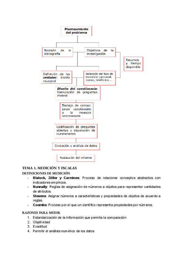
Estadística Aplicada a las Ciencias Sociales

chevron_left
chevron_right
Todo
Apuntes
Ejercicios
Exámenes
Otros
Prácticas
Test
chevron_left
chevron_right
Anónimo

@Anónimo

Primer año relaciones internacionales

24 páginas

He publicado nuevos apuntes de 1º Estadística Aplicada a las Ciencias Sociales: Nota-politica-del-discurso-de-Donald-Trump-2.pdf

2 páginas

He publicado nuevos apuntes de 1º Estadística Aplicada a las Ciencias Sociales: APUNTES-ESTADISTICA-APLICADA-A-LAS-CIENCIAS-SOCIALES.pdf

9 páginas

He publicado nuevos apuntes de 1º Estadística Aplicada a las Ciencias Sociales: Preguntas-del-Examen-de-Estadistica-Hechas.pdf

45 páginas

ejercicios

-

Todos los ejercicios de Carlos de la Puente Viedma

He publicado nuevos ejercicios de 1º Estadística Aplicada a las Ciencias Sociales: Todos los ejercicios de Carlos de la Puente Viedma

ejercicio-2-corto.docx
Ejercicio0132.docx
Ejercicio0231ParaRevision.docx
Ejercicio0232.docx
Ejercicio0232ParaRevision.docx
Ejercicio02A32.docx

apuntes

-

QQM BAES

For BAES students (nuevo grado sin comunidad)

TOPICS-89-SIMPLE-REGRESSION-WITH-OBSERVATIONAL-DATA.pdf
TOPIC-7-SIMPLE-REGRESSION-WITH-RCT-HOW-TO-TEST-HYPOTHESIS.pdf
TOPIC-6-THE-PATH-FROM-CAUSE-TO-EFFECT.pdf
TOPIC-5-DESCRIPTIVE-ANALYSIS.pdf
TOPIC-4-QUALITATIVE-DATA-ANALYSIS.pdf
TOPIC-3-QUALITATIVE-METHODS.pdf

He publicado nuevos otros de 1º Estadística Aplicada a las Ciencias Sociales: GUIA-DOCENTE-estadistica-aplicada-a-las-ciencias-sociales-prof.-francisca-blanco-.pdf

4 páginas

He publicado nuevos otros de 1º Estadística Aplicada a las Ciencias Sociales: GUIA-DOCENTE-estadistica-aplicada-a-las-ciencias-sociales-prof.-alberto-fernandez-lopez-1.pdf

2 páginas

He publicado nuevos apuntes de 1º Estadística Aplicada a las Ciencias Sociales: ESTADISTICA-Recuperado-automaticamente.pdf

7 páginas

He publicado nuevos apuntes de 1º Estadística Aplicada a las Ciencias Sociales: ESTADISTICA-APLICADA-A-LAS-CCSS.pdf

30 páginas

He publicado nuevos examenes de 1º Estadística Aplicada a las Ciencias Sociales: Ejercicios-resueltos-2.pdf

6 páginas

He publicado nuevos examenes de 1º Estadística Aplicada a las Ciencias Sociales: Ejercicios-resueltos-1.pdf

7 páginas
Anónimo

@Anónimo

He publicado nuevos apuntes de 1º Estadística Aplicada a las Ciencias Sociales: BLOQUE-III.-TABLAS-DE-CONTINGENCIA.pdf

4 páginas
Anónimo

@Anónimo

He publicado nuevos apuntes de 1º Estadística Aplicada a las Ciencias Sociales: BLOQUE-III.-ESTADISTICA-BIVARIADA.pdf

7 páginas
Anónimo

@Anónimo

He publicado nuevos apuntes de 1º Estadística Aplicada a las Ciencias Sociales: BLOQUE-II.-ESTADISTICA-DESCRIPTIVA-UNIVARIADA.pdf

6 páginas
Anónimo

@Anónimo

He publicado nuevos apuntes de 1º Estadística Aplicada a las Ciencias Sociales: BLOQUE-I.-ESTADISTICA-Y-MEDICION.pdf

4 páginas

apuntes completos con ejemplos

8 páginas

He publicado nuevos apuntes de 1º Estadística Aplicada a las Ciencias Sociales: ESTADISTICA.pdf

10 páginas

He publicado nuevos apuntes de 1º Estadística Aplicada a las Ciencias Sociales: APUNTES-ESTADISTICA210509185012-1.pdf

18 páginas

apuntes

-

Bloques de Estadística Aplicada

He publicado nuevos apuntes de 1º Estadística Aplicada a las Ciencias Sociales: Bloques de Estadística Aplicada

BLOQUE-I.docx
BLOQUE-II.docx
BLOQUE-III.docx
Anónimo

@Anónimo

test

-

Estadística (Francisca)

He publicado nuevos test de 1º Estadística Aplicada a las Ciencias Sociales: Estadística (Francisca)

EjerciciosBloqueII.pdf
test-2-sin-soluciones.docx
CUESTIONES-Y-PROBLEMAS-HOJA-3-REGRESION.pdf
Test-descrip.docx
TIPO-TEST-ESTADISTICA-DESCRIPTIVA-1.docx
miscelania.docx

De estas preguntas Paca hará los exámenes tipo test. Nunca los cambia

12 páginas

Teoría que completa a la práctica de la utilización del programa SPSS

21 páginas

He publicado nuevos practicas de 1º Estadística Aplicada a las Ciencias Sociales: PREGUNTAS PRACTICA FINAL (CON EJEMPLOS).docx

word
¡Estás al día!

¡Estás al día!

Has visto todos los archivos