Estadística económica II

chevron_left
chevron_right
Todo
Apuntes
Ejercicios
Exámenes
Prácticas
chevron_left
chevron_right

He publicado nuevos apuntes de 2º Estadística económica II: Resumen-estadistica-2.pdf

10 páginas

Es el tema 1 de estadística II muy bien resumido y explicado, con ejemplos.

13 páginas

Es un mini resumen de los conceptos y fórmulas del tema 1 de estadística II

6 páginas

Son todos los ejercicios del tema 1 de estadística II

6 páginas

Es el tema 2 de estadística II muy bien resumido y explicado, con ejemplos.

9 páginas

Parcial de estadística II

2 páginas

Son todos los ejercicios del tema 2 de estadística II

7 páginas

Es el tema 3 de estadística II muy bien resumido y explicado, con ejemplos.

9 páginas

He publicado nuevos practicas de 2º Estadística económica II: Ejercicios-3-estadistica-II.pdf

1 página

Son todos los ejercicios del tema 3 de estadística II

7 páginas

Son todos los ejercicios del tema 4 de estadística II

10 páginas

Es el tema 5 de estadística II muy bien resumido y explicado, con ejemplos.

3 páginas

Es el tema 6 de estadística II muy bien resumido y explicado, con ejemplos.

2 páginas

Son todos los ejercicios de los temas 5y6 de estadística II

8 páginas

Examen final resuelto convocatoria mayo-junio 2024

2 páginas

Están de manera clara todas las fórmulas y cosas importantes de estadística II

4 páginas

apuntes

-

TEORÍA Y PRÁCTICAS ESTADÍSTICA II

He publicado nuevos apuntes de 2º Estadística económica II: TEORÍA Y PRÁCTICAS ESTADÍSTICA II

TEMA-5-y-6-Teoria-y-practicas.pdf
TEMA-1-Teoria-y-practicas.pdf
TEMA-2-y-3-Teoria-y-practicas.pdf
TEMA-4-Teoria-y-practicas.pdf

He publicado nuevos apuntes de 2º Estadística económica II: Examen-parcial.pdf

2 páginas

He publicado nuevos apuntes de 2º Estadística económica II: Examen2261Mayo20242oPractica.pdf

1 página

He publicado nuevos apuntes de 2º Estadística económica II: Examen2261Mayo2024R.pdf

1 página

He publicado nuevos examenes de 2º Estadística económica II: Examen2261Parcial.pdf

1 página

He publicado nuevos apuntes de 2º Estadística económica II: Conceptos-Estadistica.pdf

6 páginas

He publicado nuevos apuntes de 2º Estadística económica II: Resumen estadistica II.pdf

7 páginas

ejercicios

-

Ejercicios Est 2

Ejercicios variados de estadística

Ejer-Estadistica-2.pdf
Anónimo

@Anónimo

apuntes

-

tareas y examen excel

He publicado nuevos apuntes de 2º Estadística económica II: tareas y examen excel

TAREA-2-EXCEL.pdf
TAREA-1-EXCEL-1.pdf
EXAMEN-EXCEL-GRUPO-I.pdf
Anónimo

@Anónimo

He publicado nuevos apuntes de 2º Estadística económica II: TESTS-NO-PARAMETRICOS.pdf

23 páginas
Anónimo

@Anónimo

He publicado nuevos ejercicios de 2º Estadística económica II: SOLUCIONES-RELACION-3.pdf

12 páginas
Anónimo

@Anónimo

He publicado nuevos apuntes de 2º Estadística económica II: DEFINICIONES-ESTADISTICA-II.pdf

3 páginas

He publicado nuevos examenes de 2º Estadística económica II: Examen-parcial-resuelto.pdf

10 páginas

apuntes

-

Definiciones Estadística

He publicado nuevos apuntes de 2º Estadística económica II: Definiciones Estadística

Definiciones-Estadistica.pdf
Conceptos-1.pdf

apuntes

-

Cosas variadas estadística II

He publicado nuevos apuntes de 2º Estadística económica II: Cosas variadas estadística II

Tablas-Estadistica-buenas.pdf

apuntes

-

Estadística económica II

He publicado nuevos apuntes de 2º Estadística económica II: Estadística económica II

Definiciones-1.pdf
Practica-2-1-1.xlsx

apuntes

-

Tablas estadísticas

He publicado nuevos apuntes de 2º Estadística económica II: Tablas estadísticas

TablasdeladistribucionBinomial.pdf
Resumendedistribuciones.pdf
TablasdeladistribucionNormal.pdf
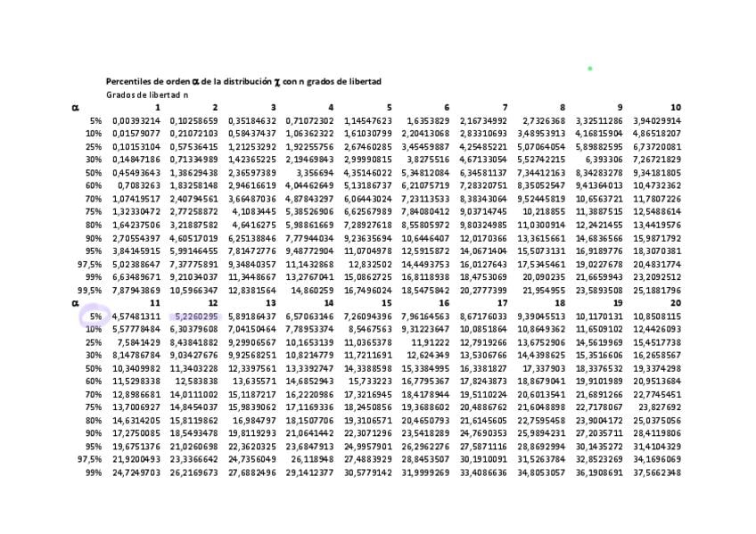
Percentilesdeladistribucionjicuadrado.pdf
PercentilesdelaFdeSnedecor.pdf
PercentilesdelatdeStudent.pdf

practicas

-

Temas y prácticas estadística

He publicado nuevos practicas de 2º Estadística económica II: Temas y prácticas estadística

Soluciones-adelantadas-Practica-4.pdf
Tabla-funciones-Excel-para-prueba.pdf
tablas-Kolmogorov-y-Lilliefors.pdf
Relacion42261.pdf
Relacion22261.pdf
tablasICyCH.pdf
Anónimo

@Anónimo

examenes

-

Exámenes estadística económica II

He publicado nuevos examenes de 2º Estadística económica II: Exámenes estadística económica II

Examen 1_Estadística II.pdf
exámenes estadística_licenciatura_enunciados.pdf
Examen 2_Estadística II.pdf
¡Estás al día!

¡Estás al día!

Has visto todos los archivos