chevron_left
chevron_right
Todo
Apuntes
Prácticas
chevron_left
chevron_right

practicas

-

Pràctiques M6

He publicado nuevos practicas de Ensayos microbiológicos: Pràctiques M6

Enterococs.pdf
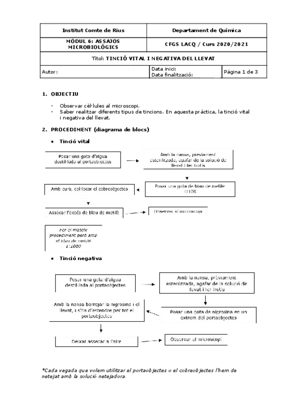
Tincio-simple-i-negativa.pdf
Proves-IMViC.pdf
Catalasa-i-oxidasa.pdf
Medi-O-F.pdf
Coliformes.pdf

He publicado nuevos apuntes de Ensayos microbiológicos: UF1-Esterilitzacio-i-tincions-i-medis-de-cultiu.pdf

4 páginas

He publicado nuevos apuntes de Ensayos microbiológicos: UF1-Material-.pdf

3 páginas

He publicado nuevos apuntes de Ensayos microbiológicos: UF1-Introduccio-a-la-microbiologia.pdf

4 páginas
¡Estás al día!

¡Estás al día!

Has visto todos los archivos