Estadística I

chevron_left
chevron_right
Todo
Apuntes
Ejercicios
Exámenes
Prácticas
chevron_left
chevron_right

He publicado nuevos ejercicios de 3º Estadística I: Practicas-Estadistica-I.pdf

37 páginas

ejercicios

-

Ejercicios 24-25

He publicado nuevos ejercicios de 3º Estadística I: Ejercicios 24-25

Hoja-2-Estadistica.pdf
Hoja-5-Estadistica.pdf
Hoja-4-Estadistica.pdf
Hoja-1-Estadistica.pdf
Hoja-3-Estadistica.pdf

examenes

-

examenes de este año wow

He publicado nuevos examenes de 3º Estadística I: examenes de este año wow

Parcial1202425MatSOL.pdf
Parcial2202425MatEstISOL.pdf
FinalOrd202425Mat-3.pdf
Estadistica-I-Final-20-enero-2025-SOL-8.pdf
FinalExtra202425Mat-SOL.pdf

apuntes

-

Teoría-Estadística I

He publicado nuevos apuntes de 3º Estadística I: Teoría-Estadística I

Teoria-Tema-5.pdf
Teoria-Temas-1-2.pdf
Teoria-Temas-3-4.pdf

apuntes

-

RESUMEN23/24

He publicado nuevos apuntes de 3º Estadística I: RESUMEN23/24

COMANDOS-R.pdf
RESUMEN-3.pdf
RESUMEN-1.pdf
RESUMEN-2.pdf
Aclaracionesresumen.pdf

examenes

-

Examenes. Todos.

He publicado nuevos examenes de 3º Estadística I: Examenes. Todos.

Examen-extraordinario2013-2014solucionesbis.pdf
Examen-extraordinario2015-2016enunciados.pdf
Examen-extraordinario2017-2018enunciados.pdf
Examen-extraordinario2018-2019enunciados.pdf
Examen-extraordinario2021-2022enunciados.pdf
Examen-ordinario2012-2013soluciones-2.pdf

Hoja 5 resuelta

14 páginas

ejercicios

-

Hojas Resueltas 2023-2024

He publicado nuevos ejercicios de 3º Estadística I: Hojas Resueltas 2023-2024

Hoja-1.pdf
Hoja-2.pdf
Hoja-3.pdf
Hoja-4.pdf
Hoja-5.pdf

examenes

-

EXÁMENES CON SOLUCIONES 2023/2024

He publicado nuevos examenes de 3º Estadística I: EXÁMENES CON SOLUCIONES 2023/2024

PARCIAL-1SOLUCIONES-Y-ENUNCIADOS-202324.pdf
PARCIAL-2SOLUCIONES-Y-ENUNCIADOS-202324.pdf
ORDINARIASOLO-ENUNCIADOS-202324.pdf
ORDINARIASOLUCIONES-202324.pdf
EXTRAORDINARIASOLUCIONES-Y-ENUNCIADOS-202324.pdf

He publicado nuevos apuntes de 3º Estadística I: APUNTESRESUMEN-ESTADISTICA.pdf

33 páginas

apuntes

-

TEORIA23/24

He publicado nuevos apuntes de 3º Estadística I: TEORIA23/24

APUNTES-LIMPIO-T4.pdf
APUNTES-LIMPIO-T1-T3.pdf
APUNTES-LIMPIO-T5.pdf
APUNTES-LIMPIO-T1.pdf
APUNTES-LIMPIO-T3.pdf
APUNTES-LIMPIO-T2.pdf

ejercicios

-

Hojas de ejs estadistica I

He publicado nuevos ejercicios de 3º Estadística I: Hojas de ejs estadistica I

Hoja-1.-Estadistica-I-1.pdf
Hoja-5.-Estadistica-I.pdf
Hoja-4.-Estadistica-I.pdf
Hoja-3.-Estadistica-I.pdf
Hoja-2.-Estadistica-I.pdf

apuntes

-

Temas Estadistica I

He publicado nuevos apuntes de 3º Estadística I: Temas Estadistica I

Tema-1.-Estadistica-I.pdf
Tema-2.-Estadistica-I..pdf
Tema-3.-Estadistica-I..pdf
Tema-4.-Estadistica-I.pdf
Tema-5.-Estadistica-I..pdf

He publicado nuevos examenes de 3º Estadística I: FinalBerrenderoEnunciado.pdf

3 páginas

He publicado nuevos examenes de 3º Estadística I: FinalBerrendero-Soluciones.pdf

3 páginas

ejercicios

-

TODOSLOSEJS23/24

He publicado nuevos ejercicios de 3º Estadística I: TODOSLOSEJS23/24

hoja5ejs.pdf
hoja4ejs.pdf
hoja3ejs.pdf
hoja-1ejs.pdf
hoja2ejs.pdf

He publicado nuevos examenes de 3º Estadística I: Parcial1Berrenderoenunciados.pdf

