chevron_left
chevron_right
Todo
Apuntes
Ejercicios
Exámenes
Prácticas
Test
chevron_left
chevron_right

ejercicios

-

Ejercicios propuestos EXPLICADOS en detalle

Ejercicios del libro explicados en detalle, los propuestos de Moodle

Ejercicios-T5.pdf
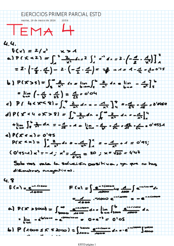
Ejercicios-T4.pdf

apuntes

-

apuntes de CLASE

con ejemplos de clase y del libro explicados

Tema-3.pdf
Tema-2.pdf
Tema-4.pdf
Tema-5.pdf

He publicado nuevos examenes de 1º Estadística: Examen-segundo-parcial-2024-resuelto.pdf

5 páginas

He publicado nuevos examenes de 1º Estadística: Examen-primer parcial-2025-resuelto.pdf

6 páginas

test

-

Test Estadística

He publicado nuevos test de 1º Estadística: Test Estadística

Miniatura no disponible
Soluciones-del-test-del-tema-8.pdf
Miniatura no disponible
solucion-del-test-tema-7.pdf
Miniatura no disponible
solucion-test-tema-6.pdf
Solucionestest3temas4y5.pdf
Solucionestest1tema2.pdf
Solucionestest2tema3.pdf

He publicado nuevos apuntes de 1º Estadística: PRACTICA-1-ESTADISTICA.pdf

6 páginas

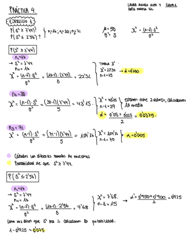
He publicado nuevos apuntes de 1º Estadística: PRACTICA-4-ESTADISTICA.pdf

3 páginas

He publicado nuevos apuntes de 1º Estadística: PRACTICA-3-ESTADISTICA.pdf

2 páginas

He publicado nuevos apuntes de 1º Estadística: PRACTICA-2-ESTADISTICA.pdf

5 páginas

apuntes

-

APUNTES COMPLETOS ESTADISTICA

He publicado nuevos apuntes de 1º Estadística: APUNTES COMPLETOS ESTADISTICA

apuntes-T2-probabilidad.pdf
apuntes-T3-variables-aleatorias-discretas.pdf
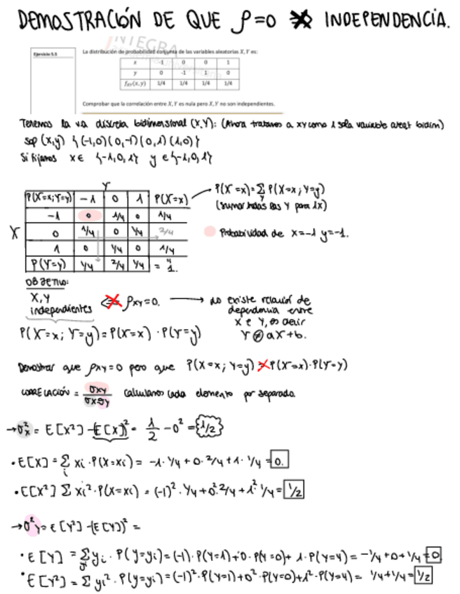
demostracion-T5-coeficiente-de-correlacion-e-independencia-caso-especial.pdf
demostracion-T5-coeficiente-de-correlacion-e-independencia.pdf
esquema-T3-distribuciones.pdf
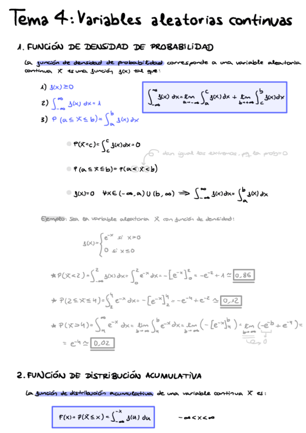
T4-variables-aleatorias-continuas.pdf
Anónimo

