Estadística II

chevron_left
chevron_right
Todo
Apuntes
Ejercicios
Exámenes
chevron_left
chevron_right

ejercicios

-

Prácticas-Estadística II

He publicado nuevos ejercicios de 4º Estadística II: Prácticas-Estadística II

Practicas-Hojas-1-2-3.pdf
Practicas-Hojas-4-5.pdf

apuntes

-

Teoría-Estadística II

He publicado nuevos apuntes de 4º Estadística II: Teoría-Estadística II

Teoria-Tema-3.5.pdf
Teoria-Tema-3.pdf
Teoria-Tema-4.pdf
Teoria-Temas-1-2.pdf
Ejercicios-de-clase.pdf

He publicado nuevos apuntes de 4º Estadística II: Formulario-Final-Estadistica-II.pdf

2 páginas

ejercicios

-

Hojas Resueltas 2024-2025

He publicado nuevos ejercicios de 4º Estadística II: Hojas Resueltas 2024-2025

Hoja-2-Estadistica-II.pdf
Hoja-3-Estadistica-II.pdf
Hoja-4-Estadistica-II.pdf
Hoja-1-Estadistica-II.pdf

apuntes

-

Temas Estadistica II

He publicado nuevos apuntes de 4º Estadística II: Temas Estadistica II

Tema-1.-Estadistica-II.pdf
Tema-2.-Estadistica-II.pdf
Tema-3.-Estadistica-II.pdf
Tema-4.-Estadistica-II.pdf

ejercicios

-

Hojas Estadistica II

He publicado nuevos ejercicios de 4º Estadística II: Hojas Estadistica II

Hoja-1.-Estadistica-II.pdf
Hoja-2.-Estadistica-II.pdf
Hoja-3.-Estadistica-II.pdf
Hoja-4.-Estadistica-II.pdf
Hoja-Estadistica.pdf
Anónimo

@Anónimo

He publicado nuevos examenes de 4º Estadística II: e2-24-control-sol.pdf

4 páginas

examenes

-

EXAMENES Resueltos anteriores

He publicado nuevos examenes de 4º Estadística II: EXAMENES Resueltos anteriores

enunciadosexamen21enero.pdf
solusexamen21enero.pdf
Anónimo

@Anónimo

examenes

-

Soluciones Exámenes

He publicado nuevos examenes de 4º Estadística II: Soluciones Exámenes

Sol-Extra-2023-2024.pdf
Sol-Final-2023-2024.pdf
Sol-Parcial-2023-2024.pdf
Anónimo

@Anónimo

ejercicios

-

Soluciones Ejercicios

He publicado nuevos ejercicios de 4º Estadística II: Soluciones Ejercicios

Soluciones-Hoja-1.pdf
Soluciones-Hoja-2.pdf

apuntes

-

Apuntes Estadistica II 2024/35

He publicado nuevos apuntes de 4º Estadística II: Apuntes Estadistica II 2024/35

Tema-1-Estadistica-II.pdf
Tema-2-Estadistica-II.pdf
Tema-3-Estadistica-II.pdf

apuntes

-

Apuntes Clase Est2 CM

He publicado nuevos apuntes de 4º Estadística II: Apuntes Clase Est2 CM

Apuntes-T1-Estadistica-II-CM.pdf
Apuntes-T2-Estadistica-II-CM.pdf
Apuntes-T3-Estadistica-II-CM.pdf
Apuntes-T4-Estadistica-II-CM.pdf

apuntes

-

Tablas EST2

He publicado nuevos apuntes de 4º Estadística II: Tablas EST2

tablasKS.jpg

ejercicios

-

Soluciones Profe Ejercicios EST2 23/24

He publicado nuevos ejercicios de 4º Estadística II: Soluciones Profe Ejercicios EST2 23/24

