chevron_left
chevron_right
Todo
Apuntes
Ejercicios
Exámenes
chevron_left
chevron_right

examenes

-

Exámenes Corregidos Estadística

5 Exámenes CORREGIDOS de Desarrollo Teórico + Índice de Contenidos

UDCADEexamenC3.pdf
UDCADEexamenC4.pdf
UDCADEexamenC5.pdf
UDCADEindiceC.pdf
UDCADEexamenC1.pdf
UDCADEexamenC2.pdf

He publicado nuevos examenes de 1º Estadística I: final-primer-parcial-estadistica-1-2018.pdf

2 páginas

He publicado nuevos examenes de 1º Estadística I: prueba-estadistica-1-temas-1-y-2.pdf

2 páginas

He publicado nuevos examenes de 1º Estadística I: examen-temas-5-y-6-estadistica-1.pdf

2 páginas

He publicado nuevos examenes de 1º Estadística I: final-primer-parcial-estadistica-1-2021.pdf

2 páginas

He publicado nuevos examenes de 1º Estadística I: final-segundo-parcial-estaditica-1.pdf

2 páginas

He publicado nuevos examenes de 1º Estadística I: estadistica-primer-parcial-junio-2018.pdf

2 páginas

ejercicios del boletín de clase

3 páginas

ejercicios del boletín de clase

4 páginas

ejercicios del boletín de clase

5 páginas

ejercicios del boletín de clase

4 páginas

ejercicios del boletín de clase

5 páginas

ejercicios del boletín de clase

3 páginas

He publicado nuevos ejercicios de 1º Estadística I: ejercicios-examen-julio-2022-y-2023.pdf

2 páginas

He publicado nuevos ejercicios de 1º Estadística I: EJERCICIOS-EXAMEN-2018.pdf

2 páginas

He publicado nuevos ejercicios de 1º Estadística I: ejercicios-varios-de-examen.pdf

8 páginas
Anónimo

@Anónimo

He publicado nuevos examenes de 1º Estadística I: PARCIAL-ESTADISTICA1.pdf

3 páginas

He publicado nuevos examenes de 1º Estadística I: 20-21Examen-primera-oportunidad-resuelto.pdf

10 páginas

apuntes

-

Estadística I

He publicado nuevos apuntes de 1º Estadística I: Estadística I

Tema-3..pdf
Tema-4..pdf
T1-estadistica.pdf
T2-estadistica.pdf
T5-estadistica.pdf
T6-estadistica.pdf

He publicado nuevos apuntes de 1º Estadística I: temario-estadistica-2o-parte.pdf

77 páginas

He publicado nuevos apuntes de 1º Estadística I: temario estadística 1º parte.pdf

