Estadística Aplicada a la Biología

Todo
Apuntes
Preguntas
Ejercicios
Exámenes
Otros
Prácticas
publication
chevron_left
chevron_right

He publicado nuevos apuntes de 1º Estadística Aplicada a la Biología: APUNTES-GENERALES-PRIMER-PARCIAL-ESTADISTICA.pdf

5 páginas

He publicado nuevos apuntes de 1º Estadística Aplicada a la Biología: APUNTES-PRIMER-PARCIAL-ESTADISTICA.pdf

24 páginas

Apuntes del tercer bloque de estadística

9 páginas

Apuntes bloque 1 de estadística

15 páginas

Apuntes del segundo bloque

8 páginas

ejercicios

-

Soluciones - Hoja de Problemas nº 3

Soluciones de los problemas de la hoja nº 3 de estadística, relacionados con el tema 5.

Soluciones-Hoja-de-problemas-no-3.pdf
Hoja-de-problemas-no-3.pdf

Apuntes del tema 8 de estadísticas, "Problema de la estimación: estimación puntual y estimación por intervalos".

3 páginas

ejercicios

-

Soluciones - Hoja de Problemas nº 4

Soluciones de los problemas de la hoja nº 4 de estadística, relacionados con el tema 6.

Soluciones-Hoja-de-problemas-no-4.pdf
Hoja-de-problemas-no-4.pdf

ejercicios

-

Soluciones - Hoja de Problemas nº 2

Soluciones de los problemas de la hoja nº 2 de estadística, relacionados con el tema 4.

Soluciones-Hoja-de-problemas-no-2.pdf
Hoja-de-problemas-no-2.pdf

Hoja de problemas 2. Solo dos ejercicios realizados

4 páginas

Apuntes del tema 4 de estadísticas, "Series estadísticas de 2 caracteres. Regresión.

4 páginas

He publicado nuevos ejercicios de 1º Estadística Aplicada a la Biología: Ejercicios-Corregidos-Bloques-I-II.pdf

16 páginas

Todos los ejercicios de los dos últimas relación de temas de estadística. Corregidos y explicados para el segundo parcial de la asignatura.

19 páginas

Apuntes del tema 7 de estadística, "Introducción a la interferencia Estadística"

3 páginas

Apuntes del tema 6 de estadística, "Variables aleatorias. Modelos clásicos de distribuciones de probabilidad". He omitido el apartado de conceptos básicos y los puntos de las variables, y he ido directamente a las distribuciones, porque normalmente te pl

4 páginas

ejercicios

-

Soluciones - Hoja de Problemas nº 1

Soluciones de los problemas de la hoja nº 1 de estadística, relacionados con los temas 1, 2 y 3.

SOLUCIONES-Hoja-de-Problemas-no-1.pdf
Hoja-de-Problemas-no-1.pdf

Examen practico de ordenador apunte folio estadistica

2 páginas

tema 5 , Experimentos aleatorios. Probabilidad, estadistica

7 páginas

apuntes

-

tema 3 , Características asociadas a una distribución de frecuencias, estadistica

Tema 3 de estadistica aplicada a la biologia, Características asociadas a una distribución de frecuencias

estadistica-tema-3.1.jpg
estadistica-tema-3-1.jpg
estadistica-tema-3-2.jpg
estadistica-tema-3-3.jpg
estadistica-tema-3-4.jpg

Tema 2 de estadistica de metodos graficos

2 páginas

He publicado nuevos apuntes de 1º Estadística Aplicada a la Biología: Tema-8-Estimacion-puntual-y-por-intervalos.pdf

2 páginas

He publicado nuevos apuntes de 1º Estadística Aplicada a la Biología: TEMA-6-VARIABLES-ALEATORIAS-estadistica.pdf

4 páginas

He publicado nuevos apuntes de 1º Estadística Aplicada a la Biología: Tema-7-Introduccion-a-la-inferencia-estadistica.pdf

2 páginas

He publicado nuevos apuntes de 1º Estadística Aplicada a la Biología: apuntes-1o-PARCIAL-ESTADISTICA-COMPLETOS.pdf

3 páginas

He publicado nuevos apuntes de 1º Estadística Aplicada a la Biología: TEMA-9-CONTRASTE-DE-HIPOTESIS-ESTADISTICAS.pdf

1 página

Ejercicios del primer bloque completo explicado para rubias (por una rubia)

26 páginas

Apuntes de estadísticas, tema 3: Características asociadas a una distribución de frecuencias

9 páginas

Estadística. Apuntes del tema 5: probabilidad (sin ejemplos)

5 páginas

Estadística. Apuntes del tema 5: Probabilidad

7 páginas

Estadística. Apuntes del tema 2: Métodos gráficos

1 página

Estadística. Apuntes del tema 1: introducción a la estadística. Conceptos básicos. Distribuciones de frecuencias.

