Estadística Comercial

chevron_left
chevron_right
Todo
Apuntes
Ejercicios
Exámenes
chevron_left
chevron_right
Anónimo

@Anónimo

SALVAVIDAS

word

apuntes

-

Estadística Comercial

He publicado nuevos apuntes de 2º Estadística Comercial: Estadística Comercial

Apuntes-Estadistica-T1.pdf
Ejs-Estadistica-Hoja-1.pdf
Ejs-Estadistica-Hoja-2.pdf
Apuntes-Estadistica-T2.pdf
Apuntes-Estadistica-T3y4.pdf
Ejs-Estadistica-Hoja-3.pdf
Anónimo

@Anónimo

Tema 1 INFERENCIA ESTADÍSTICA Y COMERCIO

26 páginas

He publicado nuevos apuntes de 2º Estadística Comercial: UNIT-5.pdf

4 páginas

He publicado nuevos apuntes de 2º Estadística Comercial: UNIT-4.pdf

6 páginas

He publicado nuevos apuntes de 2º Estadística Comercial: UNIT-3.pdf

7 páginas

He publicado nuevos apuntes de 2º Estadística Comercial: UNIT-2.pdf

4 páginas

He publicado nuevos apuntes de 2º Estadística Comercial: UNIT-1.pdf

2 páginas

He publicado nuevos apuntes de 2º Estadística Comercial: Estadistica.pdf

4 páginas

He publicado nuevos apuntes de 2º Estadística Comercial: TAMAÑOS-DE-MUESTRA.pdf

1 página

He publicado nuevos apuntes de 2º Estadística Comercial: DISTRIBUCION-DE-POISSON.pdf

3 páginas

He publicado nuevos apuntes de 2º Estadística Comercial: DISTRIBUCION-NORMAL.pdf

1 página

He publicado nuevos apuntes de 2º Estadística Comercial: DISTRIBUCIONES-MUESTRALES.pdf

1 página
Anónimo

@Anónimo

He publicado nuevos apuntes de 2º Estadística Comercial: tema1-segunda-parte.pdf

7 páginas
Anónimo

@Anónimo

He publicado nuevos apuntes de 2º Estadística Comercial: tema5-primera-parte.pdf

6 páginas
Anónimo

@Anónimo

He publicado nuevos apuntes de 2º Estadística Comercial: tema5-segunda-parte.pdf

5 páginas
Anónimo

@Anónimo

He publicado nuevos apuntes de 2º Estadística Comercial: tema1-primera-parte.pdf

7 páginas
Anónimo

@Anónimo

He publicado nuevos apuntes de 2º Estadística Comercial: tema2-tercera-parte.pdf

6 páginas
Anónimo

@Anónimo

He publicado nuevos apuntes de 2º Estadística Comercial: tema2-primera-parte.pdf

7 páginas
Anónimo

@Anónimo

He publicado nuevos apuntes de 2º Estadística Comercial: tema3.pdf

4 páginas
Anónimo

@Anónimo

He publicado nuevos apuntes de 2º Estadística Comercial: tema2-segunda-parte.pdf

7 páginas
Anónimo

@Anónimo

He publicado nuevos apuntes de 2º Estadística Comercial: tema4-segunda-parte.pdf

5 páginas
Anónimo

@Anónimo

He publicado nuevos apuntes de 2º Estadística Comercial: tema4-primera-parte.pdf

7 páginas

He publicado nuevos apuntes de 2º Estadística Comercial: Tema-2.pdf

2 páginas

He publicado nuevos apuntes de 2º Estadística Comercial: T-3-.pdf

3 páginas

He publicado nuevos ejercicios de 2º Estadística Comercial: EJERCICIOS-ESTADISTICA.pdf

12 páginas

He publicado nuevos apuntes de 2º Estadística Comercial: Ejercicios-clase-y-examen resueltos.pdf

33 páginas

He publicado nuevos apuntes de 2º Estadística Comercial: Estadistica-t2.jpeg

Imagen

He publicado nuevos apuntes de 2º Estadística Comercial: Estadistica-t1.jpeg

Imagen

He publicado nuevos apuntes de 2º Estadística Comercial: Estadistica-t2.jpeg

Imagen

apuntes

-

Teoría Todos los Bloques - Estadística 2

He publicado nuevos apuntes de 2º Estadística Comercial: Teoría Todos los Bloques - Estadística 2

Bloque-1-Teoria.pdf
Bloque-2-Teoria.pdf
Bloque-3-Teoria-de-IC-y-Contrastes.pdf
Bloque-3-Teoria-Estimacion-Puntual.pdf
Bloque-1-Integrales.pdf

He publicado nuevos apuntes de 2º Estadística Comercial: Resumenes-stadistics.pdf

4 páginas

He publicado nuevos examenes de 2º Estadística Comercial: Examen-Diciembre-2021-Estadistica-Comercial.pdf

2 páginas

He publicado nuevos apuntes de 2º Estadística Comercial: Resumen-Tema-2-Estadistica-Comercial.pdf

3 páginas

He publicado nuevos examenes de 2º Estadística Comercial: Examen-Enero-2022-Estadistica-comercial.pdf

2 páginas

He publicado nuevos examenes de 2º Estadística Comercial: Examen-Enero-2021-Estadistica-comercial.pdf