Sol-Ejercicios-121315-del-tema-3.pdf
Sol-Ejercicios-del-tema-4.pdf
Sol-Ejercicios-del-tema-2.pdf
Sol-Ejercicios-346-del-tema-1.pdf
Sol-Ejercicios-45-del-tema-3.pdf

ejercicios

-

Hojas Ejercicios Est2 23/24

He publicado nuevos ejercicios de 4º Estadística II: Hojas Ejercicios Est2 23/24

Ejercicios-del-tema-3.pdf
Ejercicios-del-tema-2.pdf
Ejercicios-del-tema-1.pdf
Ejercicios-del-tema-4.pdf

ejercicios

-

Ejercicios

He publicado nuevos ejercicios de 4º Estadística II: Ejercicios

Hoja-2.pdf
Hoja-3.pdf
Hoja-1.pdf
Hoja-4.pdf

apuntes

-

Diapositivas 2022-2023

He publicado nuevos apuntes de 4º Estadística II: Diapositivas 2022-2023

T1.pdf
T2.pdf
T4.-Clasificacion-y-regresion-logistica.pdf
T3.-Regresion-lineal.pdf
Anónimo

@Anónimo

He publicado nuevos examenes de 4º Estadística II: Examen-Parcial-2022-2023.pdf

5 páginas
Anónimo

@Anónimo

examenes

-

Examenes

He publicado nuevos examenes de 4º Estadística II: Examenes

ex-parcial1EstadII-19-20.pdf
ex-eneroEstadII-19-20-web.pdf
ex-parcial2EstadII-19-20.pdf
FinalExtra2122.pdf

examenes

-

Examenes resueltos 2017-2018

He publicado nuevos examenes de 4º Estadística II: Examenes resueltos 2017-2018

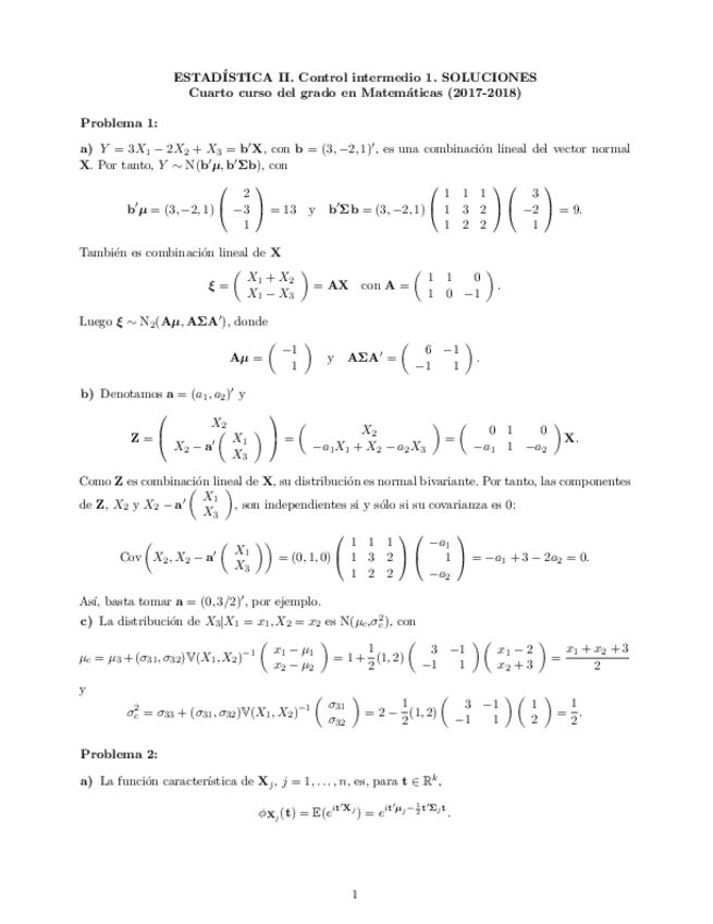
ControlEII_1_17_18SOL.pdf
ControlEII_2_17_18SOL.pdf

ejercicios

-

Hojas Estadística II

He publicado nuevos ejercicios de 4º Estadística II: Hojas Estadística II

hoja 1 est2.pdf
hoja 2 est2.pdf
hoja 3 est2.pdf
hoja 4 est2.pdf

He publicado nuevos apuntes de 4º Estadística II: EstadisticaII.pdf

123 páginas
¡Estás al día!

¡Estás al día!

Has visto todos los archivos