@Anónimo

He publicado nuevos apuntes de 1º Estadística: distribuciones continuas.jpg

Imagen
Anónimo

@Anónimo

He publicado nuevos apuntes de 1º Estadística: distribuciones discretas.jpg

Imagen
Anónimo

@Anónimo

He publicado nuevos apuntes de 1º Estadística: LibroTema-5.pdf

39 páginas
Anónimo

@Anónimo

He publicado nuevos apuntes de 1º Estadística: LIBRO-tema-4.pdf

45 páginas

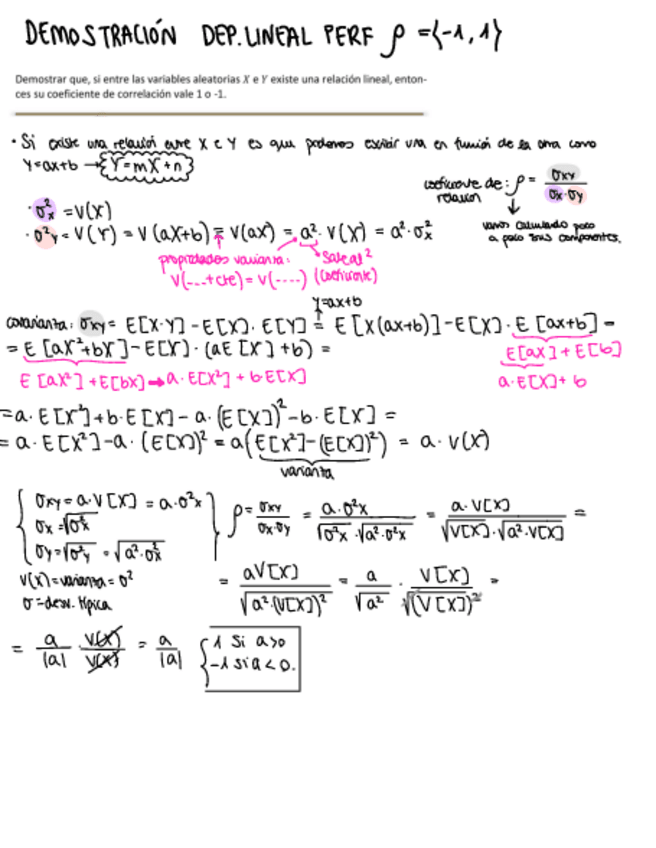
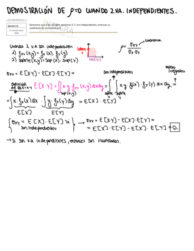
He publicado nuevos apuntes de 1º Estadística: demostracion-T5-coeficiente-de-correlacion.pdf

1 página

He publicado nuevos apuntes de 1º Estadística: demostracion-media-y-varianza-binomial.pdf

1 página
Anónimo

@Anónimo

He publicado nuevos apuntes de 1º Estadística: T2-LIBRO.pdf

49 páginas

apuntes

-

TODO ESTADISTICA

He publicado nuevos apuntes de 1º Estadística: TODO ESTADISTICA

Temas-1-5-estd.pdf
Temas-6-10-estd.pdf
Anónimo

@Anónimo

practicas

-

Practicas de Estadística

Practicas de estadística del curso 23/24, con nota >9

Practica-1-ESTD-PDF.pdf
Practica-2-ESTD-PDF.pdf
Practica-3-ESTD-PDF.pdf
Practica-4-ESTD-PDF.pdf

He publicado nuevos apuntes de 1º Estadística: ESTD_Apuntes-Completos.pdf

22 páginas

He publicado nuevos apuntes de 1º Estadística: chuleta-parcial1.pdf

1 página

He publicado nuevos apuntes de 1º Estadística: Formulario-Probabilidad.pdf

4 páginas

He publicado nuevos apuntes de 1º Estadística: Formulario-Estadistica.pdf

4 páginas

apuntes

-

SEGUNDO PARCIAL ESTADISTICA

He publicado nuevos apuntes de 1º Estadística: SEGUNDO PARCIAL ESTADISTICA

TEMA-6ESTADISTICA-DESCRIPTIVA.pdf
TEMA-7ESTIMACION-PUNTUAL.pdf
TEMA-8INTERVALOS-ESTADISTICOS.pdf
TEMA-9TEST-DE-HIPOTESIS.pdf
TEMA-10REGRESION-LINEAL-SIMPLE-Y-CORRELACION.pdf

Estos son los mejores apuntes que he hecho, descarguenlos >:0/

51 páginas

apuntes

-

RESUMENES TEORÍA

He publicado nuevos apuntes de 1º Estadística: RESUMENES TEORÍA

ESTD-Resumen-Tema-2-Probabilidad-A4.pdf
ESTD-Resumen-Tema-3-V.A.Discreta-A4.pdf
ESTD-Resumen-Tema-4-V.A.Continua-A4.pdf
ESTD-Resumen-Tema-5-Distr.-de-probabilidad-conjunta-A4.pdf
ESTD-Resumen-Tema-6-estadistica-descriptiva-A4.pdf
ESTD-Resumen-Tema-7-estimadores-A4.pdf

He publicado nuevos ejercicios de 1º Estadística: T9-EJERCICIOS_ESPAÑOL.pdf

4 páginas

He publicado nuevos apuntes de 1º Estadística: Estadistica.-T6-10.pdf

11 páginas

He publicado nuevos ejercicios de 1º Estadística: T8-EJERCICIOS_ESPAÑOL.pdf

3 páginas

He publicado nuevos ejercicios de 1º Estadística: T7-EJERCICIOS_ESPAÑOL.pdf

2 páginas
Anónimo

@Anónimo

He publicado nuevos test de 1º Estadística: Estadistica-TestClase-Tema6.pdf

1 página

He publicado nuevos ejercicios de 1º Estadística: T6-EJERCICIOS_ESPAÑOL.pdf

2 páginas

ejercicios

-

Ejercicios primer parcial ESTD

He publicado nuevos ejercicios de 1º Estadística: Ejercicios primer parcial ESTD

EJERCICIOS-PRIMER-PARCIAL-ESTD-Tema-3.pdf
EJERCICIOS-PRIMER-PARCIAL-ESTD-Tema-4.pdf
EJERCICIOS-PRIMER-PARCIAL-ESTD-Tema-5.pdf
EJERCICIOS-PRIMER-PARCIAL-ESTD-Tema-2.pdf

