Espacios Hilbert

chevron_left
chevron_right
Todo
Apuntes
Ejercicios
chevron_left
chevron_right

He publicado nuevos apuntes de 3º Espacios Hilbert: beamer-hilbert-20202021-T3C-PRINT-1.pdf

54 páginas

He publicado nuevos apuntes de 3º Espacios Hilbert: beamer-hilbert-20202021-T2C-PRINT.pdf

64 páginas

He publicado nuevos apuntes de 3º Espacios Hilbert: beamer-hilbert-20202021-T1C-PRINT.pdf

97 páginas

He publicado nuevos apuntes de 3º Espacios Hilbert: hilbert1516eneroejer4.pdf

3 páginas

He publicado nuevos apuntes de 3º Espacios Hilbert: hilbert1920eneroejer4d.pdf

2 páginas

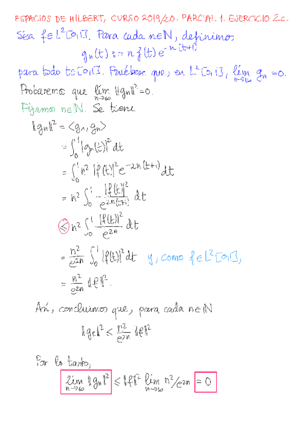
He publicado nuevos apuntes de 3º Espacios Hilbert: hilbert2122parcial2ejercicio2c.pdf

2 páginas

He publicado nuevos apuntes de 3º Espacios Hilbert: hilbert1718eneroejer5a.pdf

4 páginas

He publicado nuevos apuntes de 3º Espacios Hilbert: hilbert2021parcial1ejer1.pdf

3 páginas

He publicado nuevos apuntes de 3º Espacios Hilbert: hilberthoja5ejer5a.pdf

2 páginas

He publicado nuevos apuntes de 3º Espacios Hilbert: hilbert1819parcial2ejer2.pdf

5 páginas

He publicado nuevos apuntes de 3º Espacios Hilbert: hilbert1920parcial2ejercicio1byc.pdf

4 páginas

He publicado nuevos apuntes de 3º Espacios Hilbert: hilbert1718eneroejercicio3.pdf

6 páginas

He publicado nuevos apuntes de 3º Espacios Hilbert: hilbert1617febreroejer3b.pdf

2 páginas

He publicado nuevos apuntes de 3º Espacios Hilbert: hilbert1516eneroejer2b.pdf

1 página

He publicado nuevos apuntes de 3º Espacios Hilbert: hilbert1516parcial2ejer2b.pdf

3 páginas

He publicado nuevos apuntes de 3º Espacios Hilbert: hilbert1920parcial1ejercicio2b.pdf

1 página

He publicado nuevos apuntes de 3º Espacios Hilbert: hilbert1819parcial1ejercicio2b.pdf

2 páginas

He publicado nuevos apuntes de 3º Espacios Hilbert: hilbert1819eneroejer4b.pdf

1 página

He publicado nuevos apuntes de 3º Espacios Hilbert: hilbert1920parcial1ejercicio3.pdf

3 páginas

He publicado nuevos apuntes de 3º Espacios Hilbert: hilbert1819parcial1ejercicio3.pdf

3 páginas

He publicado nuevos apuntes de 3º Espacios Hilbert: hilbert1718eneroejer1c.pdf

2 páginas

He publicado nuevos ejercicios de 3º Espacios Hilbert: hilbert2122parcial1ejerc2.pdf

4 páginas

He publicado nuevos ejercicios de 3º Espacios Hilbert: hilbert1920eneroejer5.pdf

2 páginas

He publicado nuevos ejercicios de 3º Espacios Hilbert: hilbert2021parcial1ejer2.pdf

3 páginas

He publicado nuevos ejercicios de 3º Espacios Hilbert: hilbert1920eneroejer1cy1819eneroejer1c.pdf

1 página

He publicado nuevos ejercicios de 3º Espacios Hilbert: hilbert1819eneroejer1b.pdf

1 página

He publicado nuevos ejercicios de 3º Espacios Hilbert: hilbert1718eneroejer1b.pdf

1 página

He publicado nuevos ejercicios de 3º Espacios Hilbert: hilbert1718parcial1ejercicio1c.pdf

1 página
¡Estás al día!

¡Estás al día!

Has visto todos los archivos