chevron_left
chevron_right
Todo
Apuntes
Ejercicios
Exámenes
Prácticas
Trabajos
chevron_left
chevron_right

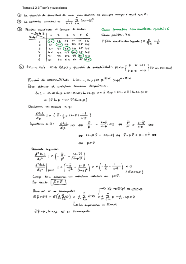
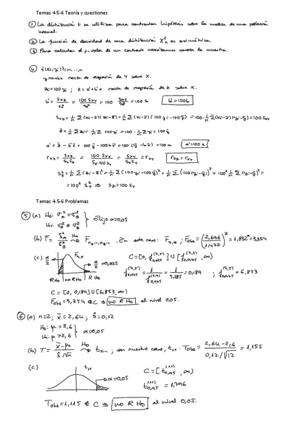
resumen y ejercicios temas 1, 2 y 3 AL FINAL HAY UN EXAMEN DEL 25-26!

45 páginas

He publicado nuevos apuntes de 2º Estadística: EstadisticaEjerciciosPracticasParte1.pdf

9 páginas

He publicado nuevos apuntes de 2º Estadística: EstadisticaTeoriaParte1.pdf

8 páginas

ejercicios

-

Ejercicios Estadística

Ejercicios resueltos de la asignatura de Estadística curso 2025-2026.

T1-Estadistica-Descriptiva-Problemas.pdf
T2-Probabilidad-Problemas.pdf

He publicado nuevos apuntes de 2º Estadística: Estadistica-Tema2.pdf

8 páginas

He publicado nuevos apuntes de 2º Estadística: Estadistica-Tema4.pdf

3 páginas

He publicado nuevos apuntes de 2º Estadística: Estadistica-Tema1.pdf

4 páginas

He publicado nuevos ejercicios de 2º Estadística: Estadistica-Ejercicios-tema-3-explicacion.pdf

4 páginas

He publicado nuevos apuntes de 2º Estadística: Estadistica-Contrastes.pdf

4 páginas

He publicado nuevos apuntes de 2º Estadística: Estadistica-Varianza-2.pdf

4 páginas

He publicado nuevos apuntes de 2º Estadística: Estadistica-VarianzaANOVA.pdf

4 páginas

He publicado nuevos ejercicios de 2º Estadística: Estadistica-Ejercicios-tema456.pdf

7 páginas
Anónimo

@Anónimo

He publicado nuevos examenes de 2º Estadística: Parcial-Estadistica.pdf

2 páginas

He publicado nuevos examenes de 2º Estadística: Examenes-Estadistica-1.pdf

8 páginas

He publicado nuevos examenes de 2º Estadística: Examenes-Estaditica-2.pdf

2 páginas

examenes

-

Exámenes de años anteriores

He publicado nuevos examenes de 2º Estadística: Exámenes de años anteriores

Enunciados-No-se-de-que-ano-es.pdf
Final-Primera-2018-19.pdf
Final-Primera-2019-20.pdf
Final-Primera-Temas-1-2-3.pdf
Final-Primera-Temas-4-5-6.pdf
Final-Segunda-2018-19.pdf

apuntes

-

Teoría Estadística 2022/23

He publicado nuevos apuntes de 2º Estadística: Teoría Estadística 2022/23

Tema-1.pdf
Tema-2.pdf
Tema-3.pdf
Tema-4.pdf
Tema-5.pdf
Tema-6.pdf
Anónimo

@Anónimo

He publicado nuevos apuntes de 2º Estadística: ExamenED2324.pdf

3 páginas
Anónimo

@Anónimo

He publicado nuevos examenes de 2º Estadística: Prueba-de-programa-Statgraphics-1a-Convocatoria-2024.pdf

1 página

He publicado nuevos apuntes de 2º Estadística: APUNTES-BLOQUE-II.pdf

12 páginas

apuntes

-

Apuntes Estadistica

He publicado nuevos apuntes de 2º Estadística: Apuntes Estadistica

TEMA1_ESTADISTICA.pdf
Anónimo

@Anónimo

examenes

-

Exámenes 2023 Resueltos

He publicado nuevos examenes de 2º Estadística: Exámenes 2023 Resueltos

Examen-Final-Primera-2023.pdf
Examen-Final-Segunda-2023.pdf

He publicado nuevos practicas de 2º Estadística: PRACTICA-3-ESTADISTICA-DESCRIPTIVA.pdf

3 páginas

He publicado nuevos practicas de 2º Estadística: PRACTICA-2.2-ESTADISTICA-DESRIPTIVA.pdf

2 páginas

He publicado nuevos practicas de 2º Estadística: PRACTICA-2-ESTADISTICA-DESRIPTIVA.pdf

3 páginas

practicas

-

PRÁCTICA 1

He publicado nuevos practicas de 2º Estadística: PRÁCTICA 1

PRACTICA-1-ESTADISTICA-DESCRIPTIVA.pdf

practicas

-

Entregas varias

He publicado nuevos practicas de 2º Estadística: Entregas varias

101Gonzalez-CaleroAlberto.pdf
101Gonzalez-CaleroAlberto.pdf
101Gonzalez-CaleroAlberto.pdf
AlbertoGonzalez-CaleroTrabajoEI.pdf
101Gonzalez-CaleroAlberto.pdf

trabajos

-

Trabajos

He publicado nuevos trabajos de 2º Estadística: Trabajos

Practica-1-Estadistica-Descriptiva-.pdf
TrabajoEI.pdf
PROBLEMAS-PARA-MEJORAR-LA-NOTA-DE-EVALUACION-CONTINUA.pdf

He publicado nuevos apuntes de 2º Estadística: Ejercicio-Practica-Estadistica-Sesion-2W.pdf

7 páginas

He publicado nuevos apuntes de 2º Estadística: ProblemasParaSubirNotaEvaluacionContinua.pdf

4 páginas

He publicado nuevos apuntes de 2º Estadística: Ejercicio-Practicas-EstadisticaW.pdf

2 páginas

ejercicios

-

Problemas y teoría

He publicado nuevos ejercicios de 2º Estadística: Problemas y teoría

000-PROBLEMAS-DISCRETA-UMA.pdf
EIIEIO2.pdf
EIIEIO1.pdf
EIIEIO2.pdf
ejercicios-internet-resultos-va-discreta.pdf
000-PROBLEMAS-CONTINUA-UMA.pdf

He publicado nuevos apuntes de 2º Estadística: Formulario Estadistica.pdf

15 páginas
¡Estás al día!

¡Estás al día!

Has visto todos los archivos