He publicado nuevos apuntes de 4º Elementos Finitos en Ingeniería de Estructuras: FORMULARIO-resumen.pdf

12 páginas
Anónimo

@Anónimo

apuntes

-

Temas teoría

He publicado nuevos apuntes de 4º Elementos Finitos en Ingeniería de Estructuras: Temas teoría

Tema7PTV.pdf
Tema7PTV.pdf
comparacion.pdf
comparacion.pdf
Tema8.pdf
Tema8.pdf

apuntes

-

TODAS PREGUNTAS EXAMEN MEF

He publicado nuevos apuntes de 4º Elementos Finitos en Ingeniería de Estructuras: TODAS PREGUNTAS EXAMEN MEF

Parte-1.pdf
Parte-1.pdf
Parte-2.pdf
Parte-2.pdf
Parte-3.pdf
Parte-3.pdf

He publicado nuevos examenes de 4º Elementos Finitos en Ingeniería de Estructuras: Problemas-examen-bloque-hormigon.pdf

6 páginas

He publicado nuevos apuntes de 4º Elementos Finitos en Ingeniería de Estructuras: Teoria-de-placas.pdf

26 páginas

Exámenes de evaluación alternativa 2020 y 2021/22 resueltos

42 páginas

He publicado nuevos examenes de 4º Elementos Finitos en Ingeniería de Estructuras: EXAMEN-FEBRERO-2022-RESUELTO.pdf

12 páginas

examenes

-

PREGUNTAS EXÁMENES

He publicado nuevos examenes de 4º Elementos Finitos en Ingeniería de Estructuras: PREGUNTAS EXÁMENES

Preguntas-examen-primer-parcial.pdf
Preguntas-examen-primer-parcial.pdf
Preguntas-examen-segundo-parcial.pdf
Preguntas-examen-segundo-parcial.pdf

Son todas las preguntas echas y bien resueltas. SIEMPRE CAEN LAS MISMAS

63 páginas

He publicado nuevos apuntes de 4º Elementos Finitos en Ingeniería de Estructuras: PREGUNTAS-ELEMENTOS-Saque-8.pdf

23 páginas

He publicado nuevos apuntes de 4º Elementos Finitos en Ingeniería de Estructuras: Preguntas-teoria.pdf

30 páginas

He publicado nuevos apuntes de 4º Elementos Finitos en Ingeniería de Estructuras: Tema-3-segun-SE-de-EJN-28-29-libro.pdf

2 páginas

He publicado nuevos apuntes de 4º Elementos Finitos en Ingeniería de Estructuras: Tema-2-integracion-num-Segun-SE-de-EJN.pdf

3 páginas

He publicado nuevos apuntes de 4º Elementos Finitos en Ingeniería de Estructuras: Tema-1-segun-las-sagradas-escrituras-de-EJN.pdf

2 páginas

APUNTES TOMADOS EN CLASE

18 páginas

He publicado nuevos apuntes de 4º Elementos Finitos en Ingeniería de Estructuras: Tema-3-elementos-y-mallas-Matricial-a-MEF.pdf

2 páginas

He publicado nuevos apuntes de 4º Elementos Finitos en Ingeniería de Estructuras: Tema-2-elasticidad-2.pdf

8 páginas

He publicado nuevos apuntes de 4º Elementos Finitos en Ingeniería de Estructuras: Tema-1-intro.pdf

1 página

He publicado nuevos examenes de 4º Elementos Finitos en Ingeniería de Estructuras: ElementosFinitos.pdf

26 páginas

Convocatoria de septiembre

alguien tiene el examen de primera convocatoria de este año?

examenes

-

Preguntas Exámenes

He publicado nuevos examenes de 4º Elementos Finitos en Ingeniería de Estructuras: Preguntas Exámenes

