Todo
Apuntes
Preguntas
Ejercicios
Exámenes
Otros
PEC
Prácticas
publication
Test
Trabajos
chevron_left
chevron_right

Convocatoria de estadística de febrero resuelta + enunciados (el examen original tenía fallos en los últimos enunciados que he cambiado y por eso en los ejercicios 8, 9 y 10 pueden salir cosas raras)

7 páginas

Enunciados de una convocatoria de Febrero de Estadística

2 páginas

He publicado nuevos apuntes de 1º Estadística: ESQUEMA-PRUEBAS-ESTADISTICAS.pdf

2 páginas

He publicado nuevos examenes de 2º Estadística: examen-teorico-bloque-II.pdf

2 páginas

He publicado nuevos examenes de 2º Estadística: examen-practico-bloque-II.pdf

3 páginas

Apuntes aplicados al Excel.

word

practicas

-

Práctica 6

Enunciado y memoria de la Práctica 6 de ordenadores de estadística

PRACTICA6EST202526.pdf
PRACTICA6EST202526.pdf
Memoria-Practica-6.pdf
Memoria-Practica-6.pdf

practicas

-

Práctica 5

Enunciado y memoria de la Práctica 5 de ordenadores de estadística

Memoria-Practica-5.pdf
Memoria-Practica-5.pdf
PRACTICA5EST202526.pdf
PRACTICA5EST202526.pdf

practicas

-

Práctica 4

Enunciado y memoria de la Práctica 4 de ordenadores de estadística

Memoria-Practica-4.pdf
Memoria-Practica-4.pdf
PRACTICA4EST202526.pdf
PRACTICA4EST202526.pdf

practicas

-

Práctica 3

Enunciado y memoria de la Práctica 3 de ordenadores de estadística

PRACTICA3EST202526.pdf
PRACTICA3EST202526.pdf
Memoria-Practica-3.pdf
Memoria-Practica-3.pdf

practicas

-

Práctica 2

Enunciado y memoria de la Práctica 2 de ordenadores de estadística

PRACTICA2EST202526.pdf
PRACTICA2EST202526.pdf
Memoria-Practica-2.pdf
Memoria-Practica-2.pdf

practicas

-

Práctica 1

Enunciado y memoria de la Práctica 1 de ordenadores de estadística

Memoria-Practica-1.pdf
Memoria-Practica-1.pdf
PRACTICA1EST202526.pdf
PRACTICA1EST202526.pdf

apuntes

-

RESUMEN ESTADISTICA

He publicado nuevos apuntes de 1º Estadística: RESUMEN ESTADISTICA

T1-TEORIA-DE-PROBABILIDAD.pdf
T2-VARIABLE-ALEATORIA.pdf
T3-VARIABLE-ALEATORIA-DISCRETA.pdf
T4-VARIABLE-ALEATORIA-CONTINUA.pdf
T5-VARIABLE-ALEATORIA-VECTORIAL.pdf
T6-PROCESOS-ESTOCASTICOS.pdf

examenes

-

EXAMENES RESUELTOS

He publicado nuevos examenes de 1º Estadística: EXAMENES RESUELTOS

PRUEBA-1-RESUELTA-2018.pdf
PRUEBA-5-RESUELTA-2018.pdf
PRUEBA-FINAL-1-RESUELTA.pdf
PRUEBA-FINAL-2-RESUELTA.pdf

Aplicación en excel

Imagen

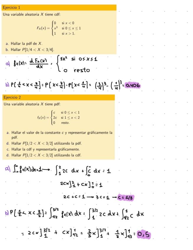
He publicado nuevos ejercicios de 2º Estadística: EJERCICIOS-PROBABILIDAD.pdf

9 páginas

ejercicios

-

Estadísticas

He publicado nuevos ejercicios de 2º Estadística: Estadísticas

Ejercicios-explicados-combinatoria.pdf

apuntes

-

RESUMEN ESTADISTICA

He publicado nuevos apuntes de 1º Estadística: RESUMEN ESTADISTICA

T1-TEORIA-DE-PROBABILIDAD.pdf
T2-VARIABLE-ALEATORIA.pdf
T3-VARIABLE-ALEATORIA-DISCRETA.pdf
T4-VARIABLE-ALEATORIA-CONTINUA.pdf
T5-VARIABLE-ALEATORIA-VECTORIAL.pdf
T6-PROCESOS-ESTOCASTICOS.pdf

examenes

-

EXAMENES RESUELTOS

He publicado nuevos examenes de 1º Estadística: EXAMENES RESUELTOS

PRUEBA-1-RESUELTA-2018.pdf
PRUEBA-5-RESUELTA-2018.pdf
PRUEBA-FINAL-1-RESUELTA.pdf
PRUEBA-FINAL-2-RESUELTA.pdf

He publicado nuevos apuntes de 2º Estadística: TEMA-2-DISTRIBUCIONS-DE-PROBABILITAT-I-VARIABILITAT.pdf

