chevron_left
chevron_right
Todo
Apuntes
Ejercicios
Exámenes
Prácticas
Trabajos
chevron_left
chevron_right

ejercicios

-

BOLETINES EJERCICIOS

He publicado nuevos ejercicios de 1º Estadística: BOLETINES EJERCICIOS

BOLETIN-TEMA-1.pdf

He publicado nuevos examenes de 1º Estadística: Primer-parcial-ESTADISTICA-curso-2526-RESUELTO.pdf

8 páginas

He publicado nuevos examenes de 1º Estadística: Primer-parcial-ESTADISTICA-curso-2526.pdf

2 páginas

apuntes

-

Apuntes segundo parcial

He publicado nuevos apuntes de 1º Estadística: Apuntes segundo parcial

Tema-5.pdf
Tema-6.pdf
Tema-7.pdf

apuntes

-

TEMAS RESUMIDOS ESTADISTICA

He publicado nuevos apuntes de 1º Estadística: TEMAS RESUMIDOS ESTADISTICA

T1-TEORIA-DE-PROBABILIDAD.pdf
T2-VARIABLE-ALEATORIA.pdf
T3-VARIABLE-ALEATORIA-DISCRETA.pdf
T4-VARIABLE-ALEATORIA-CONTINUA.pdf
T5-VARIABLE-ALEATORIA-VECTORIAL.pdf
T6-PROCESOS-ESTOCASTICOS.pdf

examenes

-

EXAMENES ANTERIORES

He publicado nuevos examenes de 1º Estadística: EXAMENES ANTERIORES

EXAMEN-1o-PARCIAL-2016.pdf
EXAMEN-2o-PARCIAL-2015.pdf
EXAMEN-JUNIO-2016.pdf
EXAMEN-SEPTIEMBRE-2016.pdf

He publicado nuevos apuntes de 1º Estadística: formulario-tema-1.pdf

1 página

He publicado nuevos apuntes de 1º Estadística: Resumen-primer-parcial.pdf

2 páginas

apuntes

-

Apuntes primer parcial

He publicado nuevos apuntes de 1º Estadística: Apuntes primer parcial

Tema-4.pdf
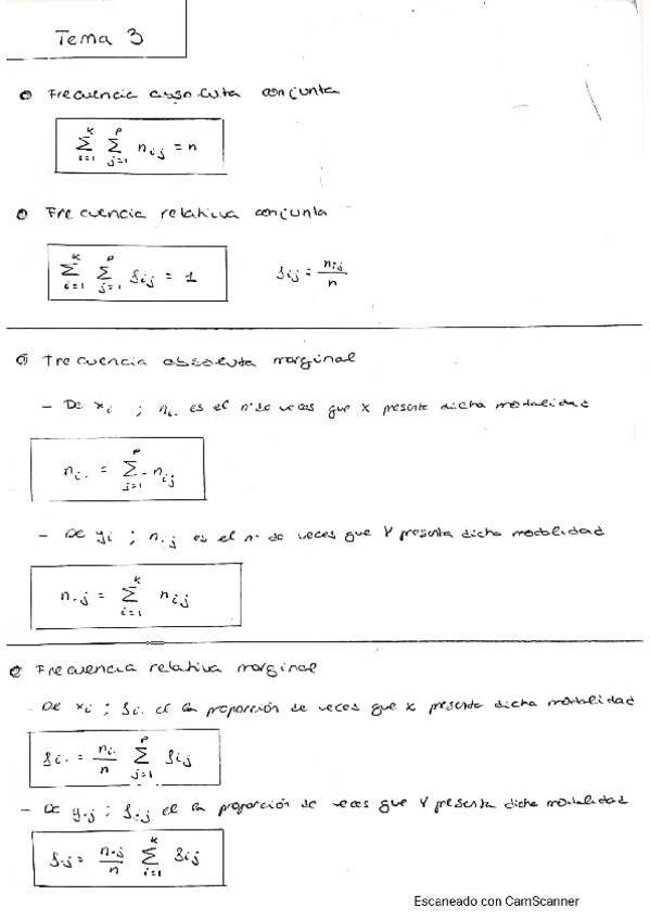
Tema-3.pdf
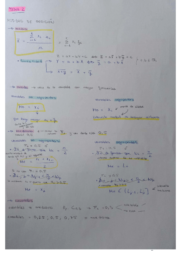
Tema-2.pdf
Tema-1.pdf

