Estadística e Investigación Operativa

Todo
Apuntes
Ejercicios
Exámenes
Otros
chevron_left
chevron_right

apuntes

-

Examenes

He publicado nuevos apuntes de 1º Estadística e Investigación Operativa: Examenes

Segunda-convocatoria-24.pdf
Primera-Convo-24.pdf

apuntes

-

TEMAS RESUMIDOS ESTADISTICA

He publicado nuevos apuntes de 1º Estadística e Investigación Operativa: TEMAS RESUMIDOS ESTADISTICA

T1-TEORIA-DE-LA-PROBABILIDAD.pdf
T2-VARIABLE-ALEATORIA.pdf
T3-VA-DISCRETAS.pdf
T4-VA-CONTINUAS.pdf
T5-VA-VECTORIALES.pdf
T6-PROCESOS-ESTOCASTICOS.pdf

examenes

-

EJERCICIOS PROFESOR RESUELTO

He publicado nuevos examenes de 1º Estadística e Investigación Operativa: EJERCICIOS PROFESOR RESUELTO

EJERCICIOS-TEMA-1.pdf
EJERCICIOS-TEMA-2.pdf
EJERCICIOS-TEMA-3.pdf
EJERCICIOS-TEMA-4.pdf
EJERCICIOS-TEMA-5.pdf
EJERCICIOS-TEMA-6.pdf

examenes

-

EXAMENES RESUELTOS

He publicado nuevos examenes de 1º Estadística e Investigación Operativa: EXAMENES RESUELTOS

1o-CONVOCATORIA-17-18-RESUELTO.pdf
1o-CONVOCATORIA-20-21-RESUELTO.pdf
PARCIAL-19-20-RESUELTO.pdf
PARCIAL-20-21-RESUELTO.pdf

He publicado nuevos apuntes de 1º Estadística e Investigación Operativa: TEMA-TEORIA-DE-LA-PROBABILIDAD.pdf

12 páginas

apuntes

-

TEMARIO COMPLETO

He publicado nuevos apuntes de 1º Estadística e Investigación Operativa: TEMARIO COMPLETO

TEMA-4.pdf
TEMA-2.pdf
TEMA-3.pdf
TEMA-5.pdf
TEMA-6.pdf
TEMA-9.pdf

ejercicios

-

ejercicios tema 1 y 2 estadística

He publicado nuevos ejercicios de 1º Estadística e Investigación Operativa: ejercicios tema 1 y 2 estadística

ejercicios-propuestos-tema-1.pdf
ejercicios-propuestos-tema-2.pdf

He publicado nuevos apuntes de 1º Estadística e Investigación Operativa: Boletin-2-estadistica.pdf

10 páginas

examenes

-

exámenes estadística

He publicado nuevos examenes de 1º Estadística e Investigación Operativa: exámenes estadística

03062022.pdf
06092021.pdf
10062022.pdf
13092022.pdf
15122021.pdf
18062021.pdf

He publicado nuevos ejercicios de 1º Estadística e Investigación Operativa: ejercicios-de-estadistica.pdf

38 páginas

He publicado nuevos apuntes de 1º Estadística e Investigación Operativa: Apuntes-de-estadistica.pdf

9 páginas

He publicado nuevos ejercicios de 1º Estadística e Investigación Operativa: ejercicios-de-i.ode-clase-examenes-boletines.pdf

39 páginas

He publicado nuevos apuntes de 1º Estadística e Investigación Operativa: Apuntes-i.o.pdf

11 páginas

He publicado nuevos apuntes de 1º Estadística e Investigación Operativa: Examenmontaje.pdf

3 páginas
Anónimo

@Anónimo

examenes

-

EXAMENES RESUELTOS

He publicado nuevos examenes de 1º Estadística e Investigación Operativa: EXAMENES RESUELTOS

1o-CONVOCATORIA-2020-2021-RESUELTO.pdf
PARCIAL-2019-2020-RESUELTO.pdf
PARCIAL-2020-2021-RESUELTO.pdf
Anónimo

@Anónimo

ejercicios

-

EJERCICIOS RESUELTOS

He publicado nuevos ejercicios de 1º Estadística e Investigación Operativa: EJERCICIOS RESUELTOS

TEMA-1-EJERCICIOS-CLASE.pdf
TEMA-2-EJERCICIOS-CLASE.pdf
TEMA-3-EJERCICIOS-CLASE.pdf
TEMA-4-EJERCICIOS-CLASE.pdf
TEMA-5-EJERCICIOS-CLASE.pdf
TEMA-6-EJERCICIOS-CLASE.pdf
Anónimo

@Anónimo

apuntes

-

RESUMEN TEMA POR TEMA

He publicado nuevos apuntes de 1º Estadística e Investigación Operativa: RESUMEN TEMA POR TEMA

