chevron_left
chevron_right
Todo
Apuntes
Ejercicios
Exámenes
chevron_left
chevron_right

Apoyo de Adenda, Formulas y Tablas Estadísticas para la asignatura estadística básica de la UNED

49 páginas

Apoyo útil para la asignatura estadística básica de primer curso.

143 páginas

He publicado nuevos apuntes de 1º Estadística Básica: Libro-Estadistica-basica-con-R-by-Alfonso-Garcia-Perez-z-lib.org.pdf

322 páginas

He publicado nuevos apuntes de 1º Estadística Básica: CAPÍTULO 10. REGRESIÓN LINEAL Y CORRELACIÓN.pdf

4 páginas

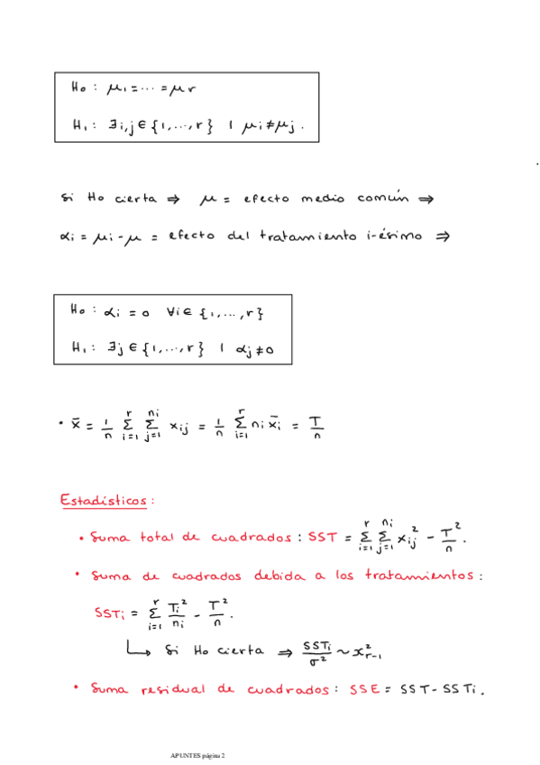
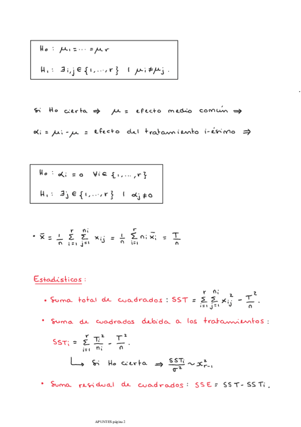
He publicado nuevos apuntes de 1º Estadística Básica: CAPÍTULO 9. ANÁLISIS DE LA VARIANZA.pdf

4 páginas

He publicado nuevos apuntes de 1º Estadística Básica: CAPÍTULO 8. CONTRASTES NO PARAMÉTRICOS.pdf

14 páginas

He publicado nuevos apuntes de 1º Estadística Básica: CAPÍTULO 7. CONTRASTE DE HIPÓTESIS.pdf

16 páginas

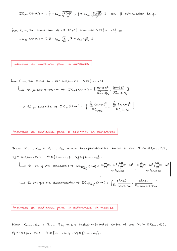
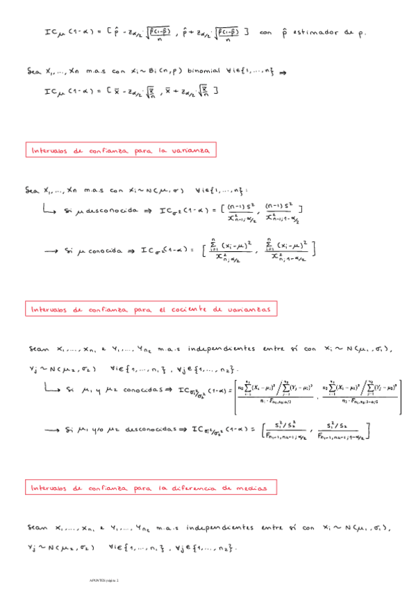
He publicado nuevos apuntes de 1º Estadística Básica: CAPÍTULO 6. INTERVALOS DE CONFIANZA.pdf

4 páginas

He publicado nuevos apuntes de 1º Estadística Básica: CAPÍTULO 2. ESTADÍSTICA DESCRIPTIVA.pdf