apuntes

-

Estadística 1er parcial

Clases de estadística de Ángela y Jaime con teoría+ejercicios

Estadistica-clases-T1.pdf
Estadistica-clases-T2.pdf
Estadistica-clases-T3.pdf
Estadistica-clases-T4.pdf
Estadistica-clases-T5.pdf

He publicado nuevos ejercicios de 1º Estadística: T5-EJERCICIOS_ESPAÑOL.pdf

2 páginas

apuntes

-

PRIMER PARCIAL ESTADISTICA

He publicado nuevos apuntes de 1º Estadística: PRIMER PARCIAL ESTADISTICA

Tema-2-ESTADISTICA-Probabilidad.pdf
Tema-3-ESTADISTICA-Variables-aleatorias-continuas.pdf
Tema-4-ESTADISTICA-variables-aleatorias-continuas.pdf
Tema-5ESTADISTICADistribuciones-de-probabilidad-conjunta.pdf

He publicado nuevos ejercicios de 1º Estadística: T4-EJERCICIOS_ESPAÑOL.pdf

3 páginas

He publicado nuevos ejercicios de 1º Estadística: T3-EJERCICIOS_ESPAÑOL.pdf

5 páginas

He publicado nuevos ejercicios de 1º Estadística: T2-EJERCICIOS_ESPAÑOL.pdf

5 páginas

He publicado nuevos apuntes de 1º Estadística: Resumen-parcial-est.pdf

4 páginas

He publicado nuevos ejercicios de 1º Estadística: EJERCICIOS-RESUELTOS-ESTADISTICA.pdf

23 páginas

apuntes

-

Resumenes 2ºParcial

He publicado nuevos apuntes de 1º Estadística: Resumenes 2ºParcial

Tema-6-Estadistica-descriptiva.pdf
Tema-7-Estimacion-puntual-sIm.pdf
Tema-8-Intervalos-estadisticos.pdf
Tema-9-Test-de-hipotesis.pdf
Tema-10-Regresion-lineal-simple-y-correlacion.pdf

He publicado nuevos apuntes de 1º Estadística: Formulas-Estadistica-T6-10.pdf

1 página

He publicado nuevos apuntes de 1º Estadística: Formulario parcial II ESTD.pdf

1 página

He publicado nuevos apuntes de 1º Estadística: Resumen-Formulas-pte.2-Estadistica.pdf

3 páginas

He publicado nuevos apuntes de 1º Estadística: Probabilidad-T1-T5.pdf

14 páginas

ejercicios

-

Ejercicios varios

He publicado nuevos ejercicios de 1º Estadística: Ejercicios varios

2-23-pag29.pdf
2-47-pag31.pdf
3.15-pag-70.pdf
3.20-pag-70.pdf
4-76-pag-127.pdf

apuntes

-

Apuntes primer parcial

He publicado nuevos apuntes de 1º Estadística: Apuntes primer parcial

Resumen-tecnicas-de-conteo-T2.pdf
Apuntes-resumen-primer-parcial.pdf
Chuletario-probabilidad-1a-parte.pdf

He publicado nuevos apuntes de 1º Estadística: Formulario parcial I ESTD.pdf

1 página

He publicado nuevos apuntes de 1º Estadística: Formulario-Parcial-1-estd.pdf

2 páginas

He publicado nuevos apuntes de 1º Estadística: Tema 5 ESTD.pdf

1 página

He publicado nuevos apuntes de 1º Estadística: Tema 4 ESTD.pdf

2 páginas

He publicado nuevos apuntes de 1º Estadística: Tema 3 ESTD.pdf

2 páginas

He publicado nuevos apuntes de 1º Estadística: Tema 2 ESTD.pdf

2 páginas

He publicado nuevos apuntes de 1º Estadística: Apuntes-Tema-5-Estadistica.pdf

2 páginas

He publicado nuevos apuntes de 1º Estadística: tema-5-ejercicios.pdf

7 páginas

He publicado nuevos apuntes de 1º Estadística: parcial-1.pdf

16 páginas

He publicado nuevos apuntes de 1º Estadística: Formulas-Probabilidad-T1-5.pdf

1 página

He publicado nuevos apuntes de 1º Estadística: Apuntes-Tema-4-Estadistica.pdf

2 páginas

He publicado nuevos apuntes de 1º Estadística: Apuntes-Tema-3-Variables-Aleatorias-Discretas.pdf

3 páginas