Enfermedades del Aparato Digestivo

chevron_left
chevron_right
Todo
Apuntes
Exámenes
chevron_left
chevron_right

He publicado nuevos apuntes de 3º Enfermedades del Aparato Digestivo: TEMA-28.-HEPATITIS-AUTOINMUNE-Y-ENFERMEDADES-HEPATICAS-COLESTASICAS.pdf

4 páginas

He publicado nuevos apuntes de 3º Enfermedades del Aparato Digestivo: Tema-14.-Ictericia-obstructiva.pdf

9 páginas

He publicado nuevos apuntes de 3º Enfermedades del Aparato Digestivo: importante-seminarios-digestivo-curso-2024-2025.pdf

7 páginas

apuntes

-

SALVAR DIGESTIVO

He publicado nuevos apuntes de 3º Enfermedades del Aparato Digestivo: SALVAR DIGESTIVO

AAVISO.pdf
EII-tema91011.pdf
TEMA-8.pdf
temas-33--34.pdf
TEMA-1.pdf
temas-16--17-19.pdf

He publicado nuevos apuntes de 3º Enfermedades del Aparato Digestivo: Abdomen-agudo.pdf

1 página

apuntes

-

TEMAS SUELTOS DIGESTIVO

He publicado nuevos apuntes de 3º Enfermedades del Aparato Digestivo: TEMAS SUELTOS DIGESTIVO

HEPATOCARCINOMA.pdf
PA-AGUDA-Y-CRONICA-Y-CANCER-DE-PANCREAS.pdf
TEMAS-1-3-DIGESTIVO-RESUMIDOS.pdf
TRANSPLANTE-HEPATICO.pdf
TRANSPLANTE-HEPATICO-2.pdf

He publicado nuevos apuntes de 3º Enfermedades del Aparato Digestivo: Tema-9-opciones-tto-medico-EII.rtf

Miniatura no disponible
word

He publicado nuevos apuntes de 3º Enfermedades del Aparato Digestivo: TEMA.pdf

11 páginas

He publicado nuevos apuntes de 3º Enfermedades del Aparato Digestivo: Importante-digestivo.docx

word

He publicado nuevos apuntes de 3º Enfermedades del Aparato Digestivo: CANCER-DE-VESICULA.pdf

7 páginas

examenes

-

EXAMEN 1ª CONVOCATORIA DIGESTIVO 2023/2024

He publicado nuevos examenes de 3º Enfermedades del Aparato Digestivo: EXAMEN 1ª CONVOCATORIA DIGESTIVO 2023/2024

RESPUESTAS-EXAMEN-1a-CONVOCATORIA-DIGESTIVO-2023-2024.pdf
EXAMEN-1a-CONVOCATORIA-DIGESTIVO-2023-2024.pdf

He publicado nuevos apuntes de 3º Enfermedades del Aparato Digestivo: TEMA-23.1.pdf

9 páginas

He publicado nuevos apuntes de 3º Enfermedades del Aparato Digestivo: Recopilacion-tablas-digestivo.pdf

54 páginas

He publicado nuevos apuntes de 3º Enfermedades del Aparato Digestivo: TEMA-23.2.pdf

3 páginas

apuntes

-

DIGESTIVO 2023/2024

Faltan algunos temas, los iré subiendo en estos días

TRATAMIENTO-QX-DE-LA-PATOLOGIA-ANORRECTAL.pdf
TRATAMIENTO-QX-DE-LA-EII.pdf
TUMORES-DE-LA-VIA-BILIAR.pdf
TRATAMIENTO-QX-DEL-CANCER-COLORRECTAL.pdf
PA-y-sus-complicaciones.pdf
Anónimo

@Anónimo

He publicado nuevos examenes de 3º Enfermedades del Aparato Digestivo: RECOPILACION-EX2021-Y-EX2022.pdf

20 páginas

He publicado nuevos apuntes de 3º Enfermedades del Aparato Digestivo: TEMA-22.pdf

3 páginas

He publicado nuevos apuntes de 3º Enfermedades del Aparato Digestivo: TEMA-21.1.pdf

5 páginas

He publicado nuevos apuntes de 3º Enfermedades del Aparato Digestivo: TEMA-18.pdf

5 páginas

He publicado nuevos apuntes de 3º Enfermedades del Aparato Digestivo: TEMA-16.pdf

14 páginas

He publicado nuevos apuntes de 3º Enfermedades del Aparato Digestivo: TEMA-15.1.pdf

6 páginas

He publicado nuevos apuntes de 3º Enfermedades del Aparato Digestivo: TEMA-13.pdf

2 páginas

He publicado nuevos apuntes de 3º Enfermedades del Aparato Digestivo: TEMA-11.pdf

2 páginas

He publicado nuevos apuntes de 3º Enfermedades del Aparato Digestivo: TEMA-8.pdf

13 páginas

He publicado nuevos apuntes de 3º Enfermedades del Aparato Digestivo: TEMA-5.pdf

6 páginas

He publicado nuevos apuntes de 3º Enfermedades del Aparato Digestivo: TEMA-4.pdf

5 páginas

He publicado nuevos apuntes de 3º Enfermedades del Aparato Digestivo: TEMA-2.pdf

4 páginas

He publicado nuevos apuntes de 3º Enfermedades del Aparato Digestivo: T8.-Trastornos-funcionales.pdf

12 páginas

apuntes

-

DIGESTIVO ACT-23

La carpeta incluye los temas que desactualizados en relación a los subidos en Moodle. Espero que sean de ayuda.

