chevron_left
chevron_right
Todo
Apuntes
Ejercicios
Exámenes
Prácticas
chevron_left
chevron_right

practicas

-

apuntes practicas estadistica

He publicado nuevos practicas de 1º Estadística: apuntes practicas estadistica

Practica-6.pdf
Practica-3.pdf
Practica-5.pdf
Practica-1.pdf
Practica-4.pdf
Anónimo

@Anónimo

He publicado nuevos apuntes de 1º Estadística: Resumen-descriptiva.pdf

7 páginas
Anónimo

@Anónimo

examenes

-

Exámenes

He publicado nuevos examenes de 1º Estadística: Exámenes

Julio-15.jpg
Mayo-16-2.jpg
Mayo-15-1.jpg
Examen-1.jpg
Mayo-16-1.jpg
Examen-2.jpg

He publicado nuevos practicas de 1º Estadística: Guion-practicas-Estadistica.docx

word

ejercicios

-

Relaciones de problemas

He publicado nuevos ejercicios de 1º Estadística: Relaciones de problemas

R11617.pdf
R51617.pdf
R316172.pdf
EstadisticaR42017.pdf
EstadisticaR62017.pdf
Relaciongeneral2017.pdf
Anónimo

@Anónimo

apuntes

-

temas

He publicado nuevos apuntes de 1º Estadística: temas

Tema1.pdf
Tema2.pdf

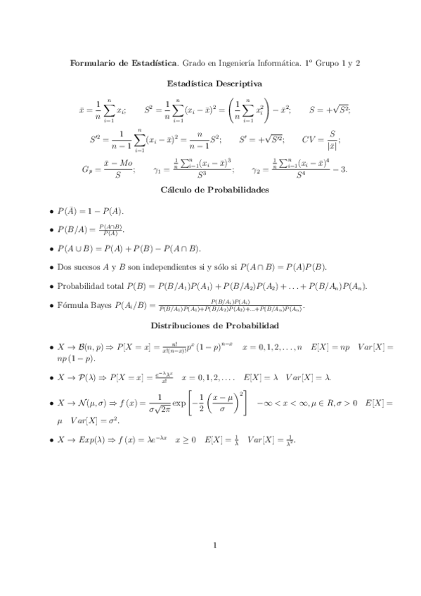
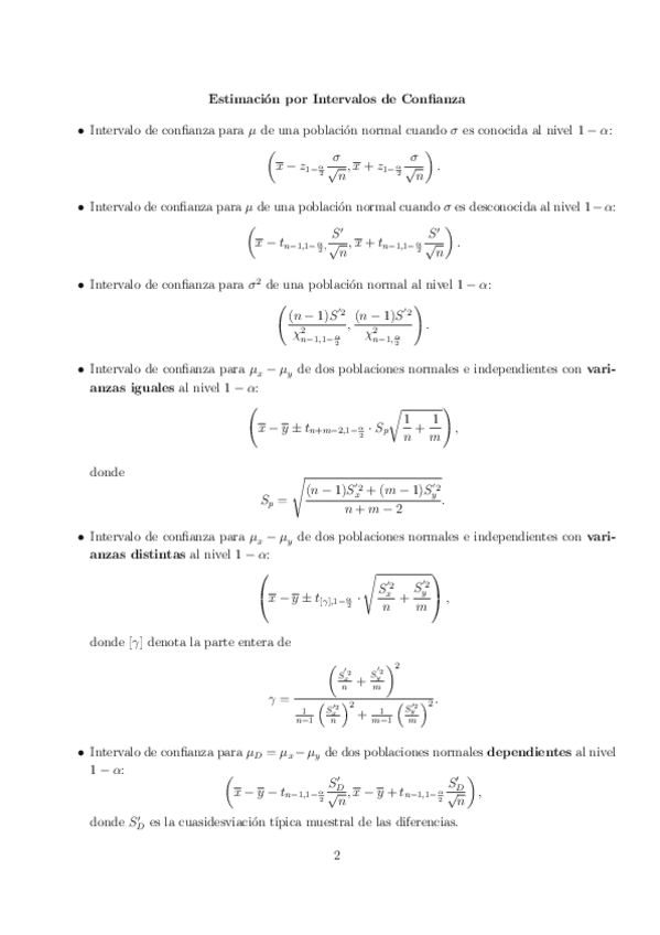
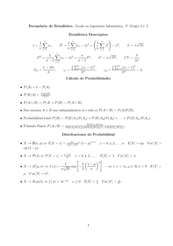
He publicado nuevos apuntes de 1º Estadística: Formulario.pdf

7 páginas

apuntes

-

General

He publicado nuevos apuntes de 1º Estadística: General

ExamenesEstadistica.pdf
EstadisticaIngenieros.pdf
problemasresueltos.pdf
formulario-examen.pdf
Apuntes-Estadistica.pdf
¡Estás al día!

¡Estás al día!

Has visto todos los archivos