Estadística
ejercicios
-
relaciones 3-7
He publicado nuevos ejercicios de 1º Estadística: relaciones 3-7
INICIO DE CURSO ESTADÍSTICA GRADO EN BIOTECNOLOGÍA Resumen de cada tema. Resolución de ejercicios y exámenes de convocatorias anteriores. Clases grabadas hasta el día del examen. Profesor a tu disposición en cualquier momento para dudas. INFÓRMATE SIN COMPROMISO Y DA UNA CLASE DE PRUEBA EN GRUPO.

Salidas de R commander importantes para el examen de prácticas de estadística interpretadas y explicadas.
ejercicios
-
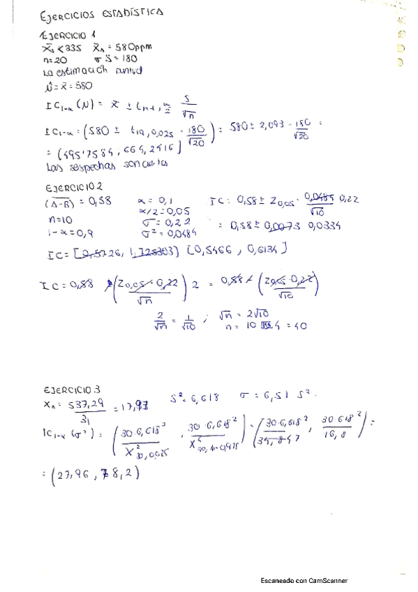
Ejercicios estadística relaciones resueltas
He publicado nuevos ejercicios de 1º Estadística: Ejercicios estadística relaciones resueltas
Teoría para poder entender el tema 4 de variable aleatoria y poder hacer los ejercicios
apuntes
-
Apuntes teoria + Relaciones
He publicado nuevos apuntes de 1º Estadística: Apuntes teoria + Relaciones
He publicado nuevos apuntes de 1º Estadística: Apuntes-distribuciones.pdf
He publicado nuevos apuntes de 1º Estadística: Apuntes-variable-aleatoria-discreta.pdf
He publicado nuevos apuntes de 1º Estadística: Apuntes-probabilidad.pdf
apuntes
-
ESTADÍSTICA
He publicado nuevos apuntes de 1º Estadística: ESTADÍSTICA
apuntes
-
Relaciones de ejercicios estadistica
He publicado nuevos apuntes de 1º Estadística: Relaciones de ejercicios estadistica
apuntes
-
Estadística
Apuntes de clase , fórmulas, ejemplos y procedimiento explicadossss
He publicado nuevos apuntes de 1º Estadística: relacion-2-bidimensional-complementarios.pdf
He publicado nuevos ejercicios de 1º Estadística: relacion-1-Unidimensional.pdf
apuntes
-
Apuntes Estadística
He publicado nuevos apuntes de 1º Estadística: Apuntes Estadística
He publicado nuevos ejercicios de 1º Estadística: Relacion-Probabilidad.pdf
He publicado nuevos examenes de 1º Estadística: GRADO-EN-BIOTECNOLOGIA-ESTADISTICA-EJERCICIO1.pdf
He publicado nuevos examenes de 1º Estadística: GRADO-EN-BIOTECNOLOGIA-ESTADISTICA-EJERCICIO2.pdf
He publicado nuevos ejercicios de 1º Estadística: Todas las relaciones (menos descriptiva).pdf
ejercicios
-
Ejercicios de relaciones resueltos
He publicado nuevos ejercicios de 1º Estadística: Ejercicios de relaciones resueltos
He publicado nuevos examenes de 1º Estadística: EJERCICIOS-EXAMEN-ESTADISTICA.pdf
ejercicios
-
Relaciones
He publicado nuevos ejercicios de 1º Estadística: Relaciones
He publicado nuevos apuntes de 1º Estadística: Tema-1.-Estadistica-Descriptiva.pdf
INTENSIVO CURSO ESTADÍSTICA
ACADEMIA UNIVERSITARIA INICIO DE CURSO ESTADÍSTICA Resolución paso a paso de todos tus ejercicios y exámenes de años anteriores. TODAS TUS CLASES GRABADAS Y EN PDF HASTA EL DÍA DEL EXAMEN. Clases online y presenciales. Horario de mañana y tarde.

apuntes
-
Teoría y fórmulas
He publicado nuevos apuntes de 1º Estadística: Teoría y fórmulas
ejercicios
-
Relaciones de ejercicios resueltas
He publicado nuevos ejercicios de 1º Estadística: Relaciones de ejercicios resueltas
ejercicios
-
Relaciones de ejercicios
He publicado nuevos ejercicios de 1º Estadística: Relaciones de ejercicios
ejercicios
-
Relaciones de problemas Estadística
He publicado nuevos ejercicios de 1º Estadística: Relaciones de problemas Estadística
apuntes
-
Apuntes Estadística
He publicado nuevos apuntes de 1º Estadística: Apuntes Estadística
apuntes
-
relaciones resueltas
He publicado nuevos apuntes de 1º Estadística: relaciones resueltas
examenes
-
Exámenes Estadística 22-23
He publicado nuevos examenes de 1º Estadística: Exámenes Estadística 22-23
apuntes
-
Tema 1 Estadística Descriptiva
He publicado nuevos apuntes de 1º Estadística: Tema 1 Estadística Descriptiva
apuntes
-
Relaciones de problemas resueltas 21-22
He publicado nuevos apuntes de 1º Estadística: Relaciones de problemas resueltas 21-22
examenes
-
Ejercicios resueltos en Prácticas
He publicado nuevos examenes de 1º Estadística: Ejercicios resueltos en Prácticas
apuntes
-
Formularios 21-22
He publicado nuevos apuntes de 1º Estadística: Formularios 21-22
apuntes
-
Resúmenes Temas a mano
He publicado nuevos apuntes de 1º Estadística: Resúmenes Temas a mano
apuntes
-
EXAMEN 20/21 DESCRIPTIVA
He publicado nuevos apuntes de 1º Estadística: EXAMEN 20/21 DESCRIPTIVA
examenes
-
EXÁMENES 2020
He publicado nuevos examenes de 1º Estadística: EXÁMENES 2020
apuntes
-
TEMARIO RESUMIDO
He publicado nuevos apuntes de 1º Estadística: TEMARIO RESUMIDO
ejercicios
-
Ejercicio resueltos
He publicado nuevos ejercicios de 1º Estadística: Ejercicio resueltos
examenes
-
Exámenes estadística 2019-20
He publicado nuevos examenes de 1º Estadística: Exámenes estadística 2019-20
ejercicios
-
Ejercicios resueltos
He publicado nuevos ejercicios de 1º Estadística: Ejercicios resueltos
He publicado nuevos apuntes de 1º Estadística: Manual-de-Bioestadistica.pdf