Todo
Apuntes
Ejercicios
Exámenes
Prácticas
chevron_left
chevron_right

apuntes

-

Resumen pregunta 3 estadistica

Resumen para hacer la pregunta 3 de estadística. Ojo porque en la hoja de problemas aparecen algunos que siguen una distribucion binomial, y eso no lo contemplo en el resumen este.

Resumen-pregunta-3-estadistica.pdf
IntervalosyContrastes.pdf

He publicado nuevos apuntes de 2º Estadística: Ejercicios-Resueltos-de-Estadistica-24-25.pdf

51 páginas

He publicado nuevos apuntes de 2º Estadística: Ejercicios-Pregunta-2-de-examenes.pdf

10 páginas

He publicado nuevos apuntes de 2º Estadística: Resumen-Tema-4.pdf

2 páginas

He publicado nuevos apuntes de 2º Estadística: Resumen-Tema-1.pdf

1 página

He publicado nuevos apuntes de 2º Estadística: Resumen-Tema-3.pdf

5 páginas

He publicado nuevos apuntes de 2º Estadística: Ejercicios-Pregunta-1-de-examenes.pdf

12 páginas

He publicado nuevos apuntes de 2º Estadística: Resumen-Tema-2.pdf

7 páginas

He publicado nuevos apuntes de 2º Estadística: formulas-y-mini-apuntes-para-el-examen.pdf

2 páginas

He publicado nuevos apuntes de 2º Estadística: mini-Apuntes-para-ej-3.pdf

1 página

He publicado nuevos apuntes de 2º Estadística: Tabla-de-derivadas-para-ej-2.pdf

1 página

apuntes

-

Estadística

Ejercicios de Exámenes de la Pregunta 1 y 2 resueltos y Fórmulas

Apuntes-de-Preguntas-de-Examen-Turno-de-Tarde.pdf
Preguntas-1-de-examenes-Resueltas.pdf
Preguntas-2-de-Examenes-resueltas.pdf

He publicado nuevos examenes de 2º Estadística: ejercicios-resueltos-examen-PREGUNTA3.pdf

12 páginas

He publicado nuevos examenes de 2º Estadística: ejercicios-estadistica-examen-PREGUNTA2.pdf

23 páginas

He publicado nuevos examenes de 2º Estadística: ejercicios-resueltos-examen-PREGUNTA1.pdf

26 páginas
Anónimo

@Anónimo

El mejor pdf para entender las prácticas de estadística y los cuestionarios

36 páginas
Anónimo

@Anónimo

practicas

-

TODOS LOS CUESTIONARIOS DE PRÁCTICAS ESTADÍSTICA

Las preguntas se repiten todos los años

Cuestionario-2.pdf
Cuestionario-3.pdf
Cuestionario-4.pdf
Cuestionario-1.pdf

He publicado nuevos apuntes de 2º Estadística: Examen-Junio-24-25-P1-y-P2-resueltas.pdf

