chevron_left
chevron_right
Todo
Apuntes
Ejercicios
Exámenes
Prácticas
publication
chevron_left
chevron_right
Anónimo

@Anónimo

Ejercicios de problemas de todas las sesiones y algunos ejercicios de repaso.

33 páginas
Anónimo

@Anónimo

Nota: 1/1.

14 páginas

Nota: 1/1.

17 páginas

Nota: 1/1.

7 páginas

Nota: 0.75/1.

8 páginas

Nota: 1/1.

11 páginas

Nota: 0.75/1.

11 páginas

He publicado nuevos apuntes de 2º Estadística: Examen-estadistica-2025-26.pdf

2 páginas

He publicado nuevos examenes de 2º Estadística: Control-temas-1-2-estadistica-2025-26.pdf

1 página

He publicado nuevos examenes de 2º Estadística: Control-temas-3-4-estadistica-2025-26.pdf

2 páginas

He publicado nuevos apuntes de 2º Estadística: PRACTICA6EST202223.pdf

13 páginas

He publicado nuevos apuntes de 2º Estadística: PRACTICA5EST202223.pdf

9 páginas

He publicado nuevos apuntes de 2º Estadística: PRACTICA4EST202223-MMDD.pdf

9 páginas

He publicado nuevos apuntes de 2º Estadística: PRACTICA3EST202223.pdf

11 páginas

He publicado nuevos apuntes de 2º Estadística: PRACTICA2EST202223.pdf

8 páginas

He publicado nuevos apuntes de 2º Estadística: PRACTICA1EST202223-MMDD.pdf

4 páginas

He publicado nuevos apuntes de 2º Estadística: 2-IBMSPSSStatisticsCoreSystemUserGuide-MMDD.pdf

330 páginas

He publicado nuevos apuntes de 2º Estadística: 1-Normas-practicas-de-laboratorio.-Estadistica-GII-2022-23-MMDDD.pdf

2 páginas

He publicado nuevos examenes de 2º Estadística: Enero-2023.jpg

Imagen

He publicado nuevos examenes de 2º Estadística: Controles-T4.pdf

4 páginas

He publicado nuevos examenes de 2º Estadística: Controles-T2.pdf

4 páginas

He publicado nuevos apuntes de 2º Estadística: Enunciadossesion1120222023.pdf

1 página

He publicado nuevos apuntes de 2º Estadística: Enunciadossesion1020222023.pdf

1 página

He publicado nuevos apuntes de 2º Estadística: Enunciadossesion920222023-MMDD.pdf

1 página

He publicado nuevos apuntes de 2º Estadística: Enunciadossesion820222023-MMDD.pdf

1 página

He publicado nuevos apuntes de 2º Estadística: Enunciadossesion720222023-MMDD.pdf

2 páginas

He publicado nuevos apuntes de 2º Estadística: Enunciadossesion620222023-MMDD.pdf

1 página

He publicado nuevos apuntes de 2º Estadística: Enunciadossesion520222023-MMDD.pdf

1 página

He publicado nuevos apuntes de 2º Estadística: Enunciadossesion320222023-MMDD.pdf

1 página

He publicado nuevos apuntes de 2º Estadística: Enunciadossesion420222023-MMDD.pdf

1 página

He publicado nuevos apuntes de 2º Estadística: Enunciadossesion220222023-MMDD.pdf

1 página

He publicado nuevos apuntes de 2º Estadística: Enunciadossesion120222023-MMDD.pdf

1 página

He publicado nuevos apuntes de 2º Estadística: 0-Introduccion-a-la-Combinatoria-Problemas.pdf

6 páginas

He publicado nuevos apuntes de 2º Estadística: 4-Esperanza-y-Varianza.pdf

14 páginas

He publicado nuevos apuntes de 2º Estadística: 3-Variables-Aleatorias.pdf

30 páginas

He publicado nuevos apuntes de 2º Estadística: TABLAS-Tema-5-MMDD.pdf

19 páginas

He publicado nuevos apuntes de 2º Estadística: 5-Modelos-de-Distribucion.pdf

34 páginas

He publicado nuevos apuntes de 2º Estadística: 5-Distribuciones-Especiales.pdf

13 páginas

He publicado nuevos apuntes de 2º Estadística: 4-Esperanza-y-Varianza.pdf

36 páginas

He publicado nuevos apuntes de 2º Estadística: 3-Variables-Aleatorias.pdf

46 páginas

He publicado nuevos apuntes de 2º Estadística: 2-SUScesos-Aleatorios.pdf

34 páginas

He publicado nuevos apuntes de 2º Estadística: 2-Sucesos-y-Probabilidad.pdf

46 páginas

He publicado nuevos apuntes de 2º Estadística: 1-Introduccion-a-la-combinatoria.pdf

