Todo
Apuntes
Ejercicios
Exámenes
Prácticas
Test
chevron_left
chevron_right

examenes

-

EXAMENES RESUELTOS

He publicado nuevos examenes de 1º Estadística: EXAMENES RESUELTOS

JUNIO-2012-RESUELTO.pdf
JUNIO-2013-RESUELTO.pdf
JUNIO-2016-CUESTIONARIO-RESUELTO.pdf
JUNIO-2016-PROBLEMAS-RESUELTO.pdf
PRUEBA-SEGUIMIENTO-RESUELTO.pdf
SEPTIEMBRE-2012-RESUELTO.pdf

He publicado nuevos apuntes de 1º Estadística: Temas-1-y-2-Estadistica.pdf

4 páginas

He publicado nuevos apuntes de 1º Estadística: FORMULARIO-ESTADISTICA.pdf

15 páginas

He publicado nuevos apuntes de 1º Estadística: Tema-6.pdf

10 páginas

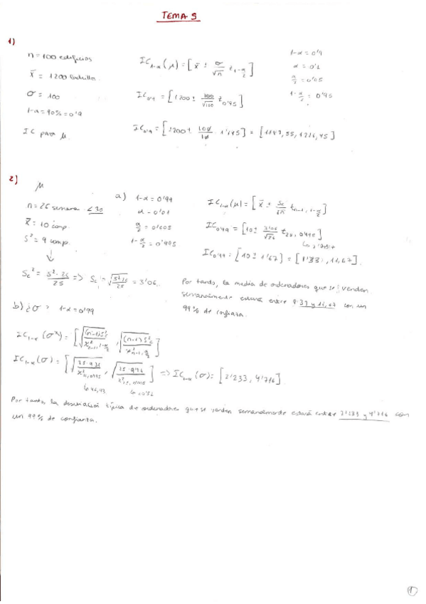
He publicado nuevos apuntes de 1º Estadística: Tema-5.pdf

8 páginas

He publicado nuevos apuntes de 1º Estadística: Tema-4-estadistica.pdf

11 páginas

He publicado nuevos apuntes de 1º Estadística: Tema-3-probabilidad-resumen.pdf

1 página

apuntes

-

RESOLUCIÓN PROBLEMAS SEMINARIOS

He publicado nuevos apuntes de 1º Estadística: RESOLUCIÓN PROBLEMAS SEMINARIOS

PROBLEMAS-TEMA-1-1.1-1.12.pdf
PROBLEMAS-TEMA-6-Y-7-6.16-6.19.pdf
PROBLEMAS-TEMA-4-4.12-4.25.pdf
PROBLEMAS-TEMA-4-4.2-4.10.pdf
PROBLEMAS-TEMA-2-2.1-2.13.pdf
PROBLEMAS-TEMA-3-3.1-3.19.pdf

EXAMEN MODELO 2025 RESUELTO

10 páginas

EXAMEN SEPTIEMBRE 2024 RESUELTO

11 páginas

He publicado nuevos ejercicios de 1º Estadística: problemas-Tema-5.pdf

7 páginas

He publicado nuevos ejercicios de 1º Estadística: problemas-Tema-4.pdf

10 páginas

He publicado nuevos ejercicios de 1º Estadística: problemas-Tema-3.pdf

3 páginas

He publicado nuevos ejercicios de 1º Estadística: problemas-Tema-2.pdf

5 páginas

He publicado nuevos ejercicios de 1º Estadística: problemas-Tema-1.pdf

3 páginas

He publicado nuevos apuntes de 1º Estadística: TEMA-1-apuntes.pdf

5 páginas

He publicado nuevos apuntes de 1º Estadística: TODAS-LAS-FORMULAS-DE-ESTADISTICA.pdf

9 páginas

He publicado nuevos apuntes de 1º Estadística: Bloque-1.-Tabla-coeficientes..pdf

2 páginas

He publicado nuevos apuntes de 1º Estadística: Tema-3.-Apuntes.pdf

4 páginas

He publicado nuevos apuntes de 1º Estadística: Tema-4.-Apuntes.pdf

12 páginas

He publicado nuevos apuntes de 1º Estadística: Tema-4.-Tabla-distribuciones-de-probabilidad..pdf

1 página

ejercicios

-

PROBLEMAS RESUELTOS

Problemas resueltos bloques 1, 2 y 3.

