chevron_left
chevron_right
Todo
Apuntes
Ejercicios
chevron_left
chevron_right

ejercicios

-

Ejercicios_Relación

He publicado nuevos ejercicios de 1º Estadística: Ejercicios_Relación

EjRelacionT1.pdf
EjRelacionT2.pdf
EjRelacionT3.pdf
EjRelacionT4.pdf
EjRelacionT5.pdf

ejercicios

-

Ejercicios academia

He publicado nuevos ejercicios de 1º Estadística: Ejercicios academia

Clase-3.pdf
Clase-9.pdf
Clase-8.pdf
Clase-1.pdf
Clase-5.pdf
Clase-4.pdf

He publicado nuevos apuntes de 1º Estadística: T2-La-actividad-de-la-empresaParte1.pdf

3 páginas

He publicado nuevos apuntes de 1º Estadística: T2-FORMULARIO-EXAMEN.pdf

1 página

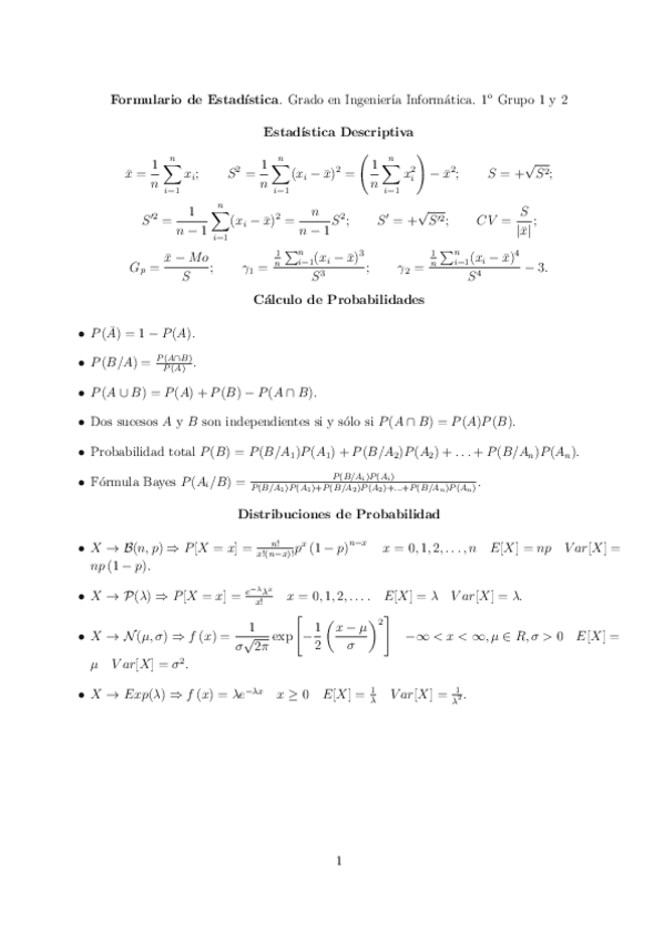
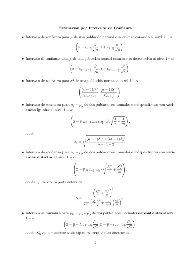
He publicado nuevos apuntes de 1º Estadística: Formulario.pdf

7 páginas
¡Estás al día!

¡Estás al día!

Has visto todos los archivos