4 páginas

He publicado nuevos practicas de 2º Estadística: Practica-1.pdf

13 páginas

He publicado nuevos practicas de 2º Estadística: Practica-4.pdf

4 páginas

He publicado nuevos practicas de 2º Estadística: Practica-3.pdf

7 páginas

He publicado nuevos practicas de 2º Estadística: Practica-2.pdf

15 páginas

He publicado nuevos apuntes de 1º Estadística: Regresion-lineal.pdf

14 páginas

He publicado nuevos apuntes de 1º Estadística: t2-probabilidad.pdf

10 páginas

No te quedes sin tu plaza!!

7 páginas

No et quedis sense la teva plaça!!

1 página

He publicado nuevos apuntes de 2º Estadística: TEMA-1-INTRODUCCIO-A-LA-ESTADISTICA.pdf

3 páginas

ejercicios

-

Ejercicios estadística

He publicado nuevos ejercicios de 2º Estadística: Ejercicios estadística

Ejercicios-probabilidad.pdf
Ejercicios-combinatoria.pdf
Ejercicios-variable-aleatoria.pdf
Ejercicios-variable-con-nombre-propio.pdf

ejercicios

-

Estadística

1ºFarmacia Curso 2025-2026

Ejercicios-Estadistica-Tema-1.pdf
Problemas-Tema-1.pdf
Problemas-Tema-3.pdf
Problemas-Tema-4.pdf
Problemas-Tema-5.pdf
Problemas-Tema-6.pdf

apuntes

-

Estadística

1º Farmacia Curso 2025-2026

Tema-1.pdf
Tema-2.pdf
Tema-3.pdf
Tema-4.pdf
Tema-5.pdf
Tema-6.pdf

apuntes

-

TEMAS RESUMIDOS ESTADISTICA

He publicado nuevos apuntes de 1º Estadística: TEMAS RESUMIDOS ESTADISTICA

T1-TEORIA-DE-PROBABILIDAD.pdf
T2-VARIABLE-ALEATORIA.pdf
T3-VARIABLE-ALEATORIA-DISCRETA.pdf
T4-VARIABLE-ALEATORIA-CONTINUA.pdf
T5-VARIABLE-ALEATORIA-VECTORIAL.pdf
T6-PROCESOS-ESTOCASTICOS.pdf

examenes

-

EXAMENES ANTERIORES

He publicado nuevos examenes de 1º Estadística: EXAMENES ANTERIORES

EXAMEN-1o-PARCIAL-2016.pdf
EXAMEN-2o-PARCIAL-2015.pdf
EXAMEN-JUNIO-2016.pdf
EXAMEN-SEPTIEMBRE-2016.pdf
Anónimo

@Anónimo

apuntes

-

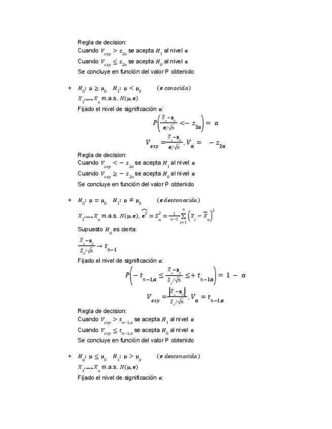
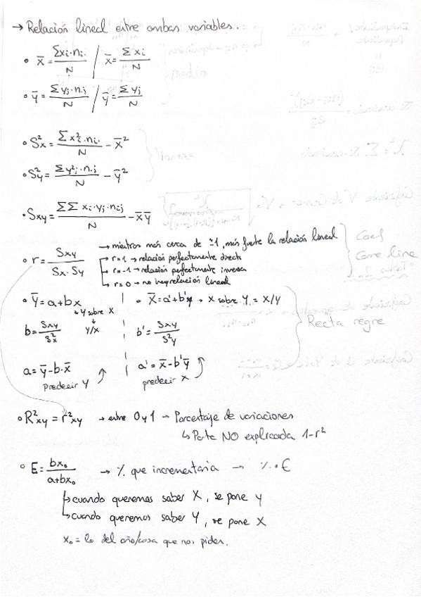
Fórmulas

Fórmulas temas 1. DESCRIPCIÓN DE DATOS 2. PROBABILIDAD 3. VARIABLES ALEATORIAS (discretas y continuas). Hoja de colores: Hoja de 1 cara con todas las fórmulas importantes.

