Todo
Apuntes
Ejercicios
Exámenes
Test
chevron_left
chevron_right
Anónimo

@Anónimo

He publicado nuevos ejercicios de 2º Estadística II: Solucion-Ejercicios-Tema-5.pdf

14 páginas

He publicado nuevos apuntes de 2º Estadística II: Tema-1-Estadistica-2-Completo.pdf

17 páginas
Anónimo

@Anónimo

TEORÍA COMPLETA TEMA 1 ESTADÍSTICA II

7 páginas
Anónimo

@Anónimo

EJERCICIOS PRÁCTICOS DESARROLLADOS

12 páginas
Anónimo

@Anónimo

FORMULARIO sobre los ejercicios prácticos tema 1 Estadística II

1 página

apuntes

-

Resúmenes Todos los Temas

He publicado nuevos apuntes de 2º Estadística II: Resúmenes Todos los Temas

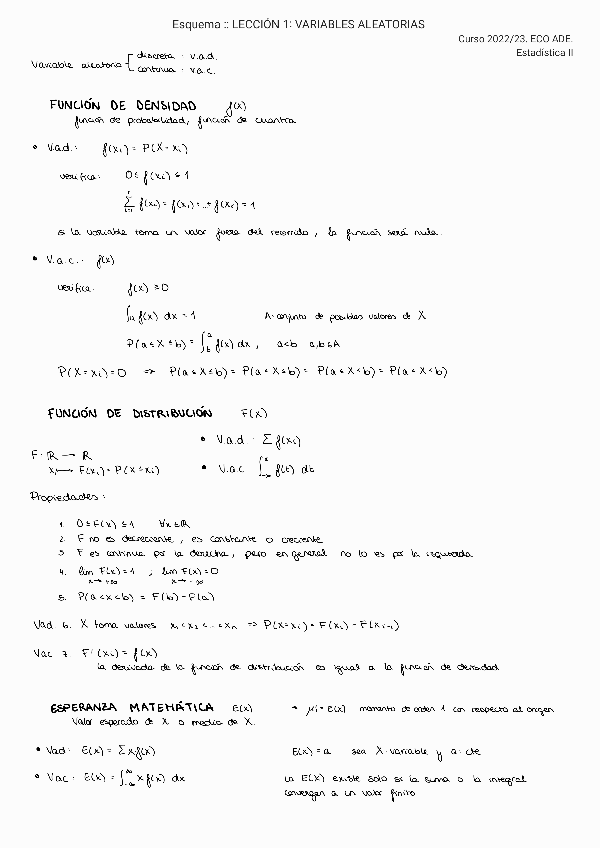
E-T1-Variables-Aleatorias.pdf
E-T2-Modelos-de-Probabilidad.pdf
E-T3-Distribucion-Muestral-de-los-Estadisticos.pdf
E-T4-Estimacion-Puntual.pdf
E-T5-Estimacion-por-Intervalos.pdf
E-T6-Verificacion-en-Poblaciones-Normales.pdf

ejercicios

-

Tema 6 resueltos

He publicado nuevos ejercicios de 2º Estadística II: Tema 6 resueltos

Lec6problemas-complementarios.pdf
Lec6problemas.pdf

He publicado nuevos ejercicios de 2º Estadística II: Lec5.GradoProblemasEstimacionporintervalos.pdf

23 páginas

ejercicios

-

Tema 4 resueltos

He publicado nuevos ejercicios de 2º Estadística II: Tema 4 resueltos

Lec4bisProblemasDistribucionmuestreo.pdf
Lec4ProblemasEstimacionpuntual.pdf

He publicado nuevos ejercicios de 2º Estadística II: Lec3-Distribucionmuestreo.pdf

11 páginas

He publicado nuevos ejercicios de 2º Estadística II: Lec2ProblemasModelos resueltos.pdf

35 páginas

He publicado nuevos ejercicios de 2º Estadística II: Ejercicios-de-la-lecciAn-1.pdf

13 páginas

He publicado nuevos ejercicios de 2º Estadística II: Probabilidad.pdf

12 páginas

apuntes

-

Apuntes completos + relación ejercicios

He publicado nuevos apuntes de 2º Estadística II: Apuntes completos + relación ejercicios

Tema-1.-Variables-Aleatorias.pdf
Tema-3.-Distribucion-muestral-de-los-estadisticos.pdf
Tema-4.-Estimacion-puntual.pdf
Tema-5.-Estimacion-por-intervalos.pdf
Tema-6.-Verificacion-en-poblaciones-normales.pdf
Formulario-tema-2.pdf

He publicado nuevos examenes de 2º Estadística II: Pruebas-CONTINUA.pdf

19 páginas

He publicado nuevos apuntes de 2º Estadística II: Apuntes-y-ejercicios-resueltos.pdf

78 páginas

He publicado nuevos examenes de 2º Estadística II: PARCIALES-SOLUCIONADOS.pdf

25 páginas

He publicado nuevos apuntes de 2º Estadística II: Examenes-Parciales-y-Finales-anteriores.pdf