Problemas-sesion-5-6-y-7.pdf
Problemas-sesion-1.pdf
Problemas-sesion-2.pdf
Problemas-sesion-3.pdf
Problemas-sesion-4.pdf

He publicado nuevos examenes de 1º Estadística: examenes-otras-carreras-2.pdf

4 páginas

He publicado nuevos apuntes de 1º Estadística: resumen-temas-1-2-3-4-5-6-7-8.pdf

5 páginas

He publicado nuevos examenes de 1º Estadística: examenes-estadistica-otras-carreras-1.pdf

5 páginas
Anónimo

@Anónimo

He publicado nuevos ejercicios de 1º Estadística: Examen-2021.pdf

3 páginas
Anónimo

@Anónimo

He publicado nuevos examenes de 1º Estadística: Examen-Septiembre-2018.pdf

4 páginas
Anónimo

@Anónimo

He publicado nuevos examenes de 1º Estadística: Examen-Septiembre-2023.pdf

7 páginas

He publicado nuevos examenes de 1º Estadística: examenes-estadistica-full.pdf

7 páginas

He publicado nuevos apuntes de 1º Estadística: statgraphics-2023-2025.pdf

8 páginas

He publicado nuevos test de 1º Estadística: Simulacro-de-la-tercera-prueba-de-seguimiento-2024-2025.pdf

2 páginas

He publicado nuevos apuntes de 1º Estadística: preguntas-por-tema-con-solucion.pdf

4 páginas

He publicado nuevos apuntes de 1º Estadística: FORMULARIO-ESTADISTICA-Temas-1-5.pdf

5 páginas

He publicado nuevos practicas de 1º Estadística: Stargraphics-TEMA-5-6.pdf

4 páginas

He publicado nuevos practicas de 1º Estadística: Stargraphics-Resumen-Pasos-7-8-9.pdf

8 páginas

He publicado nuevos examenes de 1º Estadística: EXAMEN-Convocatoria-Septiembre-2023.pdf

5 páginas

He publicado nuevos examenes de 1º Estadística: EXAMEN-Convocatoria-Septiempre-2018-Opcion-B.pdf

3 páginas

He publicado nuevos apuntes de 1º Estadística: EXAMEN-Julio-2013.pdf

1 página

He publicado nuevos examenes de 1º Estadística: EXAMEN-Modelo-A.pdf

3 páginas

He publicado nuevos ejercicios de 1º Estadística: TODOS-PROBLEMAS-ESTADISTICA-SESION-5.pdf

Miniatura no disponible
pdf

He publicado nuevos ejercicios de 1º Estadística: TODOS-PROBLEMAS-ESTADISTICA-SESION-2.pdf

Miniatura no disponible
pdf

He publicado nuevos apuntes de 1º Estadística: Calculadora-estadistica-universal-tips-y-ayuda..pdf

Miniatura no disponible
pdf

He publicado nuevos examenes de 1º Estadística: EXAMEN-Problemas.pdf

Miniatura no disponible
pdf

He publicado nuevos apuntes de 1º Estadística: EXAMEN-Septiembre-2012.pdf

Miniatura no disponible
pdf

apuntes

-

TODOS APUNTES CLASE ESTADISTICA

Todos los apuntes de clase, de todos los dias.

Miniatura no disponible
APUNTES-TEMA-4.pdf
Miniatura no disponible
APUNTES-TEMA-1.pdf
Miniatura no disponible
APUNTES-TEMA-8-y-ejercicio-de-clase-del-tema..pdf
Miniatura no disponible
APUNTES-TEMA-5.pdf
Miniatura no disponible
APUNTES-TEMA-3.pdf
Miniatura no disponible
APUNTES-TEMA-2.pdf

Practicas Stargraphics resueltas paso a paso.

23 páginas

Resumen de las prácticas de Stargraphics, pasos a seguir para ejercicios y problemas.

