chevron_left
chevron_right
Todo
Ejercicios
Exámenes
chevron_left
chevron_right

He publicado nuevos examenes de 2º Estadística II: 2020-ord-parte1-solu.pdf

3 páginas
Anónimo

@Anónimo

He publicado nuevos examenes de 2º Estadística II: 2021-ord-parte2-modAsoluc-1.pdf

5 páginas
Anónimo

@Anónimo

He publicado nuevos examenes de 2º Estadística II: 2021-ord-temas5y6-modBsolucdef-3.pdf

5 páginas

He publicado nuevos examenes de 2º Estadística II: 2022-ord-Temas5y6-mod2-solu-1.pdf

4 páginas
Anónimo

@Anónimo

He publicado nuevos examenes de 2º Estadística II: 2022-Prueba2-y-solucion-1.pdf

5 páginas

He publicado nuevos ejercicios de 2º Estadística II: Ejercicios-tema-5-2024.pdf

2 páginas

He publicado nuevos examenes de 2º Estadística II: examen-extraordinario-2020.pdf

4 páginas

He publicado nuevos examenes de 2º Estadística II: Examen-2022-Extraordinaria.pdf

2 páginas

He publicado nuevos examenes de 2º Estadística II: Examen-2021-Extraordinaria.pdf

1 página

He publicado nuevos examenes de 2º Estadística II: Examen-2020-Ordinaria-2o-parte.pdf

7 páginas

Examen resuelto del año indicado

4 páginas

Examen resuelto del año indicado

3 páginas

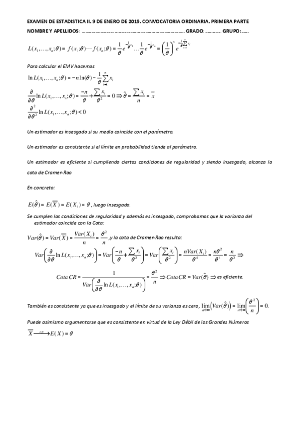
He publicado nuevos examenes de 2º Estadística II: EXAMEN-teorico-ordinario-2019-con-solucion.pdf

4 páginas

He publicado nuevos examenes de 2º Estadística II: examen-teorico-julio-2014-con-solucion.pdf

6 páginas

He publicado nuevos examenes de 2º Estadística II: Examen-parte-Statgraphics-JULIO-2013-solucion.pdf

3 páginas

He publicado nuevos examenes de 2º Estadística II: examen-teorico-31-01-2013-con-solucion.pdf

4 páginas

He publicado nuevos examenes de 2º Estadística II: examen-extraordinario-2019-con-solucion.pdf

6 páginas
¡Estás al día!

¡Estás al día!

Has visto todos los archivos