14 páginas

He publicado nuevos apuntes de 1º Estadística Básica: CAPÍTULO 3. PROBABILIDAD.pdf

4 páginas

He publicado nuevos apuntes de 1º Estadística Básica: CAPÍTULO 4. MODELOS PROBABILÍSTICOS.pdf

12 páginas

He publicado nuevos apuntes de 1º Estadística Básica: CAPÍTULO 5. ESTIMADORES. DISTRIBUCIÓN EN EL MUESTREO.pdf

7 páginas

He publicado nuevos apuntes de 1º Estadística Básica: CAPÍTULO 1. INTRODUCCIÓN AL R.pdf

10 páginas

He publicado nuevos examenes de 1º Estadística Básica: Estadistica-Basica-Septiembre-Curso-21-22.pdf

1 página

He publicado nuevos examenes de 1º Estadística Básica: Estadistica-Basica-Septiembre-Curso-18-19.pdf

1 página

He publicado nuevos examenes de 1º Estadística Básica: Estadistica-Basica-Segunda-Semana-Curso-22-23.pdf

1 página

He publicado nuevos examenes de 1º Estadística Básica: Estadistica-Basica-Segunda-Semana-Curso-21-22.pdf

1 página

He publicado nuevos examenes de 1º Estadística Básica: Estadistica-Basica-Segunda-Semana-Curso-19-20.pdf

1 página

He publicado nuevos examenes de 1º Estadística Básica: Estadistica-Basica-Segunda-Semana-Curso-18-19.pdf

1 página

He publicado nuevos examenes de 1º Estadística Básica: Estadistica-Basica-Primera-Semana-Curso-22-23.pdf

1 página

He publicado nuevos examenes de 1º Estadística Básica: Estadistica-Basica-Primera-Semana-Curso-21-22.pdf

1 página

He publicado nuevos examenes de 1º Estadística Básica: Estadistica-Basica-Primera-Semana-Curso-18-19.pdf

1 página

He publicado nuevos examenes de 1º Estadística Básica: Estadistica-Basica-Primera-Semana-Curso-19-20.pdf

1 página
Anónimo

@Anónimo

ejercicios

-

Libro de ejercicios

Libro problemas resueltos de estadística básica por temas.

Tema-1.pdf
tema-2.pdf
tema-3.pdf
tema5.pdf
tema4.pdf
Tema-8.pdf

He publicado nuevos apuntes de 1º Estadística Básica: Esquema-Estadistica-Basica.pdf

3 páginas

He publicado nuevos examenes de 1º Estadística Básica: 363547701-Examenes-Resueltos-Estadistica-Basica-UNED-2010-2017-1.pdf

125 páginas
Anónimo

@Anónimo

He publicado nuevos examenes de 1º Estadística Básica: 248429000-examen-final-estadistica-uc3m.pdf

5 páginas

He publicado nuevos apuntes de 1º Estadística Básica: medidas3.pdf

13 páginas

He publicado nuevos examenes de 1º Estadística Básica: Examenes Resueltos Estadística Básica con Videos Paso a Paso.pdf

1 página
Anónimo

@Anónimo

He publicado nuevos apuntes de 1º Estadística Básica: estadistica-2.pdf

4 páginas
Anónimo

@Anónimo

He publicado nuevos apuntes de 1º Estadística Básica: estadistica.pdf

4 páginas
Anónimo

@Anónimo

examenes

-

EXAMENES 18/19

He publicado nuevos examenes de 1º Estadística Básica: EXAMENES 18/19

Examencurso19202.pdf
curso1819.pdf

He publicado nuevos apuntes de 1º Estadística Básica: EstBas04ModProb.pdf

8 páginas

He publicado nuevos apuntes de 1º Estadística Básica: EstBas05Estimadores.pdf

10 páginas

He publicado nuevos apuntes de 1º Estadística Básica: EstBas8ContrastesNoParam.pdf

11 páginas

He publicado nuevos apuntes de 1º Estadística Básica: Ejercicios-evaluacion-continua.docx

word

He publicado nuevos apuntes de 1º Estadística Básica: Tema-I-Estadistica-basica-con-R.docx

word

apuntes

-

Proba Mercedes y Maria

He publicado nuevos apuntes de 1º Estadística Básica: Proba Mercedes y Maria

Curso de probabilidad por M. Olivares.pdf
Curso de Probalidad por M. Arriojas (2015).pdf
¡Estás al día!

¡Estás al día!

Has visto todos los archivos