chevron_left
chevron_right
Todo
Apuntes
Ejercicios
Exámenes
Prácticas
Test
chevron_left
chevron_right

examenes

-

EXAMENES RESUELTOS

He publicado nuevos examenes de 1º Estadística: EXAMENES RESUELTOS

JUNIO-2012-RESUELTO.pdf
JUNIO-2013-RESUELTO.pdf
JUNIO-2016-CUESTIONARIO-RESUELTO.pdf
JUNIO-2016-PROBLEMAS-RESUELTO.pdf
PRUEBA-SEGUIMIENTO-RESUELTO.pdf
SEPTIEMBRE-2012-RESUELTO.pdf

He publicado nuevos examenes de 1º Estadística: Examen-Junio-2023.pdf

2 páginas

He publicado nuevos examenes de 1º Estadística: Preguntas-De-Teoria-Examenes-Anteriores.pdf

2 páginas

He publicado nuevos examenes de 1º Estadística: Examen-Junio-2025.pdf

2 páginas

He publicado nuevos examenes de 1º Estadística: ExamenESTESI2024.pdf

6 páginas

apuntes

-

Todos los ejercicios (enunciados en español)

Los ire subiendo de todos los temas

Problemas-T3.pdf
Problemas-T2.pdf
Problemas-T1.pdf
Problemas-T4.pdf
Problemas-T5.pdf
Problemas-T6.pdf

He publicado nuevos apuntes de 1º Estadística: FORMULARIO-ESTADISTICA.pdf

2 páginas

He publicado nuevos apuntes de 1º Estadística: FORMULARIO-ESTADISTICA.pdf

13 páginas

Formulario estadística

8 páginas

He publicado nuevos examenes de 1º Estadística: EXAMEN-2024-B.pdf

8 páginas

apuntes

-

PROBLEMAS RESUELTOS

He publicado nuevos apuntes de 1º Estadística: PROBLEMAS RESUELTOS

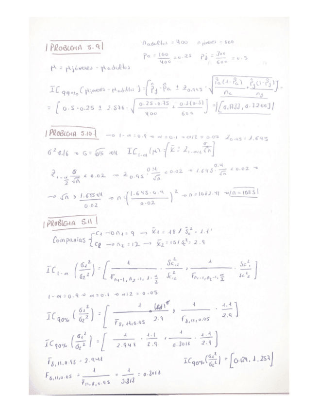
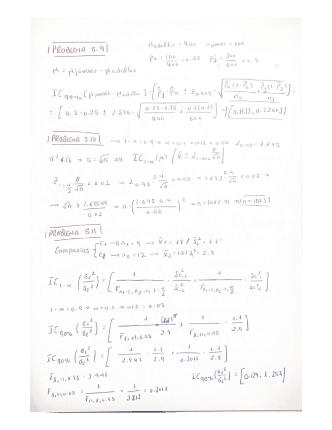
PROBLEMAS-TEMA-5-5.9-5.18.pdf
PROBLEMAS-TEMA-5-5.1-5.9.pdf
PROBLEMAS-TEMA-1-1.1-1.12.pdf
PROBLEMAS-TEMA-6-y-7-6.1-6.16.pdf
PROBLEMAS-TEMA-6-Y-7-6.16-6.19.pdf
PROBLEMAS-TEMA-4-4.12-4.25.pdf

EXAMEN SEPTIEMBRE 2024 RESUELTO

9 páginas

EXAMEN MODELO 2025 RESUELTO

8 páginas

ejercicios

-

Boletines Temas 1 al 6

He publicado nuevos ejercicios de 1º Estadística: Boletines Temas 1 al 6

T.4.-Variable-aleatoria.pdf
T.3.-Teoria-de-la-Probabilidad.pdf
T.2.-Estadistica-bivariante.pdf
T.1.-Estadistica-univariante.pdf
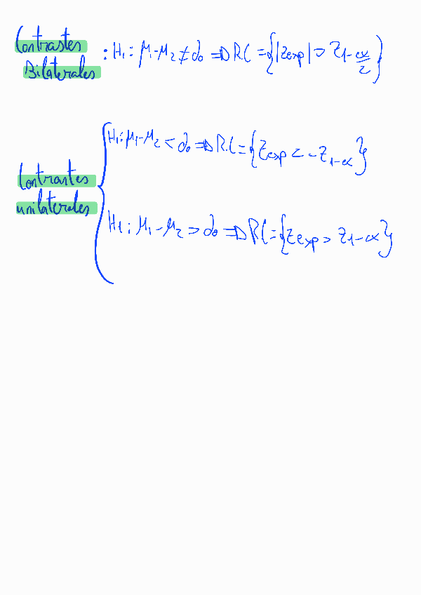
T.6.-Contrastes-de-hipotesis.pdf
T.5.-Inferencia-parametrica.pdf