Tema-04.-Tratamiento-quirurgico-de-los-tumores-del-esofago.pdf
TEMA-13.-Tratamiento-quirurgico-CCR.pdf
TEMA-21.-ABDOMEN-AGUDO-Dr.-ARJONA-SANCHEZ.pdf
Tema-27.-Hepatitis-viral.pdf
TEMA-30.-Cirrosis-hepatica-II.-Encefalopatia-ascitis-PBE-y-sindrome-hepatorrenal.pdf
Anónimo

@Anónimo

He publicado nuevos apuntes de 3º Enfermedades del Aparato Digestivo: TEMA-20-CANCER-DE-VESICULA.pdf

6 páginas
Anónimo

@Anónimo

apuntes

-

TEMAS QUE VIENEN MAL

He publicado nuevos apuntes de 3º Enfermedades del Aparato Digestivo: TEMAS QUE VIENEN MAL

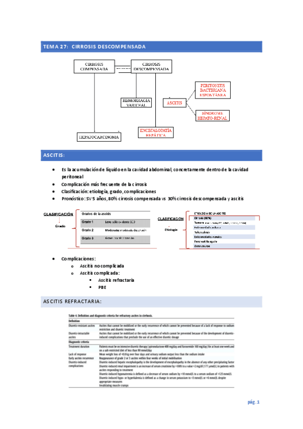
TEMA-27-CIRROSIS-DESCOMPENSADA.pdf
TEMA-34-ABDOMEN-AGUDO.pdf
PANCREATITIS-AGUDA-Y-SUS-COMPLICACIONES.pdf

He publicado nuevos apuntes de 3º Enfermedades del Aparato Digestivo: SEMINARIO 5. CIRUGÍA.pdf

2 páginas
Anónimo

@Anónimo

He publicado nuevos apuntes de 3º Enfermedades del Aparato Digestivo: Patologia-Biliar.pdf

2 páginas

He publicado nuevos examenes de 3º Enfermedades del Aparato Digestivo: EXAMEN-DIGESTIVO-2021.pdf

8 páginas
Anónimo

@Anónimo

He publicado nuevos apuntes de 3º Enfermedades del Aparato Digestivo: RESUMEN-DIGESTIVO.pdf

53 páginas
Anónimo

@Anónimo

apuntes

-

Resúmenes Digestivo

He publicado nuevos apuntes de 3º Enfermedades del Aparato Digestivo: Resúmenes Digestivo

Diagnosticodiferencialcolestasis.pdf
diagnosticodiferencialhepatitis.pdf
PerfilHepatico.pdf
diagnosticodiferencialtumoreshepaticos.pdf
trastornoshepaticosalcohol.pdf
diagnosticodiferencialwilson.pdf
Anónimo

@Anónimo

apuntes

-

TEMA 16. PANCREATITIS AGUDA Y CRÓNICA

He publicado nuevos apuntes de 3º Enfermedades del Aparato Digestivo: TEMA 16. PANCREATITIS AGUDA Y CRÓNICA

TEMA-16.pdf
TEMA-16.pdf

apuntes

-

esquemas digestivo

He publicado nuevos apuntes de 3º Enfermedades del Aparato Digestivo: esquemas digestivo

resumen-digestivo-importante.pdf
resumen-digestivo-importante.pdf

apuntes

-

TEMAS EXTRA DIGESTIVO

He publicado nuevos apuntes de 3º Enfermedades del Aparato Digestivo: TEMAS EXTRA DIGESTIVO

HEPATITIS-CRONICA-POR-VHB.pdf
HEPATOPATIA-TOXICA.pdf
TEMA-25-A.pdf
Anónimo

@Anónimo

apuntes

-

EXÁMENES

He publicado nuevos apuntes de 3º Enfermedades del Aparato Digestivo: EXÁMENES

EXAMEN-DIGESTIVO.pdf
Examen-2011-2.pdf
EXAMEN-DIGESTIVO.pdf
Examen-2011-2-1.pdf

examenes

-

examen digestivo

He publicado nuevos examenes de 3º Enfermedades del Aparato Digestivo: examen digestivo