4 páginas

He publicado nuevos apuntes de 2º Estadística II: Cuestionarios-Evaluacion-Continua.pdf

6 páginas

He publicado nuevos apuntes de 2º Estadística II: Tema-6-Resumen-y-Ejercicios-RESUELTOS.pdf

10 páginas

He publicado nuevos apuntes de 2º Estadística II: Tema-5-EJERCICIOS-RESUELTOS.pdf

10 páginas

He publicado nuevos apuntes de 2º Estadística II: Tema-3-Resumen-y-EJERCICIOS-RESUELTOS.pdf

8 páginas

He publicado nuevos apuntes de 2º Estadística II: Tema-4-Resumen-y-EJERCICIOS.pdf

9 páginas

He publicado nuevos apuntes de 2º Estadística II: Tema-2-Resumen-y-Ejercicios-RESUELTOS.pdf

21 páginas

He publicado nuevos apuntes de 2º Estadística II: Tema-1-Resumen-y-Ejercicios-RESUELTOS.pdf

14 páginas

apuntes

-

TODOS APUNTES 22.23

He publicado nuevos apuntes de 2º Estadística II: TODOS APUNTES 22.23

TEMA-6.pdf
TEMA-5.pdf
TEMA-4.pdf
TEMA-3.pdf
TEMA-2.pdf

He publicado nuevos examenes de 2º Estadística II: 2Parcial-enunciado-y-solucion-2022-23-ECOADE.pdf

7 páginas

He publicado nuevos apuntes de 2º Estadística II: TIPS-Estadistica-II.pdf

3 páginas

He publicado nuevos apuntes de 2º Estadística II: Formulario-TODOS-TEMAS-Estadistica-II.pdf

7 páginas

apuntes

-

Ejercicios Tema 6

He publicado nuevos apuntes de 2º Estadística II: Ejercicios Tema 6

Ejercicios-Tema-6-Estadistica-II.pdf
Ejercicios-Complementarios-Tema-6.pdf

examenes

-

Estadística II -Exámenes resueltos CV para 2°Parcial

He publicado nuevos examenes de 2º Estadística II: Estadística II -Exámenes resueltos CV para 2°Parcial

EstII-SOL-CV-Examen-2Parcial2021.pdf
EstII-SOL-CV-Examen-Final-Febrero2009.pdf
EstII-SOL-CV-Examen-Final-Febrero2012.pdf
EstII-SOL-CV-Examen-Final-Febrero2021.pdf
EstII-SOL-CV-ExamenRecuSeptiembre2009.pdf

He publicado nuevos apuntes de 2º Estadística II: FORMULARIO TEMAS 4,5,6.pdf

1 página

He publicado nuevos apuntes de 2º Estadística II: Estadistica-II-Esquemas-Temas-1-al-6.pdf

10 páginas

ejercicios

-

Estadística II - ECOADE - Ejercicios resueltos y enunciados

He publicado nuevos ejercicios de 2º Estadística II: Estadística II - ECOADE - Ejercicios resueltos y enunciados

1SOLEjerciciosVariablesAleatorias.pdf
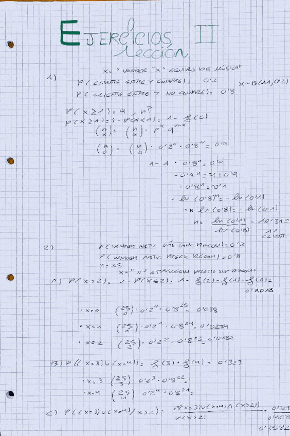
2SOLEjerciciosModelosDeProbabilidad.pdf
3SOLEjerciciosDistribucionMuestralEstadisticos.pdf
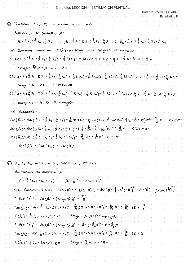
4SOLEjerciciosEstimacionPuntual.pdf
4SOLextraEjerciciosEstimacionPuntual.pdf
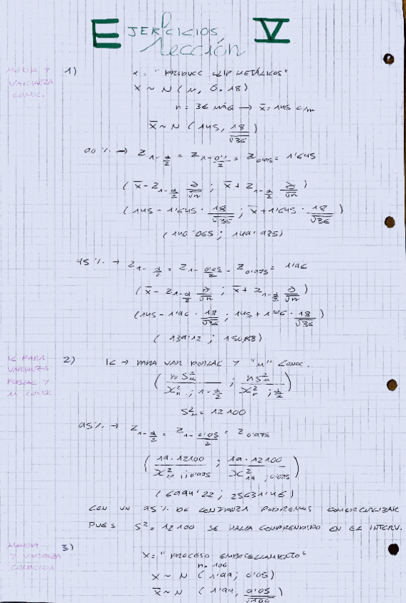
5SOLEjerciciosEstimacionIntervalos.pdf

