chevron_left
chevron_right
Todo
Apuntes
Ejercicios
Exámenes
Otros
Prácticas
chevron_left
chevron_right

He publicado nuevos apuntes de 2º Estadística: Hoja-5-resuelta.pdf

6 páginas

He publicado nuevos apuntes de 2º Estadística: Hoja-3-resuelta-parte-2.pdf

11 páginas

He publicado nuevos ejercicios de 2º Estadística: Hoja-3-resuelta-parte-1.pdf

11 páginas

He publicado nuevos apuntes de 2º Estadística: Hoja-6-resuelta.pdf

11 páginas

He publicado nuevos apuntes de 2º Estadística: Entrega-estadistica-temas-345-2025.pdf

11 páginas

He publicado nuevos apuntes de 2º Estadística: Hoja-4-resuelta.pdf

5 páginas

He publicado nuevos apuntes de 2º Estadística: Resumen.pdf

2 páginas

He publicado nuevos apuntes de 2º Estadística: Resumen-Estadistica.pdf

5 páginas
Anónimo

@Anónimo

apuntes

-

Estadística_Curso_2

He publicado nuevos apuntes de 2º Estadística: Estadística_Curso_2

Tema-1Introduccion.pdf
Tema-2EstadisticosMuestrales.pdf
Tema-3PoblacionesNormales.pdf
Tema-4ReduccionDatos.pdf
Tema-5EstimacionPuntual.pdf
Tema-6MetodosConstruccionEstimadores.pdf

He publicado nuevos practicas de 2º Estadística: 4entrega.pdf

7 páginas
Anónimo

@Anónimo

apuntes

-

Resúmenes

He publicado nuevos apuntes de 2º Estadística: Resúmenes

Resumenes.pdf
Tabla2.pdf
Tabla1.pdf
Tabla3.pdf

He publicado nuevos apuntes de 2º Estadística: Estadisticaejercicios.pdf

97 páginas

He publicado nuevos apuntes de 2º Estadística: TEMA-2.pdf

14 páginas

He publicado nuevos apuntes de 2º Estadística: TEMA-1.pdf

9 páginas

He publicado nuevos examenes de 2º Estadística: Examen-junio-2018-E202010230001.pdf

2 páginas

He publicado nuevos examenes de 2º Estadística: Examen-2019-mayo-EST202010230001.pdf

2 páginas

apuntes

-

ESTADISTICA_LuisSanz

He publicado nuevos apuntes de 2º Estadística: ESTADISTICA_LuisSanz

ESTT4Parte1LuisSanz.pdf
ESTT5Parte1EjercsLuisSanz.pdf
ESTH3-1LuisSanz.pdf
ESTT2LuisSanz.pdf
ESTH1LuisSanz.pdf
ESTH2LuisSanz.pdf

apuntes

-

Estadística

He publicado nuevos apuntes de 2º Estadística: Estadística

Estadistica-2009-2010-A-Junio.pdf
Estadistica-2010-2011-AyC-Junio-Cuestiones.pdf
Estadistica-2011-2012-Junio.pdf
Estadistica6.pdf
Estadistica-2012-2013-Junio.pdf
Estadistica-2010-2011-AyC-Junio-Problemas.pdf

He publicado nuevos apuntes de 2º Estadística: Tema 1 est.pdf

20 páginas

He publicado nuevos apuntes de 2º Estadística: Tema 2.pdf

68 páginas

He publicado nuevos ejercicios de 2º Estadística: Hoja 2.pdf

14 páginas

He publicado nuevos apuntes de 2º Estadística: Tema1Est.pdf

6 páginas

He publicado nuevos ejercicios de 2º Estadística: Hoja 1 con soluciones.pdf

4 páginas

otros

-

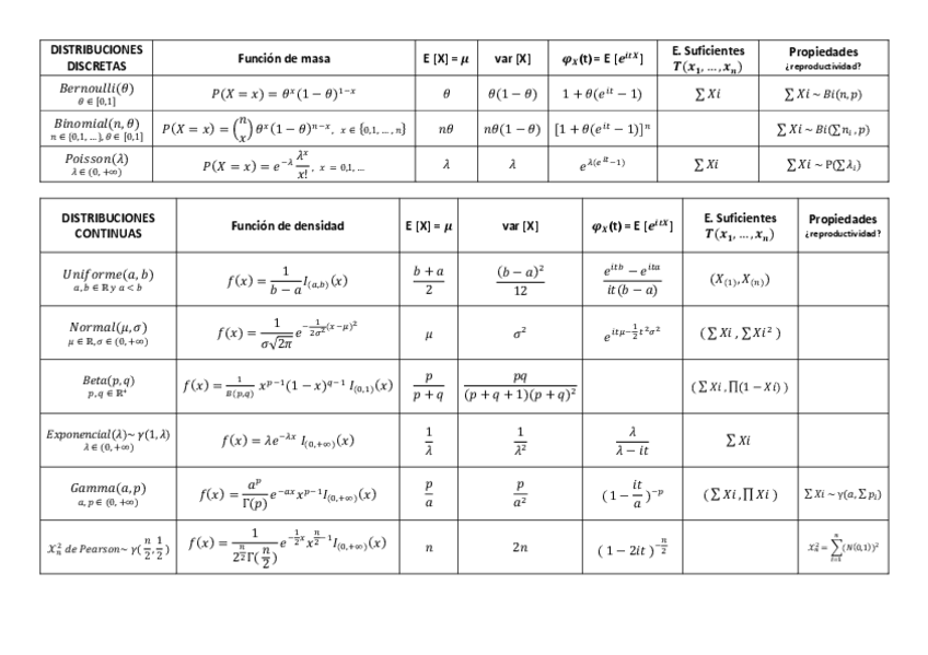
Tablas de Distribuciones

Distribuciones continuas y discretas

tabla_dist__discretas.pdf
tabla_dist_continuas.pdf

Formato folio

16 páginas

formato folio

6 páginas

Teoría. formato folio

12 páginas

formato folio. Teoría

10 páginas

Teoría e incluye un par de ejercicios de la hoja 3.2

28 páginas

Teoría

16 páginas

Enunciados

2 páginas

Enunciados

2 páginas

He publicado nuevos apuntes de 2º Estadística: Tema1y2_est_curso15-16.pdf

12 páginas

formato folios

9 páginas
¡Estás al día!

¡Estás al día!

Has visto todos los archivos