16 páginas

He publicado nuevos apuntes de 2º Estadística: 1-Cumbinatoria.pdf

12 páginas

He publicado nuevos practicas de 2º Estadística: Practica-1.docx

word

He publicado nuevos practicas de 2º Estadística: Practica-5.docx

word

He publicado nuevos practicas de 2º Estadística: Practica-2.docx

word

He publicado nuevos practicas de 2º Estadística: Practica-4.docx

word

He publicado nuevos practicas de 2º Estadística: Practica-6.docx

word
Anónimo

@Anónimo

He publicado nuevos examenes de 2º Estadística: enero2026.pdf

1 página

ejercicios

-

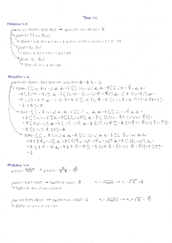
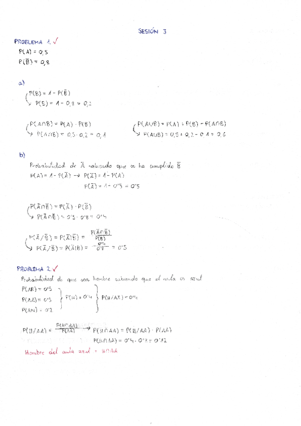
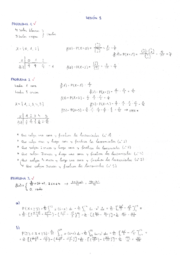
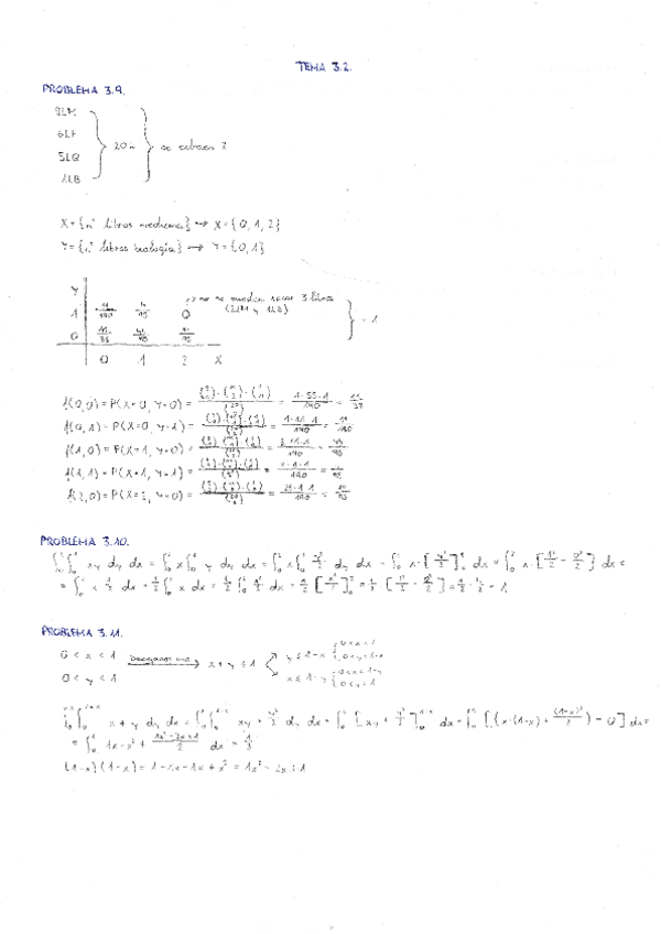
Problemas Estadística

Enunciados y resolución de los problemas de estadística

Problemas-Estadistica.pdf
Problemas-Estadistica.pdf
Enunciados-Sesiones-Estadistica.pdf
Enunciados-Sesiones-Estadistica.pdf

He publicado nuevos apuntes de 2º Estadística: Formulario-Estadistica.pdf

3 páginas

practicas

-

Práctica 6

Enunciado y memoria de la Práctica 6 de ordenadores de estadística

PRACTICA6EST202526.pdf
PRACTICA6EST202526.pdf
Memoria-Practica-6.pdf
Memoria-Practica-6.pdf

practicas

-

Práctica 5

Enunciado y memoria de la Práctica 5 de ordenadores de estadística

Memoria-Practica-5.pdf
Memoria-Practica-5.pdf
PRACTICA5EST202526.pdf
PRACTICA5EST202526.pdf

practicas

-

Práctica 4

Enunciado y memoria de la Práctica 4 de ordenadores de estadística

Memoria-Practica-4.pdf
Memoria-Practica-4.pdf
PRACTICA4EST202526.pdf
PRACTICA4EST202526.pdf

practicas

-

Práctica 3

Enunciado y memoria de la Práctica 3 de ordenadores de estadística

PRACTICA3EST202526.pdf
PRACTICA3EST202526.pdf
Memoria-Practica-3.pdf
Memoria-Practica-3.pdf

practicas

-

Práctica 2

Enunciado y memoria de la Práctica 2 de ordenadores de estadística

PRACTICA2EST202526.pdf
PRACTICA2EST202526.pdf
Memoria-Practica-2.pdf
Memoria-Practica-2.pdf

practicas

-

Práctica 1

Enunciado y memoria de la Práctica 1 de ordenadores de estadística

Memoria-Practica-1.pdf
Memoria-Practica-1.pdf
PRACTICA1EST202526.pdf
PRACTICA1EST202526.pdf
Anónimo

@Anónimo

practicas

-

Prácticas estadística

He publicado nuevos practicas de 2º Estadística: Prácticas estadística

Normas-practicas-2024-25.pdf
Normas-practicas-2024-25.pdf
Planificacion-de-sesiones-2024-25.pdf
Planificacion-de-sesiones-2024-25.pdf
Practica-1.pdf
Practica-1.pdf

practicas

-

Soluciones prácticas estadística

He publicado nuevos practicas de 2º Estadística: Soluciones prácticas estadística

Practica-2-solucion.pdf
Practica-2-solucion.pdf
Practica-1-solucion.pdf
Practica-1-solucion.pdf
Practica-4-Solucion.pdf
Practica-4-Solucion.pdf