Epidemiología Clínica y Medicina Basada en Evidencias

chevron_left
chevron_right
Todo
Apuntes
Trabajos
chevron_left
chevron_right

He publicado nuevos apuntes de 3º Epidemiología Clínica y Medicina Basada en Evidencias: CURSO-BASICO-MEDICINA-BASADA-EN-EVIDENCIAS.pdf

13 páginas

He publicado nuevos apuntes de 3º Epidemiología Clínica y Medicina Basada en Evidencias: ecologia.pdf

2 páginas

He publicado nuevos apuntes de 3º Epidemiología Clínica y Medicina Basada en Evidencias: metodo-de-Hanlon.pdf

4 páginas

He publicado nuevos trabajos de 3º Epidemiología Clínica y Medicina Basada en Evidencias: adolescente-10-19-anos-salud-integral.pdf

19 páginas

He publicado nuevos apuntes de 3º Epidemiología Clínica y Medicina Basada en Evidencias: Morbilidad-y-mortalidad-CIE10Demografia-y-estadisticas-vitales.pdf

15 páginas

He publicado nuevos trabajos de 3º Epidemiología Clínica y Medicina Basada en Evidencias: modelos-teoricos-salud-enf.pdf

4 páginas

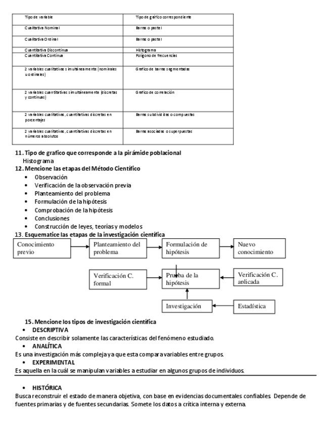
He publicado nuevos apuntes de 3º Epidemiología Clínica y Medicina Basada en Evidencias: cuadro-de-enfermedades.png

Imagen

He publicado nuevos apuntes de 3º Epidemiología Clínica y Medicina Basada en Evidencias: 7.pdf

25 páginas

He publicado nuevos apuntes de 3º Epidemiología Clínica y Medicina Basada en Evidencias: Suturas.pdf

3 páginas
Anónimo

@Anónimo

He publicado nuevos apuntes de 3º Epidemiología Clínica y Medicina Basada en Evidencias: HNEE.pdf

25 páginas

He publicado nuevos apuntes de 3º Epidemiología Clínica y Medicina Basada en Evidencias: Nutricion-libro.pdf

147 páginas
Anónimo

@Anónimo

He publicado nuevos apuntes de 3º Epidemiología Clínica y Medicina Basada en Evidencias: EPI.pdf

12 páginas
Anónimo

@Anónimo

Bibliografía: Seidel, Argente, Llanio (Cuba) entre otros libros

word
Anónimo

@Anónimo

He publicado nuevos apuntes de 3º Epidemiología Clínica y Medicina Basada en Evidencias: Mi resumen de Félix - Urogenital 1.pdf

20 páginas
Anónimo

@Anónimo

He publicado nuevos apuntes de 3º Epidemiología Clínica y Medicina Basada en Evidencias: mi resumen para felix respi.pdf

7 páginas
Anónimo

@Anónimo

He publicado nuevos apuntes de 3º Epidemiología Clínica y Medicina Basada en Evidencias: Mi resumen de Félix1.pdf

16 páginas
Anónimo

@Anónimo

He publicado nuevos apuntes de 3º Epidemiología Clínica y Medicina Basada en Evidencias: Mi resumen de Félix - Digestivo.pdf

18 páginas
Anónimo

@Anónimo

He publicado nuevos apuntes de 3º Epidemiología Clínica y Medicina Basada en Evidencias: Epi - Cardio.pdf

22 páginas
Anónimo

@Anónimo

He publicado nuevos apuntes de 3º Epidemiología Clínica y Medicina Basada en Evidencias

https://mega.nz/#!UD41EISK!HMoIoOvvnJW208WeUC83teRzV8XQizgYXwngd7mlWJI
Anónimo

@Anónimo

He publicado nuevos apuntes de 3º Epidemiología Clínica y Medicina Basada en Evidencias

https://mega.nz/#!5DpzWYqS!1WzBV1ygz54PN1imBPaKhDzMFyi6i3wy4FUpv75thVU
Anónimo

@Anónimo

He publicado nuevos apuntes de 3º Epidemiología Clínica y Medicina Basada en Evidencias: Guía de parto (apuntes).pdf

8 páginas
Anónimo

@Anónimo

He publicado nuevos apuntes de 3º Epidemiología Clínica y Medicina Basada en Evidencias

https://mega.nz/#!8Hgl2KbA!7EfMCZ9PPKrnGdbNulyhP1J7vitOErApYda3rmON8x0
Anónimo

@Anónimo

He publicado nuevos apuntes de 3º Epidemiología Clínica y Medicina Basada en Evidencias

https://mega.nz/#!xT5BnABb!voYCirnRoWzaGDZAc4qlADou7ZFMHX0mqEzxNpcWQtc
Anónimo

@Anónimo

He publicado nuevos apuntes de 3º Epidemiología Clínica y Medicina Basada en Evidencias

https://mega.nz/#!RC5jzCwS!SWkiMby77zEMJ_lCQ1j59KfpOjVrND4g9lR41-hqifo
Anónimo

@Anónimo

He publicado nuevos apuntes de 3º Epidemiología Clínica y Medicina Basada en Evidencias

https://mega.nz/#!wGQUFIiZ!BzgVjNNUAtnupHM2avTkewzaqHYFqXE4SJA8Wlq6lH8
Anónimo

@Anónimo

He publicado nuevos apuntes de 3º Epidemiología Clínica y Medicina Basada en Evidencias

https://mega.nz/#!teYS0aKK!m4d2hlib3C6oyPUV3V9qLurCondX6eyxPQcuQFawL7Q
¡Estás al día!

¡Estás al día!

Has visto todos los archivos