Estadística
He publicado nuevos apuntes de 1º Estadística: Horaris-POSTPARCIAL-biograus-2q2526.pdf
apuntes
-
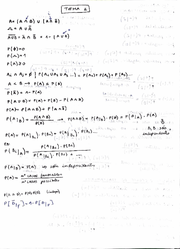
Temari parcial estadística
He publicado nuevos apuntes de 1º Estadística: Temari parcial estadística
Exercicis resolts del llistat 1 de probabilitat (T2) més explicats que el del campus virtual (amb arbre)
apuntes
-
Estadística
Apunts i resums d'estadística (2n semestre Biologia UB). Molt recomanable que els temes 1 i 2 si els enteneu mireu directament el resum/formulari.
El nou quadrimestre ja és aquí! ? Assegura’t la millor preparació amb els grups de la SOL i afronta el segon quadri amb confiança i resultats. Gaudeix ara, rendeix després. ? Reserves per WhatsApp!
He publicado nuevos examenes de 1º Estadística: 23-24-prova-sintesi-solucio-Bv3.pdf
He publicado nuevos examenes de 1º Estadística: 23-24-prova-sintesi-solucio-Av2.pdf
apuntes
-
Estadística
He publicado nuevos apuntes de 1º Estadística: Estadística
SOL FORMACIÓ: 🎓 Comencem el curs amb tu! Des de l’acadèmia volem acompanyar-te durant tot el quadrimestre perquè treguis el màxim rendiment. Ja tenim a punt els horaris dels cursos extensius, que comencen el 22 de setembre. 👉 Disposes de dues setmanes de prova gratuïta i sense compromís per conèixer el nostre equip i mètode. 🪑 Places limitades – Reserva la teva ja! 📣 Recomana’ns als teus companys i aprofita la Promo Amig@. 📲 Segueix-nos a xarxes per estar al dia de les promocions i novetats del nostre 50è aniversari: @ub.solformacion
Darrers CAES Finals. Encara no has reservat la teva plaça? Assegura't l'aprovat a la SOL. L'acadèmia amb més e
Reserva: 622 23 53 53

Canvi horari PREIntensiu Final Estadística SOL

apuntes
-
SCRIPTS AMB APUNTS
He publicado nuevos apuntes de 1º Estadística: SCRIPTS AMB APUNTS
apuntes
-
SCRIPTS PRÀCTIQUESR
He publicado nuevos apuntes de 1º Estadística: SCRIPTS PRÀCTIQUESR
He publicado nuevos practicas de 1º Estadística: Questionaris-2.1-i-2.2-estadistica.pdf
Documento que proporciona la academia Top Sabino para sus estudiantes. Se trata del tema 3 (modelos probabilísticos discretos, el dosier de teoría).
examenes
-
EXAMEN FINAL ESTADÍSTICA
He publicado nuevos examenes de 1º Estadística: EXAMEN FINAL ESTADÍSTICA
Inici Classes Quadri Primavera: 17/02 · Fase de prova gratuïta fins el 28/02
SOL FORMACIÓ.- Consulta els horaris dels nostres extensius per aquest quadri de primavera 2q 24-25. 📆 📚Organitza't i reserva aviat per no quedar-te sense la teva plaça. T'esperem a partir del 17 de febrer a la SOL! 🔥Gaudeix del període de prova gratuït fins el 28 de febrer.🔥 Consulta més info sobre les promos i els descomptes que tenim per a tu a la nostra seretaria: 622235353 · https://www.solformacion.es/graus-ub/fac-biologia Imprescindible reserva de plaça per poder assistir a les classes. T'esperem!!☀️💪 ℹ️ No fem el curs que necessites o els horaris plantejats no et van bé? Contacta'ns!
He publicado nuevos otros de 1º Estadística: 2Q-2024-2025-Extensius-Biograus.pdf
He publicado nuevos practicas de 1º Estadística: TOT-Practiques-estadistica.pdf
He publicado nuevos examenes de 1º Estadística: examen-2021-sintesi-juny-solucio-2.pdf
He publicado nuevos examenes de 1º Estadística: examen-juny-2019-resolt-1.pdf
He publicado nuevos examenes de 1º Estadística: PROVA-PARCIAL-20-21-AMB-SOLUCIO-3.pdf
He publicado nuevos practicas de 1º Estadística: SOLUCIONS-PRACTICA-2-ESTADISTICA.pdf
He publicado nuevos practicas de 1º Estadística: SOLUCIONS-PRACTICA-1-ESTADISTICA-1.pdf
apuntes
-
APUNTS TEMES 1, 2, 3, 4, 5 I 6
He publicado nuevos apuntes de 1º Estadística: APUNTS TEMES 1, 2, 3, 4, 5 I 6
apuntes
-
FORMULARI PER TEMES
He publicado nuevos apuntes de 1º Estadística: FORMULARI PER TEMES
He publicado nuevos examenes de 1º Estadística: Solucio-examen-parcial-2017.pdf
He publicado nuevos examenes de 1º Estadística: Solucio-examen-parcial-2021.pdf
examenes
-
EXAMS I PRÀCTIQUES ESTADÍSTICA (202-2021)
He publicado nuevos examenes de 1º Estadística: EXAMS I PRÀCTIQUES ESTADÍSTICA (202-2021)
apuntes
-
ESTADISTICA (2021-2021)
He publicado nuevos apuntes de 1º Estadística: ESTADISTICA (2021-2021)
He publicado nuevos ejercicios de 1º Estadística: Ejercicios-modelos-discretos.pdf
He publicado nuevos ejercicios de 1º Estadística: Ejercicios-modelos-continuos.pdf
He publicado nuevos examenes de 1º Estadística: 22-23-EXAMEN-JUNY-AMB-SOLUCIO-B.pdf
He publicado nuevos examenes de 1º Estadística: 22-23-examen-juny-sintesi-SOLUCIO-A.pdf
apuntes
-
Apunts Estadística
He publicado nuevos apuntes de 1º Estadística: Apunts Estadística
apuntes
-
Esquemes teoria estadística
He publicado nuevos apuntes de 1º Estadística: Esquemes teoria estadística
molt resumits i esquematitzats amb tota la informació
He publicado nuevos examenes de 1º Estadística: estadistica-parcial-2021.pdf
apuntes
-
apunts classes gravades
He publicado nuevos apuntes de 1º Estadística: apunts classes gravades
He publicado nuevos apuntes de 1º Estadística: Estadistica-T.-1-2-i-3.pdf
He publicado nuevos apuntes de 1º Estadística: Estadistica-Segona-Part-inferencia-estadistica-T4-T7.pdf
He publicado nuevos apuntes de 1º Estadística: Estadistica-Primera-Part-T1-T3.pdf
apuntes
-
APUNTES CON EJERCICIOS
He publicado nuevos apuntes de 1º Estadística: APUNTES CON EJERCICIOS
He publicado nuevos apuntes de 1º Estadística: Tema-4-Inferencia-estadistica.pdf
He publicado nuevos apuntes de 1º Estadística: Tema-1-Estadistica-descriptiva.pdf
apuntes
-
Estadística
He publicado nuevos apuntes de 1º Estadística: Estadística
He publicado nuevos apuntes de 1º Estadística: Tema-3-Variables-aleatories.pdf
He publicado nuevos apuntes de 1º Estadística: Tema-2-Probabilitat.pdf