He publicado nuevos examenes de 1º Estadística: EXAMEN-2024-A.pdf

7 páginas

He publicado nuevos ejercicios de 1º Estadística: PROBLEMAS-TEMA-7-A.pdf

19 páginas

He publicado nuevos ejercicios de 1º Estadística: PROBLEMAS-TEMA-8.pdf

2 páginas

He publicado nuevos examenes de 1º Estadística: examen-estadistica-septiembre-24-resuelto.pdf

6 páginas

He publicado nuevos examenes de 1º Estadística: EXAMEN-ESTADISTICA-SEPTIEMBRE-2024AAA.pdf

7 páginas

He publicado nuevos apuntes de 1º Estadística: FORMULARIOT7DOSPOBLACIONES.pdf

6 páginas

He publicado nuevos apuntes de 1º Estadística: FORMULAROOT5.pdf

4 páginas

He publicado nuevos apuntes de 1º Estadística: FORMULARIOT6.pdf

6 páginas

He publicado nuevos apuntes de 1º Estadística: FORMULARIOT4.pdf

8 páginas

He publicado nuevos apuntes de 1º Estadística: FORMULARIOT1T2.pdf

7 páginas

He publicado nuevos apuntes de 1º Estadística: FORMULARIOT3.pdf

2 páginas

He publicado nuevos test de 1º Estadística: RECOPILACION-TEST-ESTADISTICA-AA.pdf

55 páginas

He publicado nuevos examenes de 1º Estadística: JUNIO-2023-RESUELTO.pdf

7 páginas

He publicado nuevos apuntes de 1º Estadística: practica-3-examen.pdf

2 páginas

He publicado nuevos apuntes de 1º Estadística: TEORIA-T.3-ESTADISTICA.pdf

4 páginas

He publicado nuevos apuntes de 1º Estadística: Resumen-tema-probabilidad.pdf

1 página

He publicado nuevos apuntes de 1º Estadística: RESUMEN-BLOQUE-1-ESTADISTICA.pdf

2 páginas

He publicado nuevos test de 1º Estadística: test-estadistica.pdf

2 páginas

He publicado nuevos ejercicios de 1º Estadística: Ejercicios-examenes-estadistica.pdf

13 páginas

He publicado nuevos examenes de 1º Estadística: Modelo-Examen-RESUELTO.pdf

4 páginas

He publicado nuevos ejercicios de 1º Estadística: PROBLEMAS-TEMA-2.pdf

10 páginas

He publicado nuevos ejercicios de 1º Estadística: problemas-tema-1.pdf

5 páginas

He publicado nuevos ejercicios de 1º Estadística: PROBLEMAS-TEMA-1.pdf

7 páginas

He publicado nuevos examenes de 1º Estadística: Test-JUNIO-2022-RESUELTAS.pdf

2 páginas

He publicado nuevos apuntes de 1º Estadística: Una-pagina-de-estadistica.pdf

1 página

He publicado nuevos ejercicios de 1º Estadística: ilovepdfmerged.pdf

9 páginas

He publicado nuevos apuntes de 1º Estadística: ESTADISTICA.pdf

43 páginas

He publicado nuevos apuntes de 1º Estadística: 16637618972815792307422335837823.jpg

Imagen

apuntes

-

FORMULARIO TEMA 7

He publicado nuevos apuntes de 1º Estadística: FORMULARIO TEMA 7

16637618174448266292185878534402.jpg
16637617904354579564074121675071.jpg
16637618070155476020778106495181.jpg

examenes

-

EXAMENES AÑOS ANTERIORES

He publicado nuevos examenes de 1º Estadística: EXAMENES AÑOS ANTERIORES

16637612024584572054935096866121.jpg
16637612390374622739986109284716.jpg
16637612167138210133957658593448.jpg
1663761230182494776584627056507.jpg
16637612872313660958528231584999.jpg
1663761273210493795677313956758.jpg

apuntes

-

Pasar binomial y Poisson a normal

He publicado nuevos apuntes de 1º Estadística: Pasar binomial y Poisson a normal

16637609462651509484116261585030.jpg
16637609357048597758549309487291.jpg

apuntes

-

Ejercicios tema 4 para aprobar

He publicado nuevos apuntes de 1º Estadística: Ejercicios tema 4 para aprobar

1663760786346604245257861818712.jpg
16637607066119139359205382272314.jpg
16637606828339181317402675319837.jpg
16637607702544147325948413228495.jpg
16637607361917046557867877435004.jpg
16637607282718071349682322685259.jpg

