Todo
Apuntes
chevron_left
chevron_right

apuntes

-

PLATAFORMA TEST GRATIS

Accede a nuestra plataforma tipo test GRATIS donde podrás practicar el examen de Estadística Empresarial I con preguntas de exámenes de años anteriores

Tests-URJC.jpg
Miniatura no disponible
https://proxusacademy.com/link/6772d7e7bdde1486539f4f94

apuntes

-

solución problemas estadística 1

He publicado nuevos apuntes de 3º Estadística Empresarial I: solución problemas estadística 1

Soluciones-problemas-VIII.pdf
Soluciones-Problemas-I.pdf
Soluciones-Problemas-II.pdf
Soluciones-problemas-IV.pdf
Soluciones-problemas-IX.pdf
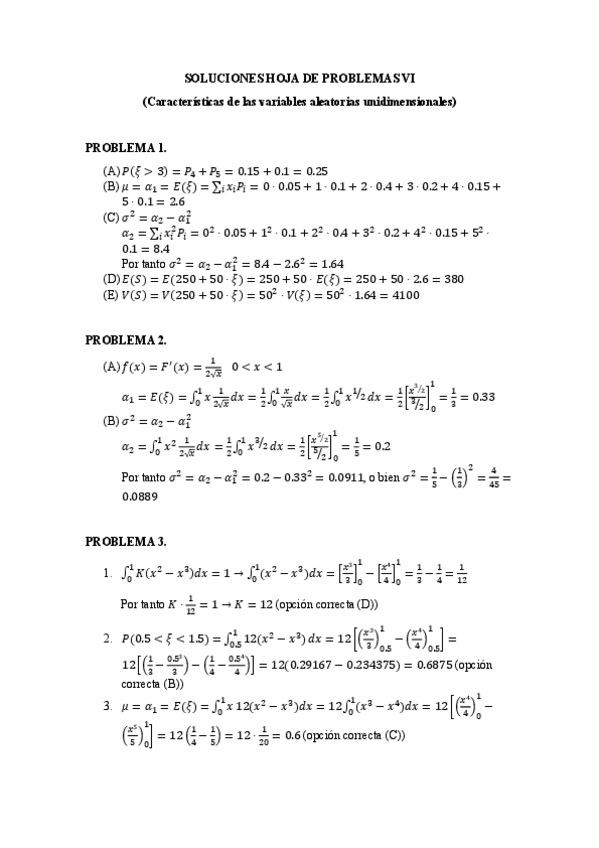
Soluciones-problemas-VI.pdf

apuntes

-

problemas estadística 1

He publicado nuevos apuntes de 3º Estadística Empresarial I: problemas estadística 1

Problemas-VIII.pdf
Problemas-I.pdf
Problemas-IV.pdf
Problemas-II.pdf
Problemas-V.pdf
Problemas-VI.pdf
¡Estás al día!

¡Estás al día!

Has visto todos los archivos