chevron_left
chevron_right
Todo
Apuntes
Ejercicios
Exámenes
chevron_left
chevron_right

Todos los ejercicios de todos los temas

75 páginas

Apuntes y ejercicios tema 4

29 páginas

Apuntes y ejercicios tema 3

32 páginas

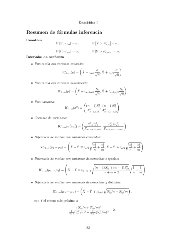
He publicado nuevos apuntes de 2º Estadística I: Todas-las-formulas-intervalos-de-confianza.pdf

14 páginas

Apuntes y ejercicios tema 2

43 páginas

Apuntes y ejercicios tema 1

43 páginas

Resumen y adaptación de los apuntes proporcionados por el profesor. Incluye cosas externas al curso, además de un resumen visual de los dos últimos temas.

38 páginas
Anónimo

@Anónimo

Formulario estadística I

2 páginas
¡Estás al día!

¡Estás al día!

Has visto todos los archivos