1 página

He publicado nuevos apuntes de 2º Estadística Comercial: TRABAJO-FINAL.pdf

2 páginas

He publicado nuevos apuntes de 2º Estadística Comercial: enero-2020.-pregunta-4.pdf

5 páginas

He publicado nuevos apuntes de 2º Estadística Comercial: prueba-hoja-3.pdf

2 páginas

He publicado nuevos apuntes de 2º Estadística Comercial: CONTROL-DEL-TEMA-2-2019.pdf

4 páginas

He publicado nuevos apuntes de 2º Estadística Comercial: CONTROL-TEMA-1-2014.pdf

3 páginas

He publicado nuevos apuntes de 2º Estadística Comercial: HOJA-1.pdf

4 páginas

examenes

-

cuestionarios

He publicado nuevos examenes de 2º Estadística Comercial: cuestionarios

mas-preguntas.pdf
PREGUNTAS-TEST-ESTADISTICA-COMERCIAL.pdf
9.pdf
10.pdf
11.pdf
12.pdf

He publicado nuevos apuntes de 2º Estadística Comercial: Apuntes-Excel.pdf

6 páginas
Anónimo

@Anónimo

He publicado nuevos apuntes de 2º Estadística Comercial: 01-TEMA-1-concepto-y-division.pdf

5 páginas

He publicado nuevos apuntes de 2º Estadística Comercial: Estadistica-apuntes.pdf

26 páginas

examenes

-

EXAMEN FINAL ESTADISTICA COMERCIAL

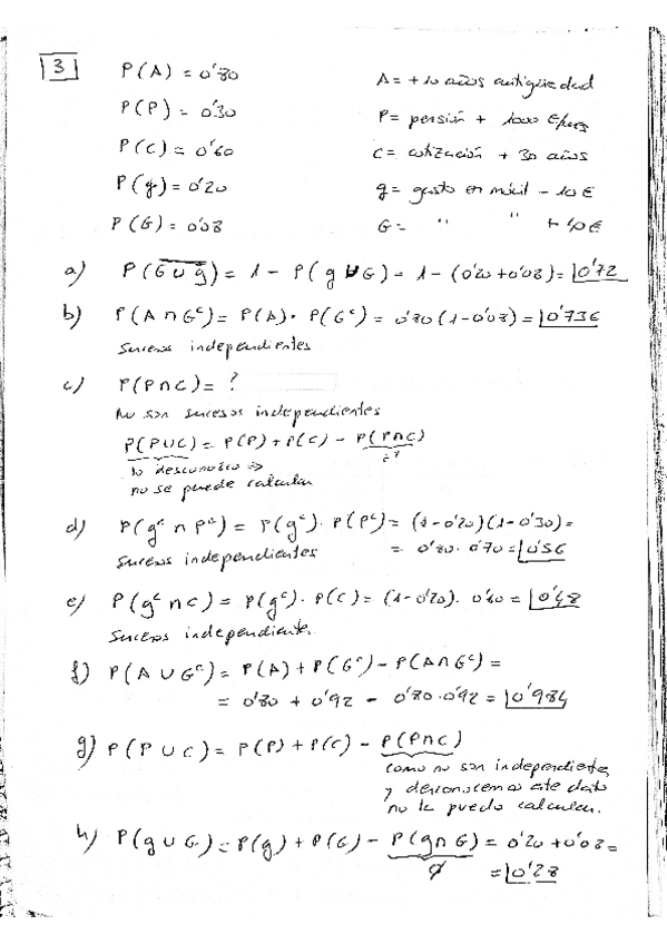
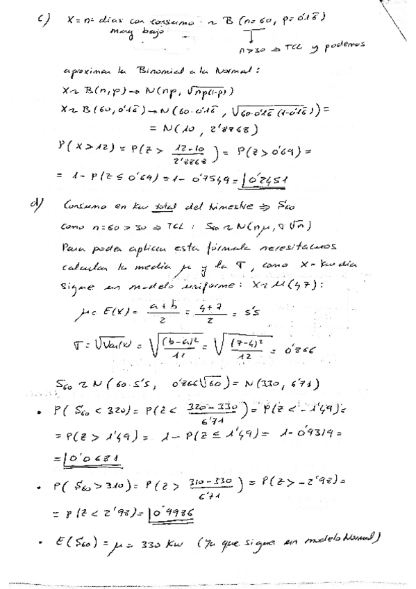
He publicado nuevos examenes de 2º Estadística Comercial: EXAMEN FINAL ESTADISTICA COMERCIAL

WhatsApp-Image-2021-01-21-at-18.jpg
WhatsApp-Image-2021-01-21-at-18.jpg
WhatsApp-Image-2021-01-21-at-18.jpg
WhatsApp-Image-2021-01-21-at-18.jpg
WhatsApp-Image-2021-01-21-at-18.jpg
WhatsApp-Image-2021-01-21-at-18.jpg

examenes

-

Cuestionarios resueltos

He publicado nuevos examenes de 2º Estadística Comercial: Cuestionarios resueltos

8.png
6.png
4.png
Doc1.docx
2.png
3.png
¡Estás al día!

¡Estás al día!

Has visto todos los archivos