Todo
Apuntes
chevron_left
chevron_right
Anónimo

@Anónimo

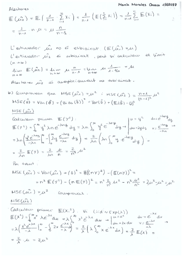
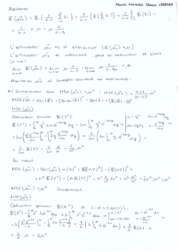
He publicado nuevos apuntes de 3º Estadística: MariaMoralesChueca1568088.pdf

4 páginas
Anónimo

@Anónimo

He publicado nuevos apuntes de 3º Estadística: ENTREGA2.pdf

3 páginas

He publicado nuevos apuntes de 3º Estadística: 2018_Primera part_EM.pdf

30 páginas

He publicado nuevos apuntes de 3º Estadística: 2018_Diapositives_Estadística_P2.pdf

36 páginas
¡Estás al día!

¡Estás al día!

Has visto todos los archivos