apuntes

-

Ejercicios Tema 5

He publicado nuevos apuntes de 2º Estadística II: Ejercicios Tema 5

Ejercicios-Tema-5-Estadistica-II.pdf

apuntes

-

Ejercicios Tema 4

He publicado nuevos apuntes de 2º Estadística II: Ejercicios Tema 4

Ejercicios-Tema-4-Estadistica-II.pdf
Ejercicios-Complementarios-Tema-4-Estadistica-II.pdf

apuntes

-

Resúmenes temas 1-4

He publicado nuevos apuntes de 2º Estadística II: Resúmenes temas 1-4

ESTAD.-II-Leccion-1.pdf
ESTAD.-II-Leccion-2.pdf
ESTAD.-II-Leccion-3.pdf
ESTAD.-II-Leccion-4.pdf

He publicado nuevos apuntes de 2º Estadística II: t3-estadistica.pdf

6 páginas

He publicado nuevos apuntes de 2º Estadística II: t2-estadistica.pdf

6 páginas

He publicado nuevos apuntes de 2º Estadística II: t1-estadistica.pdf

5 páginas

apuntes

-

TABLAS EXAMEN ESTADÍSTICA

He publicado nuevos apuntes de 2º Estadística II: TABLAS EXAMEN ESTADÍSTICA

Tabla-de-la-Normal.pdf
Tabla-de-la-F.pdf
Tabla-de-la-t.pdf
Tabla-de-la-Ji-dos.pdf

apuntes

-

Ejercicios Tema 2

He publicado nuevos apuntes de 2º Estadística II: Ejercicios Tema 2

Ejercicios-Tema-2-Estadistica-II.pdf
Ejercicios-Tema-2-Estadistica-II.xlsx

apuntes

-

Ejercicios Tema 1

He publicado nuevos apuntes de 2º Estadística II: Ejercicios Tema 1

Ejercicios-Tema-1-Estadistica-II.pdf
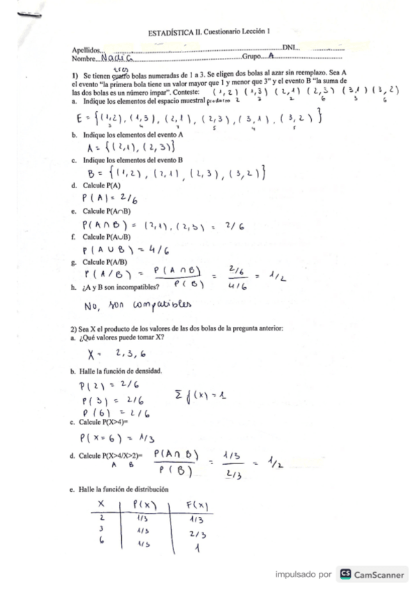
Cuestionario-Leccion-1.pdf

apuntes

-

Ejercicios Tema 3

He publicado nuevos apuntes de 2º Estadística II: Ejercicios Tema 3

EXCEL-Ejercicios-Tema-3-.xlsx
Ejercicios-Tema-3-Estadistica-II.pdf
Anónimo

@Anónimo

He publicado nuevos apuntes de 2º Estadística II: Leccion-3.-Distribucion-muestral-de-los-estadisticos.pdf

8 páginas
Anónimo

@Anónimo

He publicado nuevos apuntes de 2º Estadística II: Leccion-2.-Modelos-de-probabilidad.pdf

16 páginas
Anónimo

@Anónimo

He publicado nuevos apuntes de 2º Estadística II: TEMA-1.-Variables-Aleatorias.pdf

17 páginas

He publicado nuevos apuntes de 2º Estadística II: TEMA-2-EST-2.pdf

10 páginas

He publicado nuevos apuntes de 2º Estadística II: TEMA-1-EST-2.pdf

10 páginas

He publicado nuevos apuntes de 2º Estadística II: Variables-para-la-estimacion-de-intervalos.pdf

2 páginas

He publicado nuevos apuntes de 2º Estadística II: Resumen-Tema-6.pdf

4 páginas

He publicado nuevos apuntes de 2º Estadística II: Portfolio-Tema-6.pdf

11 páginas

He publicado nuevos apuntes de 2º Estadística II: Resumen-Tema-5.pdf

4 páginas

He publicado nuevos apuntes de 2º Estadística II: Portfolio-Tema-5.pdf

17 páginas

He publicado nuevos apuntes de 2º Estadística II: Resumen-Tema-4.pdf

2 páginas

He publicado nuevos apuntes de 2º Estadística II: Portfolio-Tema-4.pdf

10 páginas

He publicado nuevos apuntes de 2º Estadística II: Resumen-Tema-3.pdf

2 páginas

He publicado nuevos apuntes de 2º Estadística II: Portfolio-Tema-3.pdf

10 páginas

He publicado nuevos apuntes de 2º Estadística II: Resumen-Tema-2.pdf

6 páginas

He publicado nuevos apuntes de 2º Estadística II: Portfolio-Tema-2.pdf

14 páginas