132 páginas

apuntes

-

Resumen temas

Resúmenes de la asignatura con las formulas realizadas a ordenador

Tema-1.pdf
Tema-2.pdf
Tema-3.pdf
Tema-4.pdf
Tema-5.pdf
Tema-6.pdf

He publicado nuevos ejercicios de 1º Estadística I: Lesson-1Basic-exercises.pdf

2 páginas

He publicado nuevos ejercicios de 1º Estadística I: Lesson-2Basic-exercises.pdf

2 páginas

He publicado nuevos ejercicios de 1º Estadística I: Lesson-3Basic-exercises.pdf

2 páginas

He publicado nuevos ejercicios de 1º Estadística I: Lesson-4Basic-exercises.pdf

2 páginas

He publicado nuevos ejercicios de 1º Estadística I: Lesson-1Solved-exercises.pdf

6 páginas

He publicado nuevos ejercicios de 1º Estadística I: Lesson-7Basic-exercises.pdf

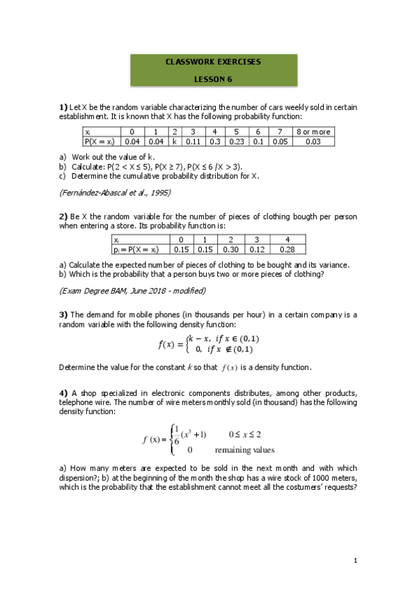
1 página

He publicado nuevos ejercicios de 1º Estadística I: Lesson-6Basic-exercises.pdf

2 páginas

He publicado nuevos ejercicios de 1º Estadística I: Lesson-5Basic-exercises.pdf

2 páginas

He publicado nuevos ejercicios de 1º Estadística I: ENUNCIADOS-EJERCICIOS-TEMA-7.pdf

1 página

He publicado nuevos ejercicios de 1º Estadística I: ENUNCIADOS-EJERCICIOS-TEMA-6.pdf

2 páginas

He publicado nuevos ejercicios de 1º Estadística I: ENUNCIADOS-EJERCICIOS-TEMA-5.pdf

2 páginas

He publicado nuevos examenes de 1º Estadística I: examenes-anteriores-ADE-anos-2021-y-2022.pdf

10 páginas

He publicado nuevos examenes de 1º Estadística I: examen-resuelto-ADE-junio2018.pdf

9 páginas

He publicado nuevos apuntes de 1º Estadística I: temas-y-ejercicios-del-5-al-8.pdf

75 páginas

apuntes

-

TEMARIO ESTADÍSTICA I

He publicado nuevos apuntes de 1º Estadística I: TEMARIO ESTADÍSTICA I

ejercicios-tema8-21-22resueltos.pdf

He publicado nuevos apuntes de 1º Estadística I: lesson-4Statistics-I2022-1.pdf

18 páginas

He publicado nuevos apuntes de 1º Estadística I: ejercicios-resueltos-tema32122.pdf

3 páginas

He publicado nuevos apuntes de 1º Estadística I: lesson-3Statistics-I2022.pdf

24 páginas

He publicado nuevos apuntes de 1º Estadística I: lesson-1Statistics-I2022.pdf

33 páginas

He publicado nuevos apuntes de 1º Estadística I: lesson-2Statistics-I2022.pdf

22 páginas

He publicado nuevos apuntes de 1º Estadística I: Temas-y-ejer-1-4.pdf

130 páginas

He publicado nuevos apuntes de 1º Estadística I: Apuntes-1a-parte-de-estadisitca.pdf

9 páginas
Anónimo

@Anónimo

He publicado nuevos examenes de 1º Estadística I: Examen-Estadi-3.pdf

2 páginas
Anónimo

@Anónimo

examenes

-

Examen Estadi

He publicado nuevos examenes de 1º Estadística I: Examen Estadi

Examen-Estadi-1.pdf
Examen-Estadi-2.pdf
Anónimo

@Anónimo

examenes

-

Examen Estadistica I

He publicado nuevos examenes de 1º Estadística I: Examen Estadistica I

Examen-Estadi.pdf
Anónimo

@Anónimo

apuntes

-

ESTADÍSTICA

He publicado nuevos apuntes de 1º Estadística I: ESTADÍSTICA

ejercicios-tema6-21-22.pdf
teoriatema6-2122.pdf
teoriatema5-21-22-1.pdf
teoriatema7-2122-1.pdf
ejercicios-tema5-21-22.pdf
ejercicios-tema7-21-22.pdf

apuntes

-

Ejercicios resueltos temas 2 a 7

He publicado nuevos apuntes de 1º Estadística I: Ejercicios resueltos temas 2 a 7

