chevron_left
chevron_right
Todo
Apuntes
Ejercicios
Exámenes
Otros
Trabajos
chevron_left
chevron_right

EXAMEN PARCIAL ESTADISTICA A-104 2026 CON SOLUCIONES INCLUIDAS

6 páginas

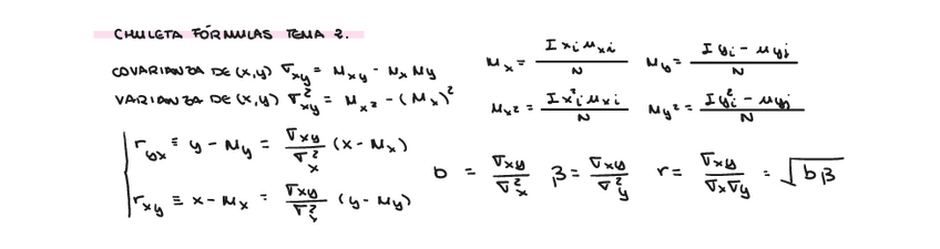
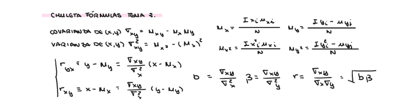
He publicado nuevos apuntes de 1º Estadística: Tema-2-analisis-de-datos-bidimensional.pdf

3 páginas

He publicado nuevos apuntes de 1º Estadística: Combinatoria.pdf

3 páginas

He publicado nuevos apuntes de 1º Estadística: Tema-3-Fundamentos-de-la-probabilidad.pdf

6 páginas

He publicado nuevos apuntes de 1º Estadística: Tema-4-Variable-aleatoria.pdf

4 páginas

examenes

-

EXÁMENES JULIO DE ESTADÍSTICA CON SOLUCIÓN

HE PUBLICADO EL EXAMEN DE JULIO DE 2014 DE ESTADÍSTICA CON SOLUCIONES

EstJulio1314.pdf

ESTADÍSTICA EXÁMEN FINAL DE JUNIO 2024

9 páginas

He publicado nuevos apuntes de 1º Estadística: resumen-tema-7-estadistica.pdf

2 páginas

He publicado nuevos apuntes de 1º Estadística: tema-5-estadistica.pdf

2 páginas

He publicado nuevos apuntes de 1º Estadística: resumen-estadistica-temas-1-4.pdf

8 páginas

formulario con todo lo importante de TODAS las distribuciones + gráficas + TABLAS

10 páginas

ejercicios

-

TALLERES

He publicado nuevos ejercicios de 1º Estadística: TALLERES

Taller01.pdf
Taller02.pdf
Taller03.pdf
Taller04.pdf
Taller05.pdf
Taller06.pdf

examenes

-

Examenes estadistica

He publicado nuevos examenes de 1º Estadística: Examenes estadistica

Estadistica-Julio21.pdf
Estadistica-Julio22.pdf
Estadistica-Julio23.pdf
Julio-19.pdf
Julio-18.pdf
Julio-17.pdf

He publicado nuevos ejercicios de 1º Estadística: Problemas-22-23.pdf

31 páginas

apuntes

-

Formulario y resumen

He publicado nuevos apuntes de 1º Estadística: Formulario y resumen

Resumen-parcial-1.pdf
Resumen-parcial-2-talleres.pdf
Anónimo

@Anónimo

He publicado nuevos examenes de 1º Estadística: ESTADISTICA JUNIO. 2024.pdf

8 páginas

He publicado nuevos apuntes de 1º Estadística: RESUMEN-COMPLETO-ESTADISTICA.pdf

12 páginas

He publicado nuevos apuntes de 1º Estadística: APUNTES-ESTADISTICA.pdf

37 páginas

He publicado nuevos apuntes de 1º Estadística: RESUMEN-Y-EJERCICIOS-INTERVALOS-DE-CONFIANZA.pdf

6 páginas

He publicado nuevos apuntes de 1º Estadística: RESUMEN-Y-EJERCICIOS-ESTIMACION-PUNTUAL.pdf

4 páginas

He publicado nuevos apuntes de 1º Estadística: RESUMEN-Y-EJERCICIOS-CONTRASTE-DE-HIPOTESIS.pdf

9 páginas
Anónimo

@Anónimo

He publicado nuevos examenes de 1º Estadística: ESTADÍSTICA PARCIAL II. 2024.pdf

4 páginas

He publicado nuevos apuntes de 1º Estadística: EstadisticaResumenes.pdf

4 páginas

He publicado nuevos ejercicios de 1º Estadística: EstadisticaEjercicios.pdf

24 páginas

He publicado nuevos apuntes de 1º Estadística: Tema-intervalos-de-confianza.pdf

6 páginas

He publicado nuevos apuntes de 1º Estadística: Tema-muestras-aleatorias-estadisticos-y-estimadores.pdf

