Todo
Apuntes
Ejercicios
Exámenes
Prácticas
Test
chevron_left
chevron_right

examenes

-

EXAMENES RESUELTOS

He publicado nuevos examenes de 1º Estadística: EXAMENES RESUELTOS

JUNIO-2012-RESUELTO.pdf
JUNIO-2013-RESUELTO.pdf
JUNIO-2016-CUESTIONARIO-RESUELTO.pdf
JUNIO-2016-PROBLEMAS-RESUELTO.pdf
PRUEBA-SEGUIMIENTO-RESUELTO.pdf
SEPTIEMBRE-2012-RESUELTO.pdf

He publicado nuevos apuntes de 1º Estadística: FORMULARIO-ESTADISTICA.pdf

11 páginas

He publicado nuevos examenes de 1º Estadística: Tercera-prueba-de-seguimiento.pdf

5 páginas

He publicado nuevos examenes de 1º Estadística: EXAMEN-2024-B.pdf

6 páginas

apuntes

-

PROBLEMAS RESUELTOS SEMINARIOS

He publicado nuevos apuntes de 1º Estadística: PROBLEMAS RESUELTOS SEMINARIOS

PROBLEMAS-TEMA-1-1.1-1.12.pdf
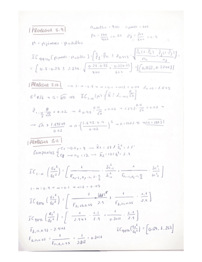
PROBLEMAS-TEMA-5-5.1-5.9.pdf
PROBLEMAS-TEMA-6-Y-7-6.16-6.19.pdf
PROBLEMAS-TEMA-4-4.12-4.25.pdf
PROBLEMAS-TEMA-5-5.9-5.18.pdf
PROBLEMAS-TEMA-3-3.1-3.19.pdf

EXAMEN SEPTIEMBRE 2024 RESUELTO

7 páginas

EXAMEN MODELO 2025 RESUELTO

6 páginas

He publicado nuevos apuntes de 1º Estadística: Formulario-Estadistica-Temas-1-6.pdf

11 páginas

He publicado nuevos examenes de 1º Estadística: EXAMEN-2024-A.pdf

5 páginas
Anónimo

@Anónimo

He publicado nuevos examenes de 1º Estadística: Simulacro-segunda-prueba-de-seguimiento.pdf

3 páginas
Anónimo

@Anónimo

He publicado nuevos examenes de 1º Estadística: Primera-prueba-de-seguimiento.pdf

5 páginas

He publicado nuevos examenes de 1º Estadística: Estadistica-septiembre-2024-GIE.pdf

9 páginas

He publicado nuevos examenes de 1º Estadística: Examen-estadistica-septiembre-2023.pdf

5 páginas

He publicado nuevos ejercicios de 1º Estadística: PROBLEMAS-TEMA-7-AAA.pdf

21 páginas

He publicado nuevos ejercicios de 1º Estadística: PROBLEMAS-TEMA-8-AA.pdf

4 páginas

ejercicios

-

Todo Problemas+Resúmenes

Es el mismo doc dividido, si no os deja descargar ponédmelo porfa

Todo-Problemas-Resumenes-Estadistica-1.pdf
Todo-Problemas-Resumenes-Estadistica-2.pdf
Todo-Problemas-Estadistica-3.pdf

He publicado nuevos ejercicios de 1º Estadística: PROBLEMASS-TEMA-4.pdf

25 páginas

He publicado nuevos ejercicios de 1º Estadística: PROBLEMASS-TEMA-6.pdf

20 páginas

He publicado nuevos ejercicios de 1º Estadística: PROBLEMAS-TEMA-6.pdf

23 páginas

He publicado nuevos ejercicios de 1º Estadística: PROBLEMAS-TEMA-5.pdf

18 páginas

He publicado nuevos ejercicios de 1º Estadística: PROBLEMAS-TEMA-4.pdf

27 páginas

He publicado nuevos ejercicios de 1º Estadística: PROBLEMAS-TEMA-3.pdf

7 páginas

He publicado nuevos ejercicios de 1º Estadística: PROBLEMAS-TEMA-2.pdf

6 páginas

He publicado nuevos ejercicios de 1º Estadística: PROBLEMAS-TEMA-1.pdf

5 páginas

He publicado nuevos apuntes de 1º Estadística: APUNTES-TEMA-4.pdf

5 páginas

He publicado nuevos apuntes de 1º Estadística: APUNTES-TEMA-5.pdf

4 páginas

He publicado nuevos apuntes de 1º Estadística: APUNTES-TEMA-3.pdf

8 páginas

He publicado nuevos apuntes de 1º Estadística: APUNTES-TEMA-1.pdf

14 páginas

He publicado nuevos apuntes de 1º Estadística: APUNTES-TEMA-2.pdf

9 páginas

ejercicios

-

ejercicios de repaso para el exámen

He publicado nuevos ejercicios de 1º Estadística: ejercicios de repaso para el exámen

