Empresa: Matemática de las Operaciones Financieras

chevron_left
chevron_right
Todo
Apuntes
Ejercicios
chevron_left
chevron_right

apuntes

-

Tema 4 - Rentas financieras

Teoría, 3 boletines y sus resoluciones del tema 4

TEMA4-teoria.pdf
BoletinTema4Rentas1.pdf
Boletin-1-Tema-4.pdf
BoletinTema4Rentas2.pdf
BOLETIN-2-TEMA-4.pdf
BoletinTema4Rentas3.pdf

apuntes

-

Tema 5 - Operaciones financieras de préstamo

Teoría, apuntes y su resolucion tema 5

Ejercicios-tema-5.pdf
Teoria-tema-5.pdf
Boletin-tema-5-resuelto.pdf

apuntes

-

Tema 6 -Operaciones financieras de constitución

Teoria, ejercicios y su resolucion tema 6 . OPERACIONES FINANCIERAS DE CONSTITUCION

Ejercicios-tema-6.pdf
Teoria-tema-6.pdf
BOLETIN-RESUELTO-tema-6.pdf

ejercicios

-

TEMA 1

He publicado nuevos ejercicios de 1º Empresa: Matemática de las Operaciones Financieras: TEMA 1

Enunciado-Boletin-1-Conceptos-Basicos.pdf
BOLETIN-1-Resuelto.pdf
Teoria-tema-1.pdf

ejercicios

-

EJERCICIOS TEMA 3

Boletín y su resolución del tema 3

BOLETIN-TEMA-3-Resuelto.pdf
BoletinTema3.pdf
TEMA3-teoria.pdf

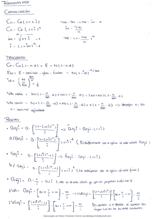
He publicado nuevos apuntes de 1º Empresa: Matemática de las Operaciones Financieras: formulas-mof-final-formulas-mof.pdf

5 páginas

apuntes

-

Matematicas Operaciones Financieras

He publicado nuevos apuntes de 1º Empresa: Matemática de las Operaciones Financieras: Matematicas Operaciones Financieras

GG-Mates.pdf
GM-MOF.pdf
Repaso-MOF.pdf
¡Estás al día!

¡Estás al día!

Has visto todos los archivos