1 página

apuntes

-

formulario/apuntes

He publicado nuevos apuntes de 1º Estadística: formulario/apuntes

formularios-y-apuntes.pdf

examenes

-

Tipo test parciales años anteriores

He publicado nuevos examenes de 1º Estadística: Tipo test parciales años anteriores

Tipo-test-parciales.pdf

examenes

-

Parciales resueltos de años anteriores

He publicado nuevos examenes de 1º Estadística: Parciales resueltos de años anteriores

Modelos-resueltos-primer-parcial.pdf
Modelos-resueltos-segundo-parcial.pdf
Modelos-resueltos-tercer-parcial.pdf

He publicado nuevos examenes de 1º Estadística: Modelo-Examen-RESUELTO.pdf

5 páginas

He publicado nuevos ejercicios de 1º Estadística: PROBLEMAS-TEMA-2.pdf

15 páginas

He publicado nuevos ejercicios de 1º Estadística: PROBLEMAS-TEMA-1.pdf

9 páginas

apuntes

-

Resúmenes Estadística

Curso 2020-2021

Tema-4.-Variable-Aleatoria.pdf
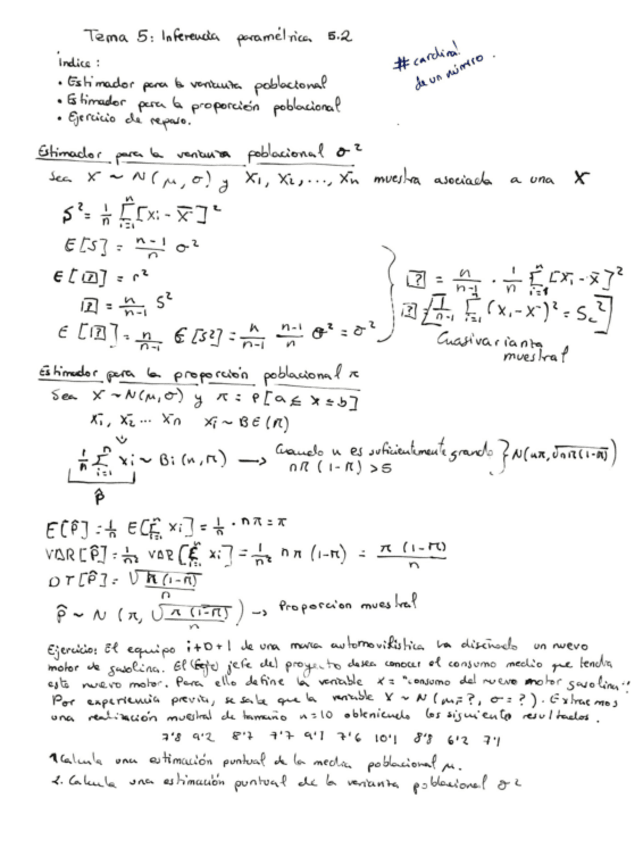
Tema-5.-Inferencia-Parametrica.pdf
Tema-6.-Contrastes-de-hipotesis-para-una-poblacion.pdf
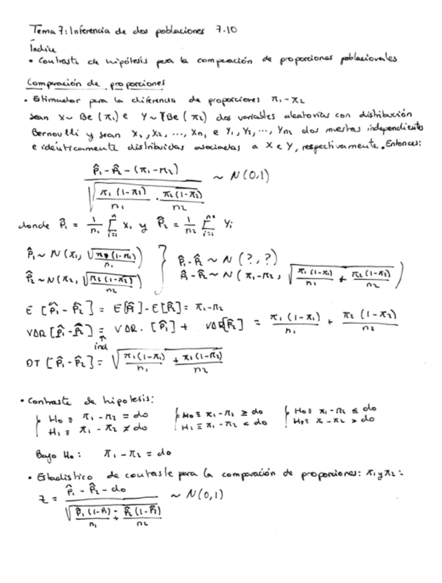
Tema-7.-Contrastes-de-hipotesis-para-dos-poblaciones.pdf
Practicas-1-4.pdf
Practicas-5-6.pdf

He publicado nuevos apuntes de 1º Estadística: tema-7-estadistica.pdf

10 páginas

He publicado nuevos apuntes de 1º Estadística: tema-7-estadistica-7.9-a-7.11.pdf

3 páginas

He publicado nuevos apuntes de 1º Estadística: tema-6-constatasteis-de-hipotesis.pdf

8 páginas

He publicado nuevos apuntes de 1º Estadística: tema-5-parametrica-5.1.pdf

4 páginas

He publicado nuevos apuntes de 1º Estadística: Tema-5-inferencia-parametrica-2-7.pdf

10 páginas

He publicado nuevos apuntes de 1º Estadística: tema-4-variable-aleatoria-4.6.pdf

3 páginas