4 páginas

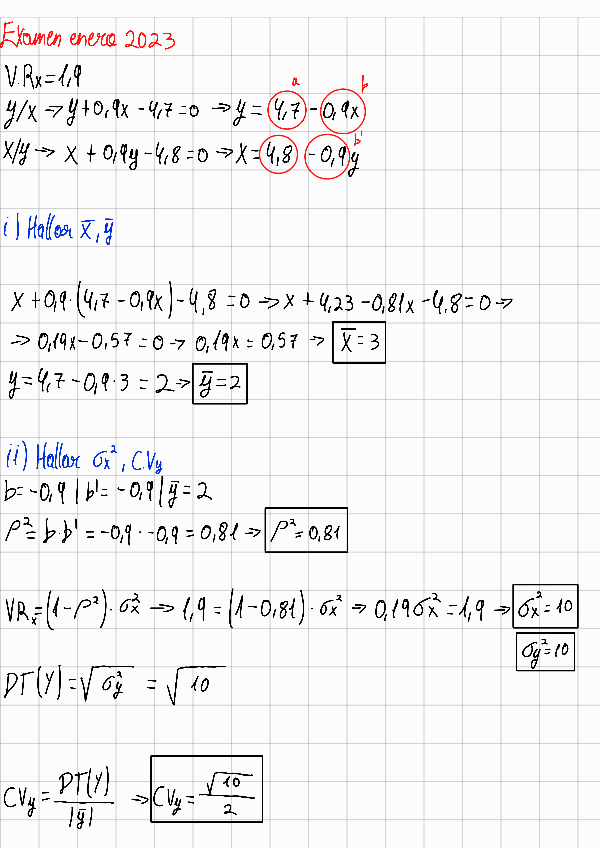
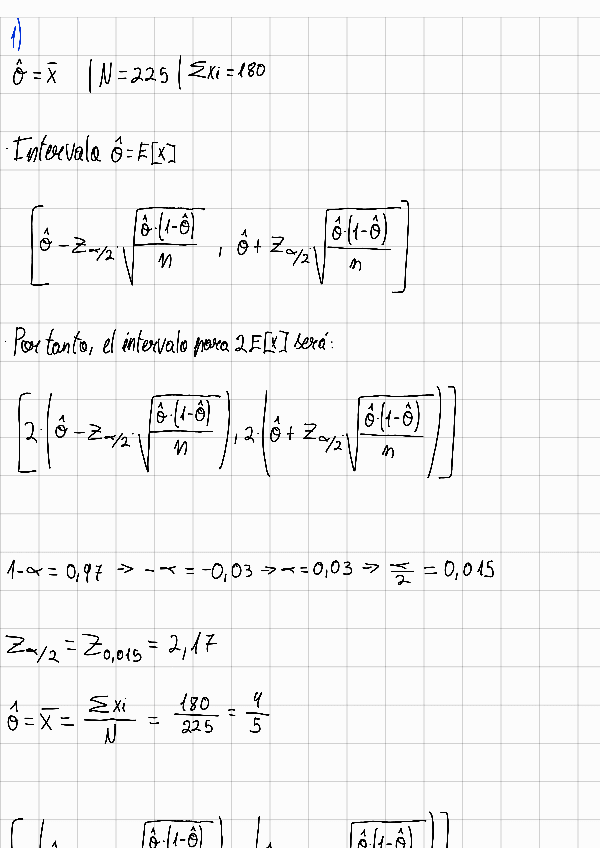
He publicado nuevos examenes de 2º Estadística: Examen-Estadistica-Enero-2425.pdf

2 páginas

Ejercicios tipo examen turno tarde pregunta 1, unidimensional sin y con acumulacion, bidimensional, y pregunta 3 contraste de hipótesis, intervalo confianza y pvalor

6 páginas
Anónimo

@Anónimo

Ejercicio 1 realizado paso a paso con ejemplos de exámenes anteriores

9 páginas
Anónimo

@Anónimo

Ejercicio 2 realizado paso a paso con ejemplos de exámenes anteriores

10 páginas
Anónimo

@Anónimo

Ejercicio 3 realizado paso a paso con ejemplos de exámenes anteriores

14 páginas

apuntes

-

Carpeta para aprobar Estadística(Turno De Mañana)

En esta carpeta hay muchos ejercicios para practicar los problemas de tipo examen y poder aprobar de manera sencilla el examen de convocatoria simplemente practicando.

Ejercicios-intervalos-de-confianza.pdf
Ejercicios-probabilidad-resueltos.pdf
Ejercicios-rectas-de-regresion-resueltos.pdf
Ejercicios-Rectas-de-Regresion.pdf
Ejercicios-VA-bidimensional-continua-resueltos.pdf
Ejercicios-VA-bidimensional-continua.pdf

✅APUNTES CON TODOS LAS FORMULAS Y ECUACIONES QUE NECESITAS PARA APROBAR⚠️

65 páginas
Anónimo

@Anónimo

✅EJERCICIOS RESUELTOS Y APUNTES.✅ TODO LO QUE NECESITAS SABER PARA APROBAR

75 páginas

apuntes

-

Temario

He publicado nuevos apuntes de 2º Estadística: Temario

Tema12Contraste-de-Hipotesis.pdf
Tema-11EstimacionIntervalo.pdf
Tema-10EstimacionPuntual.pdf
Muestreo.pdf
Tema-8VariablesAleatoriasContinuas.pdf
Tema-7VariablesAleatoriasDiscretas.pdf

examenes

-

Examen 2020

He publicado nuevos examenes de 2º Estadística: Examen 2020

Pregunta3.pdf
Pregunta1.pdf
Pregunta2.pdf

He publicado nuevos apuntes de 2º Estadística: Formulario Estadistica.pdf

15 páginas

He publicado nuevos examenes de 2º Estadística: Cuestionario Final de Prácticas de Laboratorio (grupo de mañana).pdf

10 páginas
¡Estás al día!

¡Estás al día!

Has visto todos los archivos