Estadística Comercial

chevron_left
chevron_right
Todo
Apuntes
Exámenes
chevron_left
chevron_right
Anónimo

@Anónimo

SALVAVIDAS

word

He publicado nuevos apuntes de 2º Estadística Comercial: Ejercicios-clase-y-examen resueltos.pdf

33 páginas

apuntes

-

Teoría Todos los Bloques - Estadística 2

He publicado nuevos apuntes de 2º Estadística Comercial: Teoría Todos los Bloques - Estadística 2

Bloque-1-Teoria.pdf
Bloque-2-Teoria.pdf
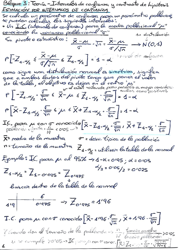
Bloque-3-Teoria-de-IC-y-Contrastes.pdf
Bloque-3-Teoria-Estimacion-Puntual.pdf
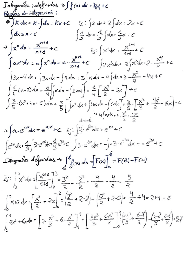
Bloque-1-Integrales.pdf

examenes

-

cuestionarios

He publicado nuevos examenes de 2º Estadística Comercial: cuestionarios

mas-preguntas.pdf
PREGUNTAS-TEST-ESTADISTICA-COMERCIAL.pdf
9.pdf
10.pdf
11.pdf
12.pdf

He publicado nuevos apuntes de 2º Estadística Comercial: Apuntes-Excel.pdf

6 páginas

He publicado nuevos apuntes de 2º Estadística Comercial: Estadistica-apuntes.pdf

26 páginas
¡Estás al día!

¡Estás al día!

Has visto todos los archivos