PREGUNTAS-PARCIAL-2.pdf
PREGUNTAS-PARCIAL-2.pdf
PREGUNTAS-PARCIAL-1.pdf
PREGUNTAS-PARCIAL-1.pdf

He publicado nuevos examenes de 4º Elementos Finitos en Ingeniería de Estructuras: SEGUNDO-PARCIAL-ELEMENTOS-FINITOS.pdf

pdf

He publicado nuevos apuntes de 4º Elementos Finitos en Ingeniería de Estructuras: Preguntas-2-parcial-corregidas.pdf

pdf

He publicado nuevos apuntes de 4º Elementos Finitos en Ingeniería de Estructuras: Preguntas-2-parcial-MEF.pdf

pdf

He publicado nuevos apuntes de 4º Elementos Finitos en Ingeniería de Estructuras: PREGUNTAS-1er-PARCIAL-ELEMENTOS-FINITOS.pdf

24 páginas

He publicado nuevos apuntes de 4º Elementos Finitos en Ingeniería de Estructuras: Preguntas-mas-probables-1o-parcial.pdf

15 páginas

He publicado nuevos apuntes de 4º Elementos Finitos en Ingeniería de Estructuras: CamScanner-02-19-2021-12.pdf

12 páginas

He publicado nuevos apuntes de 4º Elementos Finitos en Ingeniería de Estructuras: CamScanner-02-19-2021-12.pdf

32 páginas
Anónimo

@Anónimo

He publicado nuevos apuntes de 4º Elementos Finitos en Ingeniería de Estructuras: tema-1-tensiones.pdf

22 páginas

examenes

-

PREGUNTAS EXAMENES RESUELTAS

He publicado nuevos examenes de 4º Elementos Finitos en Ingeniería de Estructuras: PREGUNTAS EXAMENES RESUELTAS

PREGUNTAS-EXAMENES-RESUELTAS.pdf
PREGUNTAS-EXAMENES-RESUELTAS.pdf
Preguntas-de-examen-elemento-troncoconico.pdf
Preguntas-de-examen-elemento-troncoconico.pdf

He publicado nuevos apuntes de 4º Elementos Finitos en Ingeniería de Estructuras: TEORIA-ANALISIS-DEL-MEF.pdf

2 páginas

He publicado nuevos examenes de 4º Elementos Finitos en Ingeniería de Estructuras: COLECCION-EXAMENES-ELEMENTOS-FINITOS.pdf

11 páginas

CONVOCATORIA SEPTIEMBRE

Si alguno se presenta al examen de septiembre y quiere crear un grupito de whatsapp para resolver dudas que me hable por privado 647997013

Anónimo

@Anónimo

apuntes

-

RESUMENES

He publicado nuevos apuntes de 4º Elementos Finitos en Ingeniería de Estructuras: RESUMENES

RESUMEN-REPASO-TOTAL-TEORIA.pdf
RESUMEN-REPASO-TOTAL-TEORIA.pdf
RESUMEN-REPASO-TOTAL-PROBLEMAS.pdf
RESUMEN-REPASO-TOTAL-PROBLEMAS.pdf
Anónimo

@Anónimo

He publicado nuevos examenes de 4º Elementos Finitos en Ingeniería de Estructuras: ENUNCIADOS-4-DE-EXAMENES.pdf

14 páginas
Anónimo

@Anónimo

apuntes

-

BUENOSS APUNTES DE CLASE

He publicado nuevos apuntes de 4º Elementos Finitos en Ingeniería de Estructuras: BUENOSS APUNTES DE CLASE

BUENOS-APUNTES-CLASE-TEMA-2.pdf
BUENOS-APUNTES-CLASE-TEMA-2.pdf
BUENOS-APUNTES-CLASE-TEMA-3.pdf
BUENOS-APUNTES-CLASE-TEMA-3.pdf
BUENOS-APUNTES-CLASE-TEMA-1.pdf
BUENOS-APUNTES-CLASE-TEMA-1.pdf

examenes

-

Examenes

He publicado nuevos examenes de 4º Elementos Finitos en Ingeniería de Estructuras: Examenes

Preguntas-de-examen.pdf
Preguntas-de-examen.pdf
Preguntas-completas.pdf
Preguntas-completas.pdf
Preguntas-Juanlu.pdf
Preguntas-Juanlu.pdf

He publicado nuevos examenes de 4º Elementos Finitos en Ingeniería de Estructuras: F721EAC8-19C8-49A5-8A1D-D7E282207AE7.jpg

Imagen