TEMA-1-RESUMEN.pdf
TEMA-2-RESUMEN.pdf
TEMA-3-RESUMEN.pdf
TEMA-4-RESUMEN.pdf
TEMA-5-RESUMEN.pdf
TEMA-6-RESUMEN.pdf

He publicado nuevos apuntes de 1º Estadística e Investigación Operativa: Formulario-extra.pdf

2 páginas

He publicado nuevos examenes de 1º Estadística e Investigación Operativa: examenes-resueltos.pdf

8 páginas

He publicado nuevos ejercicios de 1º Estadística e Investigación Operativa: Ejercicios-resueltos.pdf

12 páginas

He publicado nuevos apuntes de 1º Estadística e Investigación Operativa: Investigacion-Operativa.pdf

27 páginas

ejercicios

-

Boletines Completos

He publicado nuevos ejercicios de 1º Estadística e Investigación Operativa: Boletines Completos

LECCION-2.pdf
LECCION-3.pdf
LECCION-4.pdf
LECCION-5.pdf

examenes

-

EXAMENES RESUELTOS DE AÑOS ANTERIORES

He publicado nuevos examenes de 1º Estadística e Investigación Operativa: EXAMENES RESUELTOS DE AÑOS ANTERIORES

1o-CONVOCATORIA-2017-2018-RESUELTO.pdf
1o-CONVOCATORIA-2020-2021-RESUELTO.pdf
PARCIAL-2019-2020-RESUELTO.pdf
PARCIAL-2020-2021-RESUELTO.pdf

ejercicios

-

EJERCICIOS DE CLASE RESUELTOS

He publicado nuevos ejercicios de 1º Estadística e Investigación Operativa: EJERCICIOS DE CLASE RESUELTOS

TEMA-1-EJERCICIOS-CLASE.pdf
TEMA-2-EJERCICIOS-CLASE.pdf
TEMA-3-EJERCICIOS-CLASE.pdf
TEMA-4-EJERCICIOS-CLASE.pdf
TEMA-5-EJERCICIOS-CLASE.pdf
TEMA-6-EJERCICIOS-CLASE.pdf

apuntes

-

TEMAS RESUMIDOS (PARA APROBAR)

He publicado nuevos apuntes de 1º Estadística e Investigación Operativa: TEMAS RESUMIDOS (PARA APROBAR)

TEMA-1-RESUMEN.pdf
TEMA-2-RESUMEN.pdf
TEMA-3-RESUMEN.pdf
TEMA-4-RESUMEN.pdf
TEMA-5-RESUMEN.pdf
TEMA-6-RESUMEN.pdf

apuntes

-

examen i.o

He publicado nuevos apuntes de 1º Estadística e Investigación Operativa: examen i.o

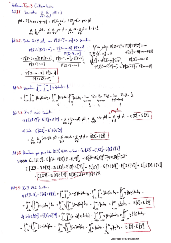
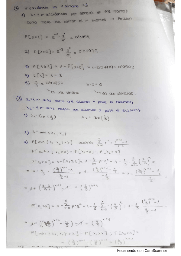
1parcialI.jpg
1parcialI.jpg

He publicado nuevos apuntes de 1º Estadística e Investigación Operativa: Esquema-de-Distribuciones.pdf

2 páginas

examenes

-

Estadística

He publicado nuevos examenes de 1º Estadística e Investigación Operativa: Estadística

Examen-parcial-estadistica-2022.pdf
Examen-parcial-estadistica-2022-RESUELTO-2.pdf
Anónimo

@Anónimo

He publicado nuevos apuntes de 1º Estadística e Investigación Operativa: ProblemasIO.pdf

7 páginas

apuntes

-

Apuntes y problemas resueltos

He publicado nuevos apuntes de 1º Estadística e Investigación Operativa: Apuntes y problemas resueltos

Apuntes-ejercicios-y-problemas-estadistica.pdf
Formulario-y-teoria-resumida-estadistica.pdf

apuntes

-

Ejercicios Resueltos, Teoría y Exámenes

He publicado nuevos apuntes de 1º Estadística e Investigación Operativa: Ejercicios Resueltos, Teoría y Exámenes

Resumenes.pdf
Ejercicios-Lecciones-Resueltos.pdf
Examenes.pdf
Lecciones-de-Teoria.pdf

He publicado nuevos apuntes de 1º Estadística e Investigación Operativa: Descargar-para-aprobar-TEMAS-1-7.pdf

57 páginas

apuntes

-

RESÚMENES/FORMULARIOS (actualiza)

He publicado nuevos apuntes de 1º Estadística e Investigación Operativa: RESÚMENES/FORMULARIOS (actualiza)

T3-Probabilidad.pdf
T2-Estadistica-descriptiva-bivariante.pdf
T1-Estadistica-descriptiva-univariante.pdf
T4-Variables-aleatorias.pdf
T6-Contrastes-de-hipotesis-para-una-poblacion.pdf
T5-Inferencia-parametrica.pdf

He publicado nuevos apuntes de 1º Estadística e Investigación Operativa: Ejercicios-RESUELTOS-de-clase.pdf