IMG20251223162213.jpg
IMG2025122316230201.jpg
IMG2025122316280901.jpg
IMG20251223162846.jpg
IMG2025122316285901.jpg
IMG2025122316294601.jpg

Ejercicios resueltos de una convocatoria de Estadística de septiembre

5 páginas

Enunciados de una convocatoria de Septiembre de Estadística

2 páginas

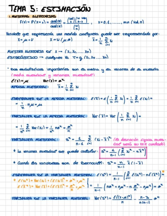
He publicado nuevos apuntes de 1º Estadística: Resumen-del-Tema-5.pdf

5 páginas

He publicado nuevos apuntes de 1º Estadística: Tema-2-estadistica-resumen.pdf

4 páginas

He publicado nuevos apuntes de 1º Estadística: Resumen-del-Tema-4.pdf

3 páginas

He publicado nuevos apuntes de 1º Estadística: Resumen-tema-3-estaditica.pdf

9 páginas

Apuntes de Mercedes Martín Hernández y guía de SPSS

31 páginas

He publicado nuevos apuntes de 2º Estadística: EJERCICIOS-POR-TEMA-RESUELTOS.pdf

19 páginas

ejercicios

-

EJERCICIOS ACADEMIA PEPE

He publicado nuevos ejercicios de 2º Estadística: EJERCICIOS ACADEMIA PEPE

Convergencia-en-Probabilidad-1.pdf
Ejercicios-13-1517.pdf
Ejercicios-15-19-HOJA-1-probabilidad.pdf
EJERCICIOS-ADICIONALES-INFERENCIA.pdf
ejercicios-examenes-parciales-watermark-pdf.pdf
Esquema-de-Modelos-de-Variable-Aleatoria.pdf

examenes

-

EXAMENES

He publicado nuevos examenes de 2º Estadística: EXAMENES

2010JanuaryGINFSOL.pdf
2011EneroGINFSOL.pdf
2012EneroGINFSOL.pdf
2012JunioGINFSOL.pdf
2007JunioTINFPR-SOL.pdf
2007SeptiembreTINFPR-SOL.pdf

He publicado nuevos apuntes de 1º Estadística: TODA-ESTADISTICA.pdf

28 páginas

apuntes

-

ESTADÍSTICA

Todos los temas menos probabilidad

T1-y-2-Poblacion-Y-Muestra-Tecnicas-De-Muestreo.pdf
T3-Estadistica-Descriptiva-Unidimensional.pdf
T4-Estadistica-Descriptiva-Bidimensional.pdf
T6-Variables-aleatorias.pdf
T7-Intervalos-De-Confianza.pdf
T8-Contraste-De-Hipotesis.pdf

He publicado nuevos apuntes de 1º Estadística: Estadistica-T4.pdf

5 páginas

He publicado nuevos apuntes de 2º Estadística: estadistica-pec1-apuntes.pdf

7 páginas

He publicado nuevos apuntes de 1º Estadística: Tema-1.-Introduccion-a-la-estadistica.pdf

2 páginas

He publicado nuevos apuntes de 1º Estadística: Tema-5.-Concepto-General-de-Prueba-o-Test-de-Hipotesis-Estadistico.pdf

3 páginas

He publicado nuevos apuntes de 1º Estadística: Tema-9.-Regresion-y-correlacion-lineal.pdf

3 páginas

He publicado nuevos apuntes de 1º Estadística: Tema-8.-Test-Chi-cuadrado-y-tablas-2x2.pdf

5 páginas

He publicado nuevos apuntes de 1º Estadística: Tema-7.-Tests-de-homogeneidad-con-dos-muestras.pdf

3 páginas

He publicado nuevos apuntes de 2º Estadística: tema-9Inferencia.pdf

8 páginas

apuntes

-

TEMAS RESUMIDOS ESTADISTICA

He publicado nuevos apuntes de 1º Estadística: TEMAS RESUMIDOS ESTADISTICA

T1-TEORIA-DE-PROBABILIDAD.pdf
T2-VARIABLE-ALEATORIA.pdf
T3-VARIABLE-ALEATORIA-DISCRETA.pdf
T4-VARIABLE-ALEATORIA-CONTINUA.pdf
T5-VARIABLE-ALEATORIA-VECTORIAL.pdf
T6-PROCESOS-ESTOCASTICOS.pdf

examenes

-

EXAMENES ANTERIORES

He publicado nuevos examenes de 1º Estadística: EXAMENES ANTERIORES

EXAMEN-1o-PARCIAL-2016.pdf
EXAMEN-2o-PARCIAL-2015.pdf
EXAMEN-JUNIO-2016.pdf
EXAMEN-SEPTIEMBRE-2016.pdf

con soluciones

5 páginas

examenes

-

Examens resolts

He publicado nuevos examenes de 1º Estadística: Examens resolts

Ordinaria-2024.pdf
Extraordinaria-2024.pdf
Ordinaria-2023.pdf
Extraordinaria-2023.pdf
Ordinaria-2022.pdf
Extraordinaria-2022.pdf

practicas

-

Prácticas segundo parcial

He publicado nuevos practicas de 2º Estadística: Prácticas segundo parcial

Practica-4.pdf