IMG2184.jpg
IMG2183.jpg
IMG2181.jpg
IMG2180.jpg
IMG2182-1.jpg

He publicado nuevos examenes de 3º Enfermedades del Aparato Digestivo: Aparato-Digestivo_20210618_Sol.pdf

7 páginas

He publicado nuevos examenes de 3º Enfermedades del Aparato Digestivo: examen-digestivo-2021.pdf

6 páginas

apuntes

-

PPT DIGESTIVO

He publicado nuevos apuntes de 3º Enfermedades del Aparato Digestivo: PPT DIGESTIVO

Clase-.pdf
Tumores-del-esofago-Clase-2020-4.pdf
Carcinoma-epidermoide-y-adenocarcinoma.pdf
ERGE-y-hernia-de-hiato-Cirugia-del-reflujo-2.pdf
Tema-3.pdf
Tratamiento-quirurgico-tumores-del-esofago.pdf

apuntes

-

TEMARIO DIGESTIVO 2020/2021

He publicado nuevos apuntes de 3º Enfermedades del Aparato Digestivo: TEMARIO DIGESTIVO 2020/2021

TEMA-1-DIGESTIVO-convertido.pdf
ENFERMEDAD-POR-REFLUJO-GASTROESOFAGICO-convertido.pdf
ESOFAGO-DE-BARRETT.pdf
TUMORES-ESOFAGICOS.pdf
TRATAMIENTO-QUIRURGICO-DE-TUMORES-ESOFAGICOS.pdf
HEMORRAGIA-DIGESTIVA-ALTA-NO-VARICOSA.pdf

apuntes

-

APUNTES DIGESTIVOS 2019/2020

He publicado nuevos apuntes de 3º Enfermedades del Aparato Digestivo: APUNTES DIGESTIVOS 2019/2020

ERGE-y-hernia-de-hiato-Cirugia-del-reflujo-2.pdf
TRATAMIENTO-DE-LOS-TRASTORNOS-MOTORES-ESOFAGICOS.pdf
Clase.pdf
Tumores-del-esofago-Clase-2020-4.pdf
Trastornos-motores-de-sofago.pdf
Tema-3.pdf
Anónimo

@Anónimo

He publicado nuevos examenes de 3º Enfermedades del Aparato Digestivo: EXAMENES-DIGESTIVO.pdf

29 páginas
Anónimo

@Anónimo

He publicado nuevos apuntes de 3º Enfermedades del Aparato Digestivo: Digestivo11MIR.pdf

142 páginas

He publicado nuevos examenes de 3º Enfermedades del Aparato Digestivo: Examen-Digestivo-2019-2020.pdf

5 páginas

He publicado nuevos examenes de 3º Enfermedades del Aparato Digestivo: EXAMENES-DIGESTIVO-HASTA-2020.pdf

53 páginas

He publicado nuevos examenes de 3º Enfermedades del Aparato Digestivo: Aparato-Digestivo_20200619_Sol.pdf

8 páginas

He publicado nuevos examenes de 3º Enfermedades del Aparato Digestivo: Aparato-Digestivo_20190624_Sol.pdf

7 páginas

apuntes

-

Apuntes Digestivo JDLF Curso 2018/19

He publicado nuevos apuntes de 3º Enfermedades del Aparato Digestivo: Apuntes Digestivo JDLF Curso 2018/19

T8-Cx-de-la-EII.pdf
T3-Tumores-esofagicos.pdf
T1-HDA-y-ulcera-peptica.pdf
T4-Cirugia-esofagica-no-tumoral.pdf
T5A-Trastornos-motores-esofagicos.pdf
T2-Cirugia-esofagica-Ca.pdf

apuntes

-

Apuntes Digestivo JDLF Curso 2018/19

He publicado nuevos apuntes de 3º Enfermedades del Aparato Digestivo: Apuntes Digestivo JDLF Curso 2018/19

T43-Carcinomatosis-peritoneal.docx

apuntes

-

Apuntes Digestivo JDLF Curso 2018/19

He publicado nuevos apuntes de 3º Enfermedades del Aparato Digestivo: Apuntes Digestivo JDLF Curso 2018/19

T44-Metastasis-hepaticas-del-CCR.docx

He publicado nuevos apuntes de 3º Enfermedades del Aparato Digestivo: CIRROSIS-BILIAR-PRIMARIA.docx

word

He publicado nuevos apuntes de 3º Enfermedades del Aparato Digestivo: HIPERTENSION-ARTERIAL.docx

word

He publicado nuevos apuntes de 3º Enfermedades del Aparato Digestivo: HEMORRAGIA-DIGESTIVA-ALTA-NO-VARICEAL.docx

word

He publicado nuevos apuntes de 3º Enfermedades del Aparato Digestivo: ESTRENIMIENTO.docx

word
Anónimo

@Anónimo

He publicado nuevos apuntes de 3º Enfermedades del Aparato Digestivo: APARATO-DIGESTIVO.docx

word