apuntes

-

Ejercicios tema 3 para aprobar

He publicado nuevos apuntes de 1º Estadística: Ejercicios tema 3 para aprobar

16637604174123732004105275577979.jpg
16637603999875334971174612950238.jpg
16637603718183669609310792746950.jpg
166376039187990570581338290765.jpg
16637603832734659662862323592035.jpg

apuntes

-

Ejercicios tema 2 para aprobar

He publicado nuevos apuntes de 1º Estadística: Ejercicios tema 2 para aprobar

16637602087945369970248933526100.jpg
16637601726041496212429022913456.jpg
1663760156031251627392296523978.jpg
16637601985054408043203039661035.jpg
16637601874194449593140778792563.jpg
16637602200294119523613921213541.jpg

apuntes

-

Ejercicios tema 1 para aprobar

He publicado nuevos apuntes de 1º Estadística: Ejercicios tema 1 para aprobar

16637599987346708935905289342637.jpg
16637600139702801044344582918464.jpg
16637599724782352155769774393067.jpg
16637599636863661666423884673570.jpg
16637599843394564718826942591193.jpg

apuntes

-

Tema 4 v. Aleatoria

He publicado nuevos apuntes de 1º Estadística: Tema 4 v. Aleatoria

16637598536331450749798800737841.jpg
16637598359134623500968026224819.jpg
16637598632386778408924169064345.jpg
16637598243239185632309697227779.jpg
16637598454216173893343150199624.jpg
16637598048363996839644509383803.jpg

He publicado nuevos apuntes de 1º Estadística: FORMULARIO TEMA 2.jpg

Imagen

He publicado nuevos apuntes de 1º Estadística: Apuntes.pdf

40 páginas

He publicado nuevos examenes de 1º Estadística: PRUEBA-SEGUIMIENTO-TEMAS-5-7-Y-P.pdf

5 páginas
Anónimo

@Anónimo

examenes

-

PRUEBAS SEGUIMIENTO EST. (ACTUALIZANDO)

He publicado nuevos examenes de 1º Estadística: PRUEBAS SEGUIMIENTO EST. (ACTUALIZANDO)

PRUEBA-SEGUIMIENTO-TEMAS-1-2-Y-P.pdf
SIMULACRO-estadistica-temas.pdf
PRUEBA-SEGUIMIENTO-TEMAS-3-4-Y-P.pdf
SIMULACRO-estadistica-temas.pdf
PRUEBA-SEGUIMIENTO-TEMAS-5-7-Y-P.pdf

He publicado nuevos examenes de 1º Estadística: SIMULACRO-estadistica-temas.pdf

2 páginas

He publicado nuevos apuntes de 1º Estadística: Descargar-para-aprobar-TEMAS-1-8.pdf

57 páginas

apuntes

-

Todos los temas (Actualiza) LLEGÓ PAPÁ

He publicado nuevos apuntes de 1º Estadística: Todos los temas (Actualiza) LLEGÓ PAPÁ

T4-Variables-aleatorias.pdf
T3-Probabilidad.pdf
T1-Estadistica-descriptiva-univariante.pdf
T2-Estadistica-descriptiva-bivariante.pdf
T5-Inferencia-parametrica.pdf
T6-Contrastes-de-hipotesis-para-una-poblacion.pdf

apuntes

-

Todos los temas (ACTUALIZA)LLEGÓ PAPÁ

He publicado nuevos apuntes de 1º Estadística: Todos los temas (ACTUALIZA)LLEGÓ PAPÁ

T4-Variables-aleatorias.pdf
T3-Probabilidad.pdf
T2-Estadistica-descriptiva-bivariante.pdf
T1-Estadistica-descriptiva-univariante.pdf
T5-Inferencia-parametrica.pdf
T6-Contrastes-de-hipotesis-para-una-poblacion.pdf

apuntes

-

RESÚMENES/FORMULARIOS

He publicado nuevos apuntes de 1º Estadística: RESÚMENES/FORMULARIOS

Formulario-Tema-1-Estadistica-descriptiva-univariante.pdf
Formulario-Tema-2-Estadistica-descriptiva-bivariante.pdf
Formulario-Tema-3-Probabilidad.pdf
T4-Variables-aleatorias.pdf
T5-Inferencia-parametrica.pdf
T6-Contrastes-de-hipotesis-para-una-poblacion.pdf

apuntes

-

Apuntes de estadística

He publicado nuevos apuntes de 1º Estadística: Apuntes de estadística

Tema-1.pdf
Tema-3.pdf
Tema-5.pdf
Tema-2.pdf
Tema-4.pdf