Equilibrio y Cambio en Química

chevron_left
chevron_right
Todo
Apuntes
Ejercicios
Exámenes
Otros
Prácticas
Trabajos
chevron_left
chevron_right

ejercicios

-

Problemas del tema 1 al 8 y formulario por temas

He publicado nuevos ejercicios de 1º Equilibrio y Cambio en Química: Problemas del tema 1 al 8 y formulario por temas

Formulario-por-temas.pdf
Problemas-y-tarea-tema-2.pdf
Problemas-y-tarea-tema-1.pdf
Problemas-tema-7.pdf
Problemas-y-tarea-tema-5.pdf
Problemas-y-tarea-tema-3.pdf

He publicado nuevos practicas de 1º Equilibrio y Cambio en Química: memoria-practicas-2-calculos.pdf

3 páginas

apuntes

-

ECQ TEORÍA+GRÁFICAS IMPORTANTES

He publicado nuevos apuntes de 1º Equilibrio y Cambio en Química: ECQ TEORÍA+GRÁFICAS IMPORTANTES

ECQ-T1-TEORIA.pdf
ECQ-T2-TEORIA.pdf
ECQ-T3-TEORIA.pdf
ECQ-T4-TEORIA.pdf
ECQ-T5-TEORIA.pdf
ECQ-T6-TEORIA.pdf

ejercicios

-

Maritere Resueltas

Tareas temas 1-8 ECQ 1ºQuímica.

TAREA-1-MARITERE-RESUELTA.pdf
TAREA-2-MARITERE-RESUELTA.pdf
TAREA-3-MARITERE-RESUELTA.pdf
TAREA-4-MARITERE-RESUELTA.pdf
TAREA-5-MARITERE-RESUELTA.pdf
TAREA-6-MARITERE-RESUELTA.pdf

He publicado nuevos examenes de 1º Equilibrio y Cambio en Química: Examenes-Tipo-Resueltos.pdf

13 páginas

ejercicios

-

tareas maritere

He publicado nuevos ejercicios de 1º Equilibrio y Cambio en Química: tareas maritere

Tarea-tema-2.pdf
Tarea-tema-1.pdf
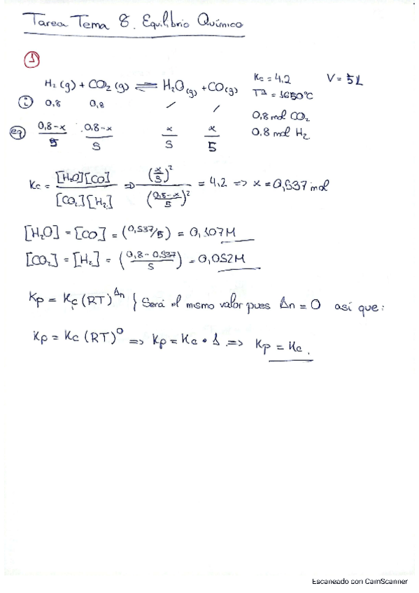
Tarea-Tema-8.pdf
tarea-tema-4.pdf
tarea-tema-3.pdf

He publicado nuevos apuntes de 1º Equilibrio y Cambio en Química: Teoria-clave-TODOS-los-Temas-APROBE.pdf

14 páginas

He publicado nuevos trabajos de 1º Equilibrio y Cambio en Química: Tarea-Tema-8-APROBE.pdf

1 página

He publicado nuevos trabajos de 1º Equilibrio y Cambio en Química: Tarea-Tema-7-APROBE.pdf

1 página

He publicado nuevos trabajos de 1º Equilibrio y Cambio en Química: Tarea-Tema-6-APROBE.pdf

1 página

He publicado nuevos trabajos de 1º Equilibrio y Cambio en Química: Tarea-Tema-5-APROBE.pdf

3 páginas

He publicado nuevos trabajos de 1º Equilibrio y Cambio en Química: Tarea-Tema-4-APROBE.pdf

1 página

He publicado nuevos trabajos de 1º Equilibrio y Cambio en Química: Tarea-Tema-3-APROBE.pdf

1 página

He publicado nuevos trabajos de 1º Equilibrio y Cambio en Química: Tarea-Tema-2-APROBE.pdf

1 página

He publicado nuevos trabajos de 1º Equilibrio y Cambio en Química: Tarea-Tema-1-APROBE.pdf

1 página

He publicado nuevos ejercicios de 1º Equilibrio y Cambio en Química: Ejercicios-Tema-8.pdf

10 páginas

He publicado nuevos ejercicios de 1º Equilibrio y Cambio en Química: Ejercicios-Tema-7.pdf

4 páginas

He publicado nuevos ejercicios de 1º Equilibrio y Cambio en Química: Ejercicios-Tema-6.pdf

4 páginas

He publicado nuevos ejercicios de 1º Equilibrio y Cambio en Química: Ejercicios-Tema-5.pdf

4 páginas

He publicado nuevos ejercicios de 1º Equilibrio y Cambio en Química: Ejercicios-Tema-4.pdf

6 páginas

He publicado nuevos ejercicios de 1º Equilibrio y Cambio en Química: Ejercicios-Tema-3.pdf

5 páginas

He publicado nuevos ejercicios de 1º Equilibrio y Cambio en Química: Ejercicios-Tema-2.pdf

6 páginas

He publicado nuevos ejercicios de 1º Equilibrio y Cambio en Química: Ejercicios-Tema-1.pdf

7 páginas

He publicado nuevos apuntes de 1º Equilibrio y Cambio en Química: Memoriapracticas-6-buena-nota.pdf

4 páginas

He publicado nuevos apuntes de 1º Equilibrio y Cambio en Química: Memoriapracticas-4-buena-nota.pdf