EJ.pdf
EJ.pdf
EJ.pdf
EJ.pdf
EJ.pdf
EJ.pdf

apuntes

-

Enunciados ejercicios temas 5,6,7,8

He publicado nuevos apuntes de 1º Estadística I: Enunciados ejercicios temas 5,6,7,8

ENUNCIADOS-EJERCICIOS-TEMA-6.pdf
ENUNCIADOS-EJERCICIOS-TEMA-5.pdf
ENUNCIADOS-EJERCICIOS-TEMA-7.pdf
ENUNCIADOS-EJERCICIOS-TEMA-8.pdf

apuntes

-

Teoría temas 1,2,3,4

He publicado nuevos apuntes de 1º Estadística I: Teoría temas 1,2,3,4

TEMA-4.pdf
TEMA-3.pdf
TEMA-1.pdf
TEMA-2.pdf

apuntes

-

Enunciados ejercicio temas 1,2,3,4

He publicado nuevos apuntes de 1º Estadística I: Enunciados ejercicio temas 1,2,3,4

ENUNCIADOS-EJERCICIOS-TEMA-4.pdf
ENUNCIADOS-EJERCICIOS-TEMA-3.pdf
ENUNCIADOS-EJERCICIOS-TEMA-1-3.pdf
ENUNCIADOS-EJERCICIOS-TEMA-2-4.pdf

apuntes

-

Resúmenes de la Asignatura

He publicado nuevos apuntes de 1º Estadística I: Resúmenes de la Asignatura

Tema 4 - Análisis de datos temporales.pdf
Tema 2 - Análisis de datos multidimensionales.pdf
Tema 5 - Modelos de probabilidad univariantes.pdf
Tema 3 - Análisis de regresión.pdf
Tema 6 - Modelos de probabilidad univariantes específicos.pdf
Tema 1 - Análisis de datos transversales.pdf

He publicado nuevos examenes de 1º Estadística I: Exámenes 1º y 2º Parcial Estadística I 2014 Mayo y Julio.pdf

11 páginas

apuntes

-

Temas Teóricos Completos (temas 1, 2, 3, 4, 5, 6, 7, 8)

He publicado nuevos apuntes de 1º Estadística I: Temas Teóricos Completos (temas 1, 2, 3, 4, 5, 6, 7, 8)

teoria_tema1 16-17.pdf
teoria_tema2 16-17.pdf
teoria_tema3 16-17.pdf
teoria_tema4 16-17.pdf
teoria_tema5 16-17 .pdf
teoria_tema6 16-17 .pdf

ejercicios

-

Ejercicios Propuestos Completos (temas 1, 2, 3, 4, 5, 6, 7)

He publicado nuevos ejercicios de 1º Estadística I: Ejercicios Propuestos Completos (temas 1, 2, 3, 4, 5, 6, 7)

ejercicios propuestos tema1 16-17.pdf
ejercicios propuestos tema2 16-17.pdf
ejercicios propuestos tema3 16-17.pdf
ejercicios propuestos tema4 16-17.pdf
ejercicios propuestos tema5 16-17 .pdf
ejercicios propuestos tema6 16-17 .pdf

ejercicios

-

Ejercicios Básicos Completos (temas 1, 2, 3, 4, 5, 6, 7, 8)

He publicado nuevos ejercicios de 1º Estadística I: Ejercicios Básicos Completos (temas 1, 2, 3, 4, 5, 6, 7, 8)

ejercicios basicos tema1 16-17 .pdf
ejercicios basicos tema2 16-17.pdf
ejercicios basicos tema3 16-17.pdf
ejercicios basicos tema4 16-17.pdf
ejercicios basicos tema5 16-17.pdf
ejercicios basicos tema6 16-17.pdf

He publicado nuevos examenes de 1º Estadística I: maqueta_alumnos_practicar_solucion.xlsx

excel

He publicado nuevos examenes de 1º Estadística I: examenes ADE cursos 2014-15 y 2015-16(estadistica).pdf

21 páginas
¡Estás al día!

¡Estás al día!

Has visto todos los archivos