8 páginas

He publicado nuevos apuntes de 1º Estadística: Tema-contraste-de-hipotesis.pdf

8 páginas

apuntes

-

Apuntes_segundo_parcial

He publicado nuevos apuntes de 1º Estadística: Apuntes_segundo_parcial

distribucionesdiscretascontinuas.pdf
distrcontinuasteoremas.pdf
Errorcuadraticointervals-confianza.pdf
estadisticosestimacionpuntual.pdf
Anónimo

@Anónimo

He publicado nuevos examenes de 1º Estadística: ESTADÍSTICA PARCIAL I. 2024.pdf

5 páginas

apuntes

-

Apuntes primer parcial

He publicado nuevos apuntes de 1º Estadística: Apuntes primer parcial

Combinatoria.pdf
Estadistica-descriptiva-I.pdf
Estadistica-descriptiva-II.pdf
Probabilidad-I.pdf
Probabilidad-II.pdf
Variable-aleatoria-continua.pdf

He publicado nuevos examenes de 1º Estadística: Estadística-Parcial-2023.pdf

5 páginas

He publicado nuevos examenes de 1º Estadística: Estadística-Final-2023.pdf

6 páginas

He publicado nuevos apuntes de 1º Estadística: Resumen-Tema-8-Estadistica-Intervalos-de-Confianza.pdf

4 páginas

He publicado nuevos apuntes de 1º Estadística: Resumen-Tema-7-Estadistica-Estimacion-Puntual.pdf

1 página

He publicado nuevos apuntes de 1º Estadística: Resumen-Tema-6-Estadistica-Introduccion-a-la-Inferencia-Estadistica.pdf

1 página

He publicado nuevos apuntes de 1º Estadística: Resumen-Tema-5-Estadistica-Distribuciones-con-nombre-propio.pdf

6 páginas

He publicado nuevos apuntes de 1º Estadística: Resumen-Prueba-1.pdf

3 páginas
Anónimo

@Anónimo

He publicado nuevos examenes de 1º Estadística: ejsexamenestad.pdf

3 páginas

He publicado nuevos trabajos de 1º Estadística: Trabajoestdistica1.pdf

4 páginas

apuntes

-

EJERCICIOS COMPLETOS BOLETÍN ESTADÍSTICA

He publicado nuevos apuntes de 1º Estadística: EJERCICIOS COMPLETOS BOLETÍN ESTADÍSTICA

EJERCICIOS-COMPLETOS-ESTADISTICA-BOLETIN.pdf
EJERCICIOS-ESTADISTICA-BOLETIN-COMPLETOS.pdf
Anónimo

@Anónimo

apuntes

-

Apuntes por capítulos

He publicado nuevos apuntes de 1º Estadística: Apuntes por capítulos

V.pdf
Anónimo

@Anónimo

He publicado nuevos apuntes de 1º Estadística: APUNTESEST.pdf

7 páginas

He publicado nuevos apuntes de 1º Estadística: Resumenes-Formulario-Estadistica-MA.pdf

30 páginas

apuntes

-

APUNTES ESTADISTICA POR TEMAS

He publicado nuevos apuntes de 1º Estadística: APUNTES ESTADISTICA POR TEMAS

TEMAS-4-Y-5-COMPLETOS.pdf
TEMAS-12-Y-3-COMPLETOS.pdf
TEMAS-8-Y-9-COMPLETOS.pdf
TEMAS-6-Y-7-COMPLETOS.pdf

otros

-

Estadistica

He publicado nuevos otros de 1º Estadística: Estadistica

Tema9-Contrastes-resumen.pdf
Examen-Estadistica-A109.pdf
Examen-1-Estadistica-A109.pdf
Tablas-Estadisticas.pdf
formulas-de-intervalos-de-confianza.pdf
Tablas-para-contraste-de-hipotesis.pdf

apuntes

-

Apuntes Libro Estadística

He publicado nuevos apuntes de 1º Estadística: Apuntes Libro Estadística

CAPITULO6.pdf
CAPITULO5.pdf
CAPITULO4.pdf
PROBLEMAS-ESTADISTICA.pdf
CAPITULO9.pdf
CAPITULO3.pdf

apuntes

-

Apuntes

He publicado nuevos apuntes de 1º Estadística: Apuntes

CAPITULO_4.PDF
CAPITULO_1.PDF
APENDICECOMBINATORIA.PDF
CAPITULO_2.PDF
TEMA 7 teoria.PDF
CAPITULO_5.PDF
¡Estás al día!

¡Estás al día!

Has visto todos los archivos