chevron_left
chevron_right
Todo
Apuntes
Ejercicios
Exámenes
Prácticas
Trabajos
chevron_left
chevron_right
Anónimo

@Anónimo

He publicado nuevos examenes de 2º Estadística: Ejercicios-y-pre-examen-peu.pdf

15 páginas

practicas

-

Practicas de estadistica

He publicado nuevos practicas de 2º Estadística: Practicas de estadistica

Practica6-1.pdf
Distribuciones-de-muestreo.pdf
Modelos-1.pdf
Practica1-est.pdf

He publicado nuevos examenes de 2º Estadística: examen-pdai.pdf

3 páginas
Anónimo

@Anónimo

He publicado nuevos examenes de 2º Estadística: PDAI-tardor-de-20252026.pdf

3 páginas
Anónimo

@Anónimo

Examen solucionado

8 páginas

Q2

12 páginas
Anónimo

@Anónimo

Resolucion de examen de estadistica 2025/2026 examen parcial

6 páginas

Q2 con solución

3 páginas

Parcial 1 ES resuelto

9 páginas

Estadística P6

38 páginas

Estadística P4

55 páginas

Estadística p5

49 páginas

apuntes

-

Teoria, ejercicios, etc. con los que he sacado MH

He publicado nuevos apuntes de 2º Estadística: Teoria, ejercicios, etc. con los que he sacado MH

Estadistica-T3-PROBABILIDADES.pdf
Formulario-para-estudiar-el-T3.pdf
anexo-t3.pdf
t4.pdf
tema-5a.pdf
tema-5b.pdf

He publicado nuevos examenes de 2º Estadística: Final-Q1-2024-2025-Nota-de-9.13.pdf

17 páginas

He publicado nuevos examenes de 2º Estadística: CG-Q1-2024-2025-Nota-de-9.pdf

2 páginas

He publicado nuevos examenes de 2º Estadística: Q2 - Códigos ejercicios examen resueltos.pdf

29 páginas

He publicado nuevos apuntes de 2º Estadística: Apunts-para-llevar-al-examen-Q2.pdf

17 páginas

He publicado nuevos examenes de 2º Estadística: Q2-20242025.pdf

4 páginas
Anónimo

@Anónimo

He publicado nuevos examenes de 2º Estadística: Q2.pdf

3 páginas

He publicado nuevos examenes de 2º Estadística: 4.ejercicios-questionario2-examen-RStudio.pdf

9 páginas

He publicado nuevos examenes de 2º Estadística: 3.ejercicios-questionario2-examen-RStudio.pdf

8 páginas
Anónimo

@Anónimo

He publicado nuevos examenes de 2º Estadística: 2.ejercicios-questionario2-examen-RStudio.pdf

14 páginas

He publicado nuevos examenes de 2º Estadística: 1.-ejercicios-questionario2-examen-RStudio.pdf

13 páginas

He publicado nuevos examenes de 2º Estadística: ejercicios-questionario2-examen-RStudio.pdf

17 páginas
Anónimo

@Anónimo

He publicado nuevos examenes de 2º Estadística: Ejercicios-de-Examen-2-Rstudio.pdf

14 páginas

apuntes

-

Apunts i problemes

He publicado nuevos apuntes de 2º Estadística: Apunts i problemes

Apunts-Tema-3.pdf
Apunts-Tema-4.pdf
Modelos-estadisticos.pdf
Problemas-Tema-3.pdf
Problemas-Tema-7.pdf
Problemea-Tema-8.pdf

He publicado nuevos examenes de 2º Estadística: Q1-ESTADISTICA.pdf

7 páginas
Anónimo

@Anónimo

He publicado nuevos ejercicios de 2º Estadística: Excercicis_Estadistica.pdf

11 páginas

He publicado nuevos apuntes de 2º Estadística: apunts-estadistica.pdf

46 páginas
Anónimo

@Anónimo

He publicado nuevos ejercicios de 2º Estadística: Segundo-cuestionario-de-evaluacion-Q2-Revisio-de-lintent.pdf

8 páginas
Anónimo

@Anónimo

He publicado nuevos ejercicios de 2º Estadística: Cuestionario-examen-presencial-2-EP2-Revisio-de-lintent.pdf

13 páginas

He publicado nuevos apuntes de 2º Estadística: Programes-de-TOTS-els-temes.rar

Miniatura no disponible
rar

He publicado nuevos apuntes de 2º Estadística: Estadistica-Apuntes-ejercicios-y-examenes.pdf