Ej-repaso-1.pdf
Ej-repaso-2.pdf
Ej-repaso-3.pdf
Ej-repaso-4.pdf
Ej-repaso-5.pdf
Ej-repaso-6.pdf

He publicado nuevos examenes de 1º Estadística: Examen.pdf

4 páginas

He publicado nuevos examenes de 1º Estadística: EXAMEN-ESTADISTICA-SEPTIEMBRE-2024A.pdf

5 páginas

He publicado nuevos examenes de 1º Estadística: EXAMEN-ESTADISTICA-2024-SEPTIEMBRE.pdf

6 páginas

apuntes

-

RESUMEN-ESTADÍSTICA

He publicado nuevos apuntes de 1º Estadística: RESUMEN-ESTADÍSTICA

E.1.pdf
E.2.pdf
E.3.pdf
E.5.pdf
E.6.pdf
E.7.pdf

apuntes

-

APUNTES-ESTADÍSTICA

He publicado nuevos apuntes de 1º Estadística: APUNTES-ESTADÍSTICA

Estadistica-2.pdf
Estadistica-3.pdf
Estadistica-4.pdf
Estadistica-5.pdf
Estadistica-1.pdf

He publicado nuevos test de 1º Estadística: RECOPILACION-TEST-ESTADISTICA.pdf

55 páginas

He publicado nuevos examenes de 1º Estadística: JUNIO-2023-RESUELTO.pdf

8 páginas

He publicado nuevos ejercicios de 1º Estadística: problemas-4.14-y-4.15.pdf

4 páginas

He publicado nuevos apuntes de 1º Estadística: Tema-4-Estadistica.pdf

5 páginas

He publicado nuevos apuntes de 1º Estadística: Estadistica-Tema-3.pdf

5 páginas

He publicado nuevos apuntes de 1º Estadística: Estadistica-Tema-2.pdf

4 páginas

He publicado nuevos apuntes de 1º Estadística: Tema-1-Estadistica.pdf

5 páginas

He publicado nuevos examenes de 1º Estadística: EXAMENES-RESUELTOS-II.pdf

5 páginas

He publicado nuevos examenes de 1º Estadística: EXAMENES-RESUELTOS-I.pdf

24 páginas

He publicado nuevos apuntes de 1º Estadística: FORMULARIO-ESTADISTICA.pdf

2 páginas

He publicado nuevos examenes de 1º Estadística: Modelo-Examen-RESUELTO.pdf

8 páginas

He publicado nuevos test de 1º Estadística: recopilatorio-de-preguntas-prueba-de-seguimiento-3.pdf

30 páginas

He publicado nuevos ejercicios de 1º Estadística: PROBLEMAS-TEMA-2.pdf

12 páginas

He publicado nuevos ejercicios de 1º Estadística: PROBLEMAS-TEMA-1.pdf

11 páginas

He publicado nuevos ejercicios de 1º Estadística: Estadistica-Problemas.pdf

17 páginas

He publicado nuevos apuntes de 1º Estadística: Todo-el-temario-de-estadistica.pdf

75 páginas

He publicado nuevos apuntes de 1º Estadística: Tabla-Examen.pdf

7 páginas

He publicado nuevos apuntes de 1º Estadística: Formulario-T7.pdf

2 páginas

test

-

simulacro test temas 5-7

He publicado nuevos test de 1º Estadística: simulacro test temas 5-7

Captura-de-pantalla-65.png
Captura-de-pantalla-64.png
Captura-de-pantalla-61.png
Captura-de-pantalla-62.png
Captura-de-pantalla-63.png

apuntes

-

Tm 7 Inferencia (2poblc)

He publicado nuevos apuntes de 1º Estadística: Tm 7 Inferencia (2poblc)

Tm-7-Inferencia-2poblc.pdf

apuntes

-

Tm 6 Contraste de Hipotesis (1pobl)

He publicado nuevos apuntes de 1º Estadística: Tm 6 Contraste de Hipotesis (1pobl)

Tm-6-Contraste-de-Hipotesis-1pobl.pdf

apuntes

-

Tm 5 Inferencia Parametrica (1pobl)

He publicado nuevos apuntes de 1º Estadística: Tm 5 Inferencia Parametrica (1pobl)

Tm-5-Inferencia-Parametrica-1pobl.pdf

He publicado nuevos apuntes de 1º Estadística: Descargar-para-aprobar-TEMAS-1-7.pdf

57 páginas

apuntes

-

Todos los temas (Actualiza) LLEGÓ PAPÁ

He publicado nuevos apuntes de 1º Estadística: Todos los temas (Actualiza) LLEGÓ PAPÁ

T2-Estadistica-descriptiva-bivariante.pdf
T5-Inferencia-parametrica.pdf
T4-Variables-aleatorias.pdf
T1-Estadistica-descriptiva-univariante.pdf
T3-Probabilidad.pdf

He publicado nuevos apuntes de 1º Estadística: PRUEBA-SEGUIMIENTO-TEMAS-3-4-Y-P.pdf

3 páginas