chevron_left
chevron_right
Todo
Apuntes
Ejercicios
chevron_left
chevron_right

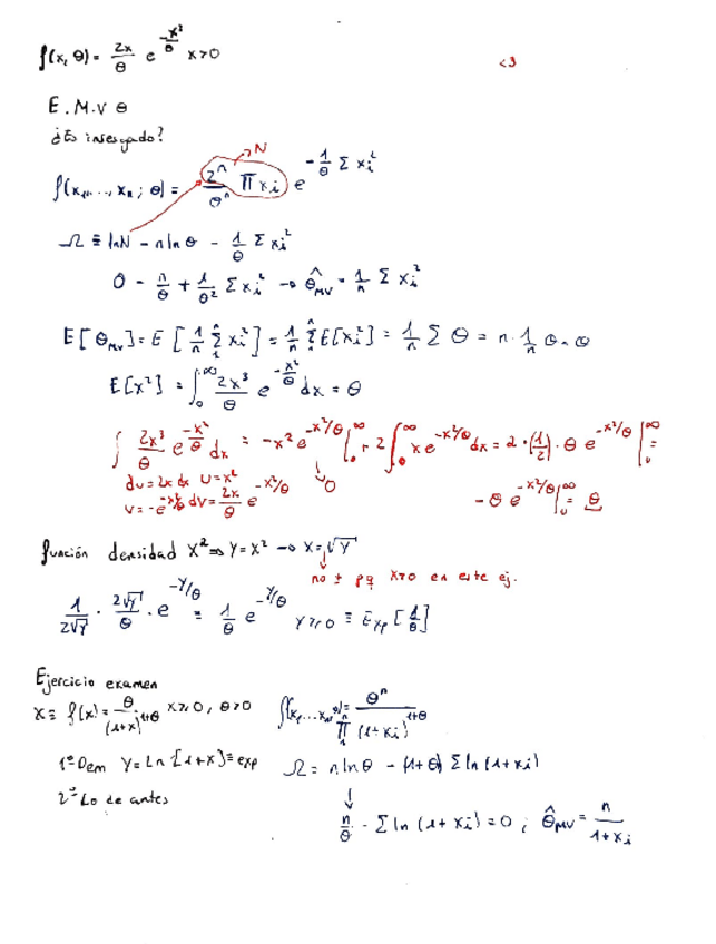
Todos los problemas del PEI 2 hechos en clase (los del examen son igual) Hechos paso por paso y con explicación de cada paso

25 páginas

He publicado nuevos apuntes de 2º Estadística: Resumen-teoria-PEI1.pdf

12 páginas

ejercicios

-

Ejercicios de examen Segundo PEI

He publicado nuevos ejercicios de 2º Estadística: Ejercicios de examen Segundo PEI

Contraste-no-parametricos.pdf
Ejercicios-Segundo-PEI.pdf
¡Estás al día!

¡Estás al día!

Has visto todos los archivos