108 páginas

examenes

-

Simulacre Parcial EST

He publicado nuevos examenes de 2º Estadística: Simulacre Parcial EST

Simulacro1.pdf

He publicado nuevos examenes de 2º Estadística: preguntas-CG.pdf

1 página

He publicado nuevos examenes de 2º Estadística: Q2-preguntas.pdf

1 página

He publicado nuevos examenes de 2º Estadística: examen-final-con-respuesta.pdf

8 páginas

He publicado nuevos examenes de 2º Estadística: ExamenR.pdf

11 páginas

He publicado nuevos examenes de 2º Estadística: Questionarimati2022sol.pdf

2 páginas

He publicado nuevos examenes de 2º Estadística: Questionarimati2022v1.pdf

2 páginas

He publicado nuevos apuntes de 2º Estadística: FORMULARIS-SEGON-PARCIAL.pdf

7 páginas

Programa Rstudio

Miniatura no disponible

Programa Rstudio

Miniatura no disponible

He publicado nuevos apuntes de 2º Estadística: Final-2.zip

Miniatura no disponible
zip

apuntes

-

RECOP MASTER DE PDF'S

He publicado nuevos apuntes de 2º Estadística: RECOP MASTER DE PDF'S

CUESTIONEST4.pdf
CUESTIONEST4SOLUCIONES.pdf
Enunciat-treball-teoria1.pdf
Formulari-Parcial-1.pdf
Jabiri-Bouteina-T1.pdf
Jabiri-Bouteina-T2-1.pdf

jijijaja

Miniatura no disponible

He publicado nuevos ejercicios de 2º Estadística: ESTADISTICA-EJERCICIOS.pdf

5 páginas

apuntes

-

APUNTES Y ESTUDIO P1 OTOÑO 2022

He publicado nuevos apuntes de 2º Estadística: APUNTES Y ESTUDIO P1 OTOÑO 2022

ESTUDI-P1.pdf
CLASE-P1.pdf

He publicado nuevos examenes de 2º Estadística: Q3-PREGUNTAS-CON-RESPUESTAS.pdf

8 páginas

He publicado nuevos examenes de 2º Estadística: PREGUNTAS-CON-RESPUESTAS-PARCIAL-3.pdf

14 páginas

ejercicios

-

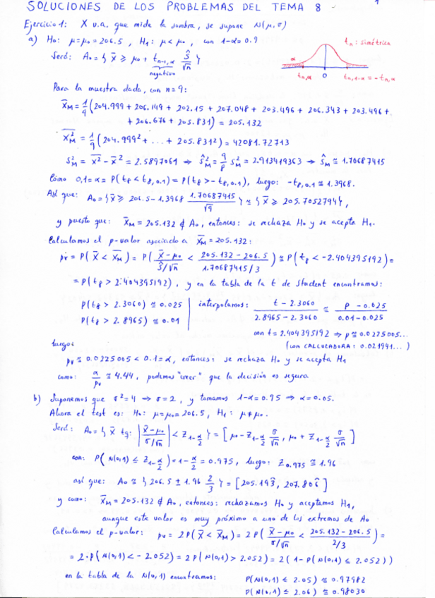
PROBLEMAS TEMA 8 Y SOLUCIONES

He publicado nuevos ejercicios de 2º Estadística: PROBLEMAS TEMA 8 Y SOLUCIONES

SOLUCIONES-PROBLEMAS-TEMA-8.pdf
PROBLEMAS-TEMA-8.pdf

apuntes

-

CLASE P3 OTOÑO 2022

He publicado nuevos apuntes de 2º Estadística: CLASE P3 OTOÑO 2022

CLASE-Y-APUNTES-TEMA-7.pdf
CLASE-Y-APUNTES-TEMA-8.pdf

practicas

-

ARCHIVOS PRÁCTICAS ESTADÍSTICA

He publicado nuevos practicas de 2º Estadística: ARCHIVOS PRÁCTICAS ESTADÍSTICA

Practica-1.pdf
Practica-2.pdf
Practica-3.pdf
PDF-Practica-2-R.pdf
PDF-Practica-1-R.pdf
PDF-Practica-3-R.pdf

examenes

-

CUESTIONARIOS CON RESPUESTAS OTOÑO 2022

He publicado nuevos examenes de 2º Estadística: CUESTIONARIOS CON RESPUESTAS OTOÑO 2022

CUESTIONARIO-1.pdf
CUESTIONARIO-2.pdf
CUESTIONARIO-3.pdf

apuntes

-

ESTUDI I PROBLEMES RESOLTS PARCIAL 2

He publicado nuevos apuntes de 2º Estadística: ESTUDI I PROBLEMES RESOLTS PARCIAL 2

ESTUDI-PARCIAL-2-i-PROBLEMES-RESOLTS-V2-0.pdf
ESTUDI-PARCIAL-2-i-PROBLEMES-RESOLTS-V1.pdf
ESTUDI-PARCIAL-2-i-PROBLEMES-RESOLTS-V2-1.pdf
ESTUDI-PARCIAL-2-i-PROBLEMES-RESOLTS-V2-2.pdf
ESTUDI-PARCIAL-2-i-PROBLEMES-RESOLTS-V1-1.pdf
ESTUDI-PARCIAL-2-i-PROBLEMES-RESOLTS-V2-4.pdf

He publicado nuevos examenes de 2º Estadística: SCRIPT-Q2.pdf

3 páginas

He publicado nuevos examenes de 2º Estadística: Q2-PREGUNTAS.pdf

5 páginas

He publicado nuevos apuntes de 2º Estadística: ResolucionEP1.pdf

5 páginas

He publicado nuevos apuntes de 2º Estadística: TEORÍA y EJERCICIOS TEMA 5.1

82 páginas

He publicado nuevos apuntes de 2º Estadística: TEORÍA y EJERCICIOS TEMA 4.2

34 páginas