Energía en el Transporte

chevron_left
chevron_right
Todo
Apuntes
Prácticas
chevron_left
chevron_right

He publicado nuevos practicas de 4º Energía en el Transporte: Lab-1.pdf

5 páginas

He publicado nuevos practicas de 4º Energía en el Transporte: Lab2.pdf

3 páginas

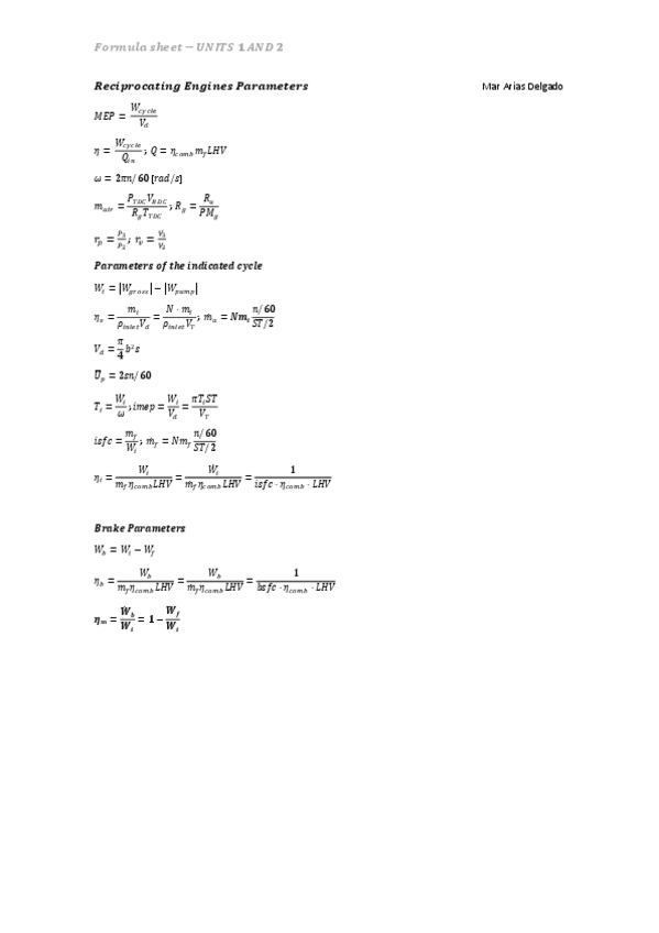
He publicado nuevos apuntes de 4º Energía en el Transporte: Formulario.pdf

1 página
¡Estás al día!

¡Estás al día!

Has visto todos los archivos