3 páginas

He publicado nuevos apuntes de 1º Equilibrio y Cambio en Química: Memoria-de-practicas-2buena-nota.pdf

3 páginas

He publicado nuevos apuntes de 1º Equilibrio y Cambio en Química: memoria-de-practicas-1-buena-nota.pdf

3 páginas

He publicado nuevos practicas de 1º Equilibrio y Cambio en Química: Memoriapracticas-1.pdf

2 páginas

He publicado nuevos practicas de 1º Equilibrio y Cambio en Química: Memoriapracticas-3.pdf

2 páginas

He publicado nuevos practicas de 1º Equilibrio y Cambio en Química: Memoriapracticas-4.pdf

3 páginas

He publicado nuevos practicas de 1º Equilibrio y Cambio en Química: Memoriapracticas-2.pdf

2 páginas

He publicado nuevos apuntes de 1º Equilibrio y Cambio en Química: Memoriapracticas-5.pdf

3 páginas

He publicado nuevos apuntes de 1º Equilibrio y Cambio en Química: Memoriapracticas-6.pdf

3 páginas

He publicado nuevos practicas de 1º Equilibrio y Cambio en Química: Práctica 7 APROBÉ.pdf

7 páginas

He publicado nuevos practicas de 1º Equilibrio y Cambio en Química: Práctica 6 APROBÉ.pdf

3 páginas

He publicado nuevos practicas de 1º Equilibrio y Cambio en Química: Práctica 5 APROBÉ.pdf

4 páginas

He publicado nuevos practicas de 1º Equilibrio y Cambio en Química: Práctica 4 APROBÉ.pdf

5 páginas

He publicado nuevos practicas de 1º Equilibrio y Cambio en Química: Práctica 3 APROBÉ.pdf

4 páginas

He publicado nuevos practicas de 1º Equilibrio y Cambio en Química: Práctica 2 APROBÉ.pdf

5 páginas

He publicado nuevos practicas de 1º Equilibrio y Cambio en Química: Práctica 1 APROBÉ.pdf

6 páginas

apuntes

-

PRÁCTICAS DE LABORATORIO

PRÁCTICAS RESUELTAS DE LABORATORIO

PRACTICA-1-9001000.pdf
PRACTICA-2-8501000.pdf
PRACTICA-3-9501000.pdf
PRACTICA-4-8501000.pdf
PRACTICA-5-9501000.pdf
PRACTICA-6-9001000.pdf

apuntes

-

TODOS LOS RESUMENES COMPLETOS

TODOS LOS RESÚMENES

TEMA-1.pdf
TEMA-2.pdf
TEMA-3.pdf
TEMA-4.pdf
TEMA-5.pdf
TEMA-6.pdf

He publicado nuevos apuntes de 1º Equilibrio y Cambio en Química: formulario-eq1-temas5-6-7-8.pdf

3 páginas

He publicado nuevos practicas de 1º Equilibrio y Cambio en Química: CINETICA-DE-REACCIONES.pdf

4 páginas

He publicado nuevos ejercicios de 1º Equilibrio y Cambio en Química: Problemas-todos-los-temas.pdf

17 páginas

He publicado nuevos ejercicios de 1º Equilibrio y Cambio en Química: Tema-5-EQC.pdf

4 páginas

He publicado nuevos ejercicios de 1º Equilibrio y Cambio en Química: Problemas-tema-4.pdf

8 páginas

He publicado nuevos ejercicios de 1º Equilibrio y Cambio en Química: Problemas-tema-2.pdf

4 páginas

He publicado nuevos ejercicios de 1º Equilibrio y Cambio en Química: Problemas-Tema-3.pdf

3 páginas

He publicado nuevos ejercicios de 1º Equilibrio y Cambio en Química: Tarea-8-EcQ.pdf

2 páginas

He publicado nuevos ejercicios de 1º Equilibrio y Cambio en Química: Tarea-7-EcQ.pdf

2 páginas
Anónimo

@Anónimo

He publicado nuevos apuntes de 1º Equilibrio y Cambio en Química: Tarea-Tema-4.pdf

2 páginas

He publicado nuevos ejercicios de 1º Equilibrio y Cambio en Química: Tarea-tema-3.pdf

2 páginas

He publicado nuevos ejercicios de 1º Equilibrio y Cambio en Química: Tarea-T-2-ECQ.pdf

3 páginas

He publicado nuevos ejercicios de 1º Equilibrio y Cambio en Química: Tarea-T-1-ECQ.pdf

3 páginas

He publicado nuevos ejercicios de 1º Equilibrio y Cambio en Química: Tema-1-ejercicios.pdf

7 páginas

apuntes

-

Prácticas

He publicado nuevos apuntes de 1º Equilibrio y Cambio en Química: Prácticas

Practica 1_Disoluciones.pdf
Practica2_Estequiometria.pdf
Practica 3_Liquidos.pdf
Practica 4_Introduccion a termodinamica.pdf
Practica 5_Cinetica Quimica.pdf

apuntes

-

Tema 8_Apuntes y ejercicios

He publicado nuevos apuntes de 1º Equilibrio y Cambio en Química: Tema 8_Apuntes y ejercicios

Tema 8_Apuntes.pdf
Tema 8_Problemas.pdf

apuntes

-

Tema 7_Apuntes y ejercicios

He publicado nuevos apuntes de 1º Equilibrio y Cambio en Química: Tema 7_Apuntes y ejercicios

Tema 7_Apuntes.pdf
Tema 7_Problemas.pdf

He publicado nuevos apuntes de 1º Equilibrio y Cambio en Química: tabla-reactivos-comerciales.pdf

1 página