3 páginas

Regresión lineal, diagrama de cajas y bigotes, interpretación de variables…

2 páginas

He publicado nuevos apuntes de 1º Estadística Aplicada a la Biología: resumen-segundo-parcial-estadistica.pdf

14 páginas

He publicado nuevos apuntes de 1º Estadística Aplicada a la Biología: Estadistica-bloque-2.pdf

6 páginas

He publicado nuevos apuntes de 1º Estadística Aplicada a la Biología: Estadistica-bloque-1.pdf

4 páginas

He publicado nuevos ejercicios de 1º Estadística Aplicada a la Biología: Ejercicios-estadistica--Hoja-1.pdf

8 páginas

He publicado nuevos apuntes de 1º Estadística Aplicada a la Biología: esq-res-estadistica-bloque-II-pt1.pdf

2 páginas

He publicado nuevos apuntes de 1º Estadística Aplicada a la Biología: esq-res-estadistica-bloque-I.pdf

4 páginas

Ejemplos de exámenes de convocatoria

7 páginas

Ejemplo de examen de estadística

Miniatura no disponible
2 páginas

He publicado nuevos apuntes de 1º Estadística Aplicada a la Biología: Variables-cuantitativas-y-cualitativas.pdf

1 página

He publicado nuevos ejercicios de 1º Estadística Aplicada a la Biología: probabilidad-act.pdf

3 páginas

He publicado nuevos ejercicios de 1º Estadística Aplicada a la Biología: estadistica-49-66.pdf

9 páginas

He publicado nuevos apuntes de 1º Estadística Aplicada a la Biología: Resumen-parte-1-estadistica.pdf

7 páginas

He publicado nuevos apuntes de 1º Estadística Aplicada a la Biología: tema-6-estadistica.pdf

1 página

He publicado nuevos ejercicios de 1º Estadística Aplicada a la Biología: ejercicios-estadistica.pdf

9 páginas

He publicado nuevos examenes de 1º Estadística Aplicada a la Biología: primer-parcial.pdf

1 página

He publicado nuevos ejercicios de 1º Estadística Aplicada a la Biología: fiCha-ciervas.pdf

2 páginas

He publicado nuevos apuntes de 1º Estadística Aplicada a la Biología: apuntes-bloque-1-estadistica.pdf

28 páginas

He publicado nuevos apuntes de 1º Estadística Aplicada a la Biología: apuntes-estadistica.pdf

13 páginas

He publicado nuevos apuntes de 1º Estadística Aplicada a la Biología: apuntes-bloque-2-estadistica.pdf

18 páginas

He publicado nuevos apuntes de 1º Estadística Aplicada a la Biología: apuntes-bloque-3-estadistica.pdf

19 páginas

He publicado nuevos apuntes de 1º Estadística Aplicada a la Biología: chuletario-estadistica.pdf

5 páginas

He publicado nuevos examenes de 1º Estadística Aplicada a la Biología: Examenes-estadistica-1er-parcial.pdf

5 páginas

He publicado nuevos ejercicios de 1º Estadística Aplicada a la Biología: Ejercicios-resueltos-estadistica-2o-parcial.pdf

11 páginas

He publicado nuevos ejercicios de 1º Estadística Aplicada a la Biología: Ejercicios-resueltos-estadistica-1er-parcial.pdf

14 páginas

He publicado nuevos examenes de 1º Estadística Aplicada a la Biología: Examenes-estadistica-2o-parcial.pdf

11 páginas

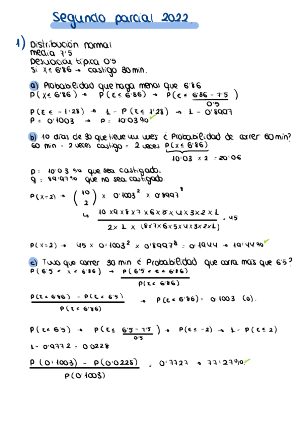
Segundo parcial de Estadistica

Imagen

He publicado nuevos apuntes de 1º Estadística Aplicada a la Biología: Toda-Estadistica.pdf

24 páginas

Segundo parcial de estadística del curso 24-25

2 páginas