Todo
Apuntes
Preguntas
Ejercicios
Exámenes
Otros
publication
chevron_left
chevron_right

Apuntes resumidos teoría completa para el parcial 1

13 páginas

apuntes

-

PEI 2

He publicado nuevos apuntes de 2º Estadística: PEI 2

Adicionales.pdf
Resumen.pdf
Examenes.pdf

ejercicios

-

Pei 1

He publicado nuevos ejercicios de 2º Estadística: Pei 1

Ejercicios-Adicionales.pdf
Resumen.pdf

He publicado nuevos apuntes de 2º Estadística: El-mejor-FORMULARIO-para-aprobar-Estadistica-a-la-primera.pdf

6 páginas

He publicado nuevos apuntes de 2º Estadística: Apuntes-de-todo-el-curso.pdf

26 páginas

LO FUNDAMENTAL para aprobar

12 páginas

examenes

-

Exámenes 2024-2025 Con Solución

He publicado nuevos examenes de 2º Estadística: Exámenes 2024-2025 Con Solución

PEI-1-25.pdf
SolucionOrdinarioP1.pdf

He publicado nuevos examenes de 2º Estadística: SolucionOrdinario05062025P02.pdf

8 páginas

examenes

-

Exámenes Extra/Ordinarios

He publicado nuevos examenes de 2º Estadística: Exámenes Extra/Ordinarios

Ordinario-23-24.pdf
Extraordinario-23-24.pdf
Ordinario-22-23.pdf
Extraordinario-22-23.pdf
Ordinario-21-22.pdf
Extraordinario-21-22.pdf

ejercicios

-

Ejercicios de examen por Temas parte 2

He publicado nuevos ejercicios de 2º Estadística: Ejercicios de examen por Temas parte 2

Ejercicios-de-examen-Variable-Aleatoria-Bidimensional.pdf
Ejercicios-de-examen-inferencia.pdf
Ejercicios-de-examen-Contraste-de-Hipotesis.pdf

examenes

-

Exámenes 2023-2024 Con Solución

He publicado nuevos examenes de 2º Estadística: Exámenes 2023-2024 Con Solución

ExtraOrdinarioP12023-24.pdf
Parcial12023-24.pdf
OrdinarioP12023-24.pdf
Extraordinario