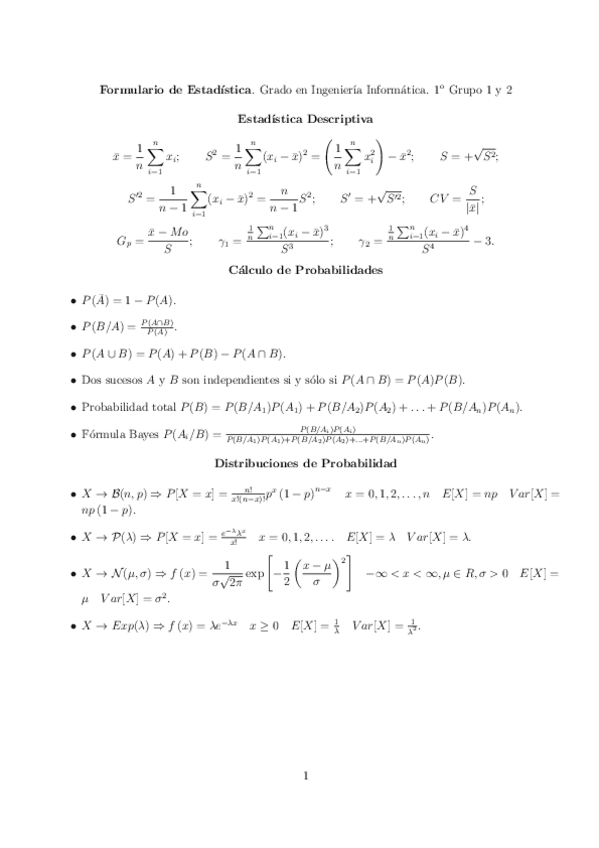
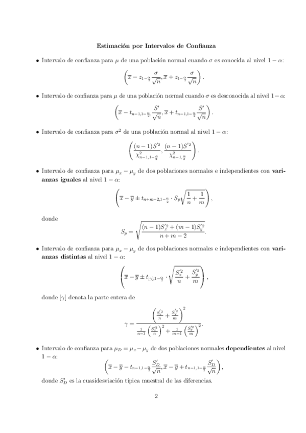
Estadística
Todo
Apuntes
Ejercicios
Prácticas
chevron_left
chevron_right
He publicado nuevos apuntes de 1º Estadística: Practica4-PASO-A-PASO.zip
He publicado nuevos practicas de 1º Estadística: Guion-practicas-Estadistica.docx
practicas
-
Ejercicios matlab
He publicado nuevos practicas de 1º Estadística: Ejercicios matlab
ejercicios
-
Relaciones de problemas
He publicado nuevos ejercicios de 1º Estadística: Relaciones de problemas
¡Estás al día!
Has visto todos los archivos