9 páginas

He publicado nuevos apuntes de 1º Estadística e Investigación Operativa: Resumen-de-TODO.pdf

4 páginas

apuntes

-

RESUMEN temario estadística

He publicado nuevos apuntes de 1º Estadística e Investigación Operativa: RESUMEN temario estadística

Tema-2.pdf
Tema-1.pdf
Tema-6.pdf
Tema-5.pdf

He publicado nuevos ejercicios de 1º Estadística e Investigación Operativa: activs-i.pdf

17 páginas

He publicado nuevos ejercicios de 1º Estadística e Investigación Operativa: actividades-i.pdf

17 páginas

He publicado nuevos apuntes de 1º Estadística e Investigación Operativa: problemas-estadistica.pdf

17 páginas

He publicado nuevos apuntes de 1º Estadística e Investigación Operativa: formulario.pdf

1 página

He publicado nuevos apuntes de 1º Estadística e Investigación Operativa: Tema-1.pdf

6 páginas

apuntes

-

Asignatura Completa

He publicado nuevos apuntes de 1º Estadística e Investigación Operativa: Asignatura Completa

Tema3CuestionesTeoricas.pdf
Tema1IntroduccionProbabilidad.pdf
Esquemas.pdf
ApuntesResumenesdeClase.pdf
Tema2VariableAleatoriaUnidimensional.pdf
ExamenesProblemasResueltos.pdf

He publicado nuevos ejercicios de 1º Estadística e Investigación Operativa: ejercicios-resueltos-explicados-IO.pdf

11 páginas

He publicado nuevos ejercicios de 1º Estadística e Investigación Operativa: ejercicios-resueltos-explicados-tema-1-6-estadistica.pdf

31 páginas

He publicado nuevos examenes de 1º Estadística e Investigación Operativa: PROBLEMAS-1-Y-2-.pdf

2 páginas

He publicado nuevos examenes de 1º Estadística e Investigación Operativa: PROBLEMAS-1-Y-2-.pdf

2 páginas

He publicado nuevos apuntes de 1º Estadística e Investigación Operativa: tema-2-io.pdf

12 páginas

apuntes

-

GUÍAS IMPRESCINDIBLES para IO

Paso a paso

Guía útil PASO A PASO para problemas de optimización
Esquema para el Modelado de Problemas.pdf
Guia-util-PASO-A-PASO-para-problemas-de-optimizacion-.pdf
Esquema-para-el-Modelado-de-Problemas.pdf
Anónimo

@Anónimo

apuntes

-

Resumen de teoría

He publicado nuevos apuntes de 1º Estadística e Investigación Operativa: Resumen de teoría

Temas-de-teoria.pdf
Teoria-IO.pdf
Anónimo

@Anónimo

He publicado nuevos examenes de 1º Estadística e Investigación Operativa: Formulario-examen.pdf

4 páginas
Anónimo

@Anónimo

He publicado nuevos examenes de 1º Estadística e Investigación Operativa: Examenes-resueltos.pdf

5 páginas

apuntes

-

Problemas y examenes resueltos

He publicado nuevos apuntes de 1º Estadística e Investigación Operativa: Problemas y examenes resueltos

Formulario-de-todos-los-temas.pdf
Examenes-2017-resueltos.pdf
Boletin-tema-3.pdf
Boletin-tema-1.pdf
Boletin-tema-5.pdf
Boletin-combinatoria.pdf
Anónimo

@Anónimo

apuntes

-

Formulario

He publicado nuevos apuntes de 1º Estadística e Investigación Operativa: Formulario

Formulario-1.pdf
Formulario-2.pdf
Formulario-3.pdf

apuntes

-

apuntes estadística

He publicado nuevos apuntes de 1º Estadística e Investigación Operativa: apuntes estadística

1introduccionalateoriadeprobabilidad.pdf
2variablealeatoriaunidimensional.pdf
5distribuciondevariablesaleatoriasdiscretas.pdf
7estimacionconfidencial.pdf
distribuciondevariablesaleatoriascontinuas.pdf

He publicado nuevos apuntes de 1º Estadística e Investigación Operativa: apuntes-investigacion-operativa.pdf

19 páginas

ejercicios

-

EjerciciosBoletin IO sueltos

He publicado nuevos ejercicios de 1º Estadística e Investigación Operativa: EjerciciosBoletin IO sueltos

IOBoletinpg2.pdf
IOBoletinpg6.pdf
IOBoletinpg7.pdf
IOBoletinpg3.pdf
IOBoletinpg4.pdf
IOBoletinpg8.pdf

ejercicios

-

EjerciciosResueltos IO 1al10

He publicado nuevos ejercicios de 1º Estadística e Investigación Operativa: EjerciciosResueltos IO 1al10

IOpg7.pdf
IOpg3.pdf
IOpg6.pdf
IOpg8.pdf
IOpg2.pdf
IOpg4.pdf