apuntes

-

Resúmenes temario completo

He publicado nuevos apuntes de 1º Estadística: Resúmenes temario completo

Resumen-tema-7240803102715.pdf
Resumen-tema-5240803102633.pdf
Resumen-temas-3y4240803102621.pdf
Resumen-tema-6240803102704.pdf
Resumen-temas-1y2240803102552.pdf

ejercicios

-

Trabajos voluntarios

He publicado nuevos ejercicios de 1º Estadística: Trabajos voluntarios

Primer-trabajo-voluntario-240215194742.pdf
Cuarto-trabajo-voluntario-240802112624.pdf
Segundo-trabajo-voluntario240305230126.pdf
Tercer-trabajo-voluntario240402172111.pdf

He publicado nuevos apuntes de 1º Estadística: Resumenes-T-5-6-7.pdf

4 páginas

He publicado nuevos ejercicios de 1º Estadística: Boletin-resuelto-T6.pdf

24 páginas

He publicado nuevos apuntes de 1º Estadística: FORMULARIO-ESTADISTICA-SEGUNDO-PARCIAL.pdf

5 páginas

He publicado nuevos apuntes de 1º Estadística: RESUMEN-TEMA-8-Numero-Indices.pdf

1 página

He publicado nuevos examenes de 1º Estadística: Formulario PARCIAL 1.pdf

2 páginas

He publicado nuevos examenes de 1º Estadística: Formulario PARCIAL 2.pdf

2 páginas

He publicado nuevos apuntes de 1º Estadística: TEMA 2-Características asociadas a una distribución de frecuencias.pdf

2 páginas

He publicado nuevos apuntes de 1º Estadística: TEMA 1-Series estadísticas. Resúmenes numéricos y gráficos.pdf

5 páginas

He publicado nuevos apuntes de 1º Estadística: TEMA 4-Análisis de regresión y correlación.pdf

2 páginas

He publicado nuevos apuntes de 1º Estadística: TEMA 3-Series estadísticas de dos caractéres.pdf

2 páginas

He publicado nuevos apuntes de 1º Estadística: TEMA 5-Probabilidad.pdf

3 páginas

He publicado nuevos apuntes de 1º Estadística: TEMA 6-Variable aleatoria. Modelos de distribuciones.pdf

3 páginas

He publicado nuevos apuntes de 1º Estadística: TEMA 7-Descripción de series temporales.pdf

1 página

He publicado nuevos apuntes de 1º Estadística: Tema7completo.pdf

2 páginas

He publicado nuevos practicas de 1º Estadística: HojapracticasRparte1.pdf

1 página

He publicado nuevos apuntes de 1º Estadística: CHULETA-EXAMEN-PRACTICO-ESTADISTICA.pdf

2 páginas

He publicado nuevos practicas de 1º Estadística: SESION-1-PRACTICAS-ESTADISTICA.pdf

2 páginas

apuntes

-

Apuntes Estadística

He publicado nuevos apuntes de 1º Estadística: Apuntes Estadística

T1-Apuntes.pdf
T3-Apuntes.pdf
T4-Apuntes.pdf
T2-Metodos-Estadisticos.pdf
T6.pdf

Resumen de los primeros 4 temas correspondientes al primer parcial. de estadística.

1 página

He publicado nuevos apuntes de 1º Estadística: FORMULARIO-ESTADISTICA-PRIMER-PARCIAL.pdf

2 páginas

He publicado nuevos apuntes de 1º Estadística: Tema-1-Apuntes--Ejercicios-Resueltos.pdf

6 páginas

He publicado nuevos apuntes de 1º Estadística: TEMA-2-Estadistica.pdf

6 páginas

He publicado nuevos apuntes de 1º Estadística: TEMA-1-Estadistica.pdf

6 páginas

He publicado nuevos apuntes de 1º Estadística: Formulario-Estadistica-A-ORDENADOR.pdf

5 páginas

apuntes

-

Resumen Estadística Segundo Parcial

He publicado nuevos apuntes de 1º Estadística: Resumen Estadística Segundo Parcial

