Todo
Apuntes
Exámenes
chevron_left
chevron_right

He publicado nuevos apuntes de 2º Estadística I: Teoria.pdf

7 páginas

examenes

-

Examen

He publicado nuevos examenes de 2º Estadística I: Examen

Examenproblemas.pdf
Examenteoria.pdf
preguntasexamen.pdf

apuntes

-

ejercicios y soluciones tema 10

He publicado nuevos apuntes de 2º Estadística I: ejercicios y soluciones tema 10

Problemas-X.pdf
Soluciones-problemas-X.pdf

apuntes

-

ejercicios y soluciones tema 8

He publicado nuevos apuntes de 2º Estadística I: ejercicios y soluciones tema 8

Soluciones-problemas-VIII.pdf
Problemas-VIII.pdf

apuntes

-

ejercicios y soluciones tema 6

He publicado nuevos apuntes de 2º Estadística I: ejercicios y soluciones tema 6

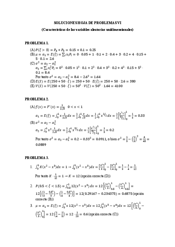
Soluciones-problemas-VI.pdf
Problemas-VI.pdf

apuntes

-

ejercicios y soluciones tema 9

He publicado nuevos apuntes de 2º Estadística I: ejercicios y soluciones tema 9

Problemas-IX.pdf
Soluciones-problemas-IX.pdf

He publicado nuevos apuntes de 2º Estadística I: test-estadistica-2.pdf

33 páginas

He publicado nuevos apuntes de 2º Estadística I: ESTADISTICA-TEST.pdf

13 páginas
¡Estás al día!

¡Estás al día!

Has visto todos los archivos