2 páginas

He publicado nuevos examenes de 3º Estadística I: Parcial2Berrenderoenunciados.pdf

2 páginas

He publicado nuevos apuntes de 3º Estadística I: Soluciones-Parcial-2-EST-2023-24.pdf

5 páginas

He publicado nuevos apuntes de 3º Estadística I: Soluciones-Parcial-1-EST-2023-24.pdf

4 páginas

ejercicios

-

Soluciones hojas de ejercicios 2023-24

He publicado nuevos ejercicios de 3º Estadística I: Soluciones hojas de ejercicios 2023-24

Hoja-4-est.pdf
Hoja-1-est.pdf
Hoja-2-EST.pdf
Hoja-3-est.pdf
Hoja-5-est.pdf

apuntes

-

Apuntes de clase 2023-24

He publicado nuevos apuntes de 3º Estadística I: Apuntes de clase 2023-24

Tema-1-Estadistica-descriptiva.pdf
Tema-2-Muestreo-aleatorio.pdf
Tema-4-Intervalos-de-confianza.pdf
Tema-5-contraste-de-hipotesis.pdf
Tema-3-Estimacion-puntual.pdf

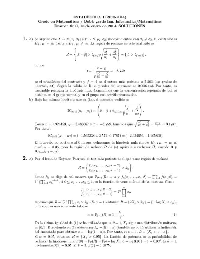
He publicado nuevos examenes de 3º Estadística I: EXAMEN-FINAL-ESTAD-2014.pdf

4 páginas

He publicado nuevos examenes de 3º Estadística I: EXAMEN-FINAL-ESTAD-2013.pdf

6 páginas

He publicado nuevos examenes de 3º Estadística I: EXAMEN-PARCIAL-ESTAD-2014-RESUELTO.pdf

3 páginas

He publicado nuevos examenes de 3º Estadística I: EXAMEN-EXTRAORD-ESTAD-2013.pdf

6 páginas

He publicado nuevos examenes de 3º Estadística I: EXAMEN-PARCIAL-ESTAD-2008-RESUELTO.pdf

2 páginas

He publicado nuevos examenes de 3º Estadística I: EXAMEN-FINAL-ESTAD-2018.pdf

2 páginas

He publicado nuevos examenes de 3º Estadística I: EXAMEN-PARCIAL-ESTAD-2017-RESUELTO.pdf

3 páginas

He publicado nuevos examenes de 3º Estadística I: EXAMEN-PARCIAL-ESTAD-2018.pdf

2 páginas

He publicado nuevos examenes de 3º Estadística I: EXAMEN-FINAL-ESTAD-2020.pdf

2 páginas

He publicado nuevos examenes de 3º Estadística I: EXAMEN-PARCIAL-ESTAD-2019-RESUELTO.pdf

2 páginas

He publicado nuevos apuntes de 3º Estadística I: Resumen-Parcial-1.pdf

2 páginas

He publicado nuevos apuntes de 3º Estadística I: FlashCards-Resumen-Estadística-I.pdf

24 páginas
Anónimo

@Anónimo

examenes

-

Parciales Soluciones 2022/23

He publicado nuevos examenes de 3º Estadística I: Parciales Soluciones 2022/23

Sol-parcial-14dic-22.pdf
Sol-parcial-26oct-22.pdf
Anónimo

@Anónimo

examenes

-

Final Resuelto 2022/23

He publicado nuevos examenes de 3º Estadística I: Final Resuelto 2022/23

est1-ex-ene-2223.pdf
est1-ex-ene-2223SOL.pdf
Anónimo

@Anónimo

apuntes

-

Diapositivas

He publicado nuevos apuntes de 3º Estadística I: Diapositivas

Tema1.pdf
Tema2.pdf
Tema3.pdf
Tema4.pdf
Tema5.pdf

apuntes

-

Apuntes Estadística 2022/23

He publicado nuevos apuntes de 3º Estadística I: Apuntes Estadística 2022/23

Tema-1-E.pdf
Tema-2-EI.pdf
Tema-3-EI.pdf
Tema-4-EI.pdf
Tema-5-EI.pdf

ejercicios

-

Ejercicios hechos en clase

He publicado nuevos ejercicios de 3º Estadística I: Ejercicios hechos en clase

Hoja-1-EI.pdf
Hoja-2-EI.pdf
Hoja-5A-EI.pdf
Hoja-5B-EI.pdf
Hoja-3-EI.pdf
Hoja-4-EI.pdf

He publicado nuevos examenes de 3º Estadística I: Primer-Parcial.pdf

1 página

ejercicios

-

Ejercicios 2021-2022

He publicado nuevos ejercicios de 3º Estadística I: Ejercicios 2021-2022

HOJA-1R.pdf
HOJA 1

apuntes

-

Apuntes 2021-2022

He publicado nuevos apuntes de 3º Estadística I: Apuntes 2021-2022

Tema-1-Estadistica.pdf
DIAPOSITIVAS-TEMA-3.pdf
TEMA-4-DIAPOSITIVAS.pdf
TEMA-5-DIAPOSITIVAS.pdf
Tema-2-Estadistica-.pdf
Anónimo

@Anónimo

ejercicios

-

EJERCICIOS 2022 SIN ENUNCIADOS

He publicado nuevos ejercicios de 3º Estadística I: EJERCICIOS 2022 SIN ENUNCIADOS

HOJA-5.pdf
HOJA-2.pdf
HOJA-4.pdf
HOJA-1.pdf
HOJA-3.pdf

apuntes

-

Tablas y Formularios

He publicado nuevos apuntes de 3º Estadística I: Tablas y Formularios

est-tablas-continuas.pdf
est-tablas-discretas.pdf
est1-formulas.pdf
formulario.pdf

apuntes

-

Resumenes ESTADÍSTICA

He publicado nuevos apuntes de 3º Estadística I: Resumenes ESTADÍSTICA

Apuntes-R.pdf
Tips-T5-T4-T3.pdf
T5-CONTRASTES.pdf
T2-MUESTREO.pdf
T4-INTERVALOS-DE-CONFIANZA.pdf
T3-ESTIMADORES.pdf

apuntes

-

Diapositivas con anotaciones ESTADÍSTICA

He publicado nuevos apuntes de 3º Estadística I: Diapositivas con anotaciones ESTADÍSTICA

Tema3-Estadistica.pdf
Tema2-Estadistica.pdf
Tema4-Estadistica.pdf
Tema5-Estadistica.pdf
Tema1-Estadistica.pdf

ejercicios

-

Ejs Hojas Soluciones

He publicado nuevos ejercicios de 3º Estadística I: Ejs Hojas Soluciones

est1-prob3-2122.pdf
est1-prob2-2122.pdf
est1-prob5b-2122.pdf
est1-prob1-2122.pdf
est1-prob4-2122.pdf
est1-prob5a-2122.pdf
Anónimo

@Anónimo

examenes

-

Examen final 21-22 con soluciones

He publicado nuevos examenes de 3º Estadística I: Examen final 21-22 con soluciones

Final21-22.pdf
est1-ex-enero-2122SOL.pdf
Anónimo

@Anónimo

He publicado nuevos examenes de 3º Estadística I: Parcial2202122DGSOL.pdf

2 páginas
Anónimo

@Anónimo

He publicado nuevos examenes de 3º Estadística I: est1-control2-21.pdf

1 página
Anónimo

@Anónimo

He publicado nuevos examenes de 3º Estadística I: est1-control1-21.pdf

2 páginas
Anónimo

@Anónimo

He publicado nuevos apuntes de 3º Estadística I: Parcial1202122DGSOL.pdf

3 páginas
Anónimo

@Anónimo

He publicado nuevos apuntes de 3º Estadística I: Resumen-Estadistica.pdf

6 páginas
Anónimo

@Anónimo

apuntes

-

Examenes 2020 Estadistica I

He publicado nuevos apuntes de 3º Estadística I: Examenes 2020 Estadistica I

FinalEXTRA2021.pdf
FinalORD2021.pdf

apuntes

-

Estadística 1

He publicado nuevos apuntes de 3º Estadística I: Estadística 1

Estadistica-I.pdf
Estadistica-Ejercicios.pdf
Estadistica-Resumen.pdf

examenes

-

Examenes parciales resueltos 2017

He publicado nuevos examenes de 3º Estadística I: Examenes parciales resueltos 2017

ex-parcial1-sol_EstadI-17-18.pdf
ex-parcial2-sol_EstadI-17-18.pdf
Anónimo

@Anónimo

He publicado nuevos practicas de 3º Estadística I: ej Est 1 (2).pdf

12 páginas
Anónimo

@Anónimo

He publicado nuevos practicas de 3º Estadística I: ej Est 1 (1).pdf

21 páginas

examenes

-

Exámenes (resueltos y No Resueltos)

He publicado nuevos examenes de 3º Estadística I: Exámenes (resueltos y No Resueltos)

Parcial_2013_14_DobleGrado.pdf
Parcial_2013_14_DobleGradoSOL.pdf
Parcial_2013_14_GradoMat.pdf
Parcial_2013_14_GradoMatSOL.pdf
Sol-ex-10enero-final-2013.pdf
Sol-ex-14junio-final-2013.pdf

examenes

-

Exámenes (resueltos y No Resueltos)

He publicado nuevos examenes de 3º Estadística I: Exámenes (resueltos y No Resueltos)

EstI-ex-10enero-final-2013.pdf
EstI-ex-14junio-2013.pdf
EstI-ex-18enero-final-2014.pdf
EstI-ex-18enero-final-2014SOL.pdf
EstI-ex-18junio-final-2014.pdf
EstI-ex-18junio-final-2014SOL.pdf