Tema-8.pdf
Tema-5-Tema-6.pdf
Tema-7.pdf

He publicado nuevos apuntes de 1º Estadística: 2parcial.pdf

14 páginas

He publicado nuevos apuntes de 1º Estadística: Problemas-resueltos.pdf

56 páginas

apuntes

-

Estadisticas

He publicado nuevos apuntes de 1º Estadística: Estadisticas

Formulario-Estadistica.pdf

apuntes

-

Apuntes Todos los Temas

He publicado nuevos apuntes de 1º Estadística: Apuntes Todos los Temas

Tema-1-Estadistica.pdf
Tema-2-Estadistica.pdf
Tema-3-Estadistica.pdf
Tema-4-Estadistica.pdf
Tema-5-Estadistica.pdf
Tema-6-Estadistica.pdf
Anónimo

@Anónimo

examenes

-

EXAMENES RESUELTOS PRIMER PARCIAL

AQUI HAY ALGUNOS EXAMENES RESUELTOS DEL PRIMER PARCIAL

E-27-03-19.pdf
E-3-5-18.pdf
E-CNVT-SEP-21.pdf
E-CNVT-JUN-21.pdf
E-27-03-2015.pdf
E-PRIMER-PARCIAL-17-18.pdf
Anónimo

@Anónimo

He publicado nuevos apuntes de 1º Estadística: E-TEMA-4-REGRESION-Y-CORRELACION.pdf

5 páginas

He publicado nuevos apuntes de 1º Estadística: E-TEMA-3-SERIES-BIVARIANTES.pdf

10 páginas

He publicado nuevos apuntes de 1º Estadística: E-TEMA 2 MEDIAS DE POSICION Y DISPERSION.pdf

11 páginas

He publicado nuevos apuntes de 1º Estadística: E-TEMA 1 SERIES ESTADÍSTICAS.pdf

15 páginas

apuntes

-

Estadística

He publicado nuevos apuntes de 1º Estadística: Estadística

Estadistica-II.pdf
Miniatura no disponible
Estadistica.rar

He publicado nuevos apuntes de 1º Estadística: 1Parcial1617-conSoluc1.pdf

2 páginas

apuntes

-

APUNTES - FORMULARIOS POR TEMAS

He publicado nuevos apuntes de 1º Estadística: APUNTES - FORMULARIOS POR TEMAS

TEMA-2-resumido-formulario-mmfijo.pdf
TEMA-3-resumido-formulario-mmfijo.pdf
TEMA-1-resumido-formulario-mmfijo.pdf
TEMA-4-resumido-formulario-mmfijo.pdf
TEMA-8-resumido-formulario-mmfijo.pdf

He publicado nuevos apuntes de 1º Estadística: resumen-examen-practicas-mmfijo.pdf

2 páginas

He publicado nuevos apuntes de 1º Estadística: Formulas-R.pdf

3 páginas

He publicado nuevos apuntes de 1º Estadística: FORMULARIO-ESTADISTICA-TEMA-6.pdf

5 páginas

He publicado nuevos apuntes de 1º Estadística: FORMULARIO-ESTADISTICA-TEMA-5.pdf

2 páginas

He publicado nuevos apuntes de 1º Estadística: FORMULARIO-ESTADISTICA-TEMA-1-2-3-4.pdf

3 páginas

He publicado nuevos apuntes de 1º Estadística: APUNTES-Y-EJERCICIOS-TEMA-4-ESTADISTICA.pdf

15 páginas

He publicado nuevos apuntes de 1º Estadística: APUNTES-Y-EJERCICIOS-TEMA-3-ESTADISTICA.pdf

10 páginas

He publicado nuevos apuntes de 1º Estadística: APUNTES-Y-EJERCICIOS-TEMA-2-ESTADISTICA.pdf

12 páginas

He publicado nuevos apuntes de 1º Estadística: APUNTES-Y-EJERCICIOS-TEMA-1-ESTADISTICA.pdf

11 páginas

apuntes

-

Apuntes Completos

He publicado nuevos apuntes de 1º Estadística: Apuntes Completos

Tema-1-Series-Estadisticas.pdf
Tema-2-Caracteristicas-Asociadas-a-Una-Distribucion-de-Frecuencias.pdf
Tema-3-Series-Estadisticas-de-Dos-Caracteres.pdf
Tema-4-Analisis-de-Regresion-y-Correlacion.pdf
Tema-5-Probabilidad.pdf
Tema-6-Variable-Aleatoria.pdf

He publicado nuevos apuntes de 1º Estadística: Estadistica-T6.pdf

20 páginas

apuntes

-

Codigo Practicas R

He publicado nuevos apuntes de 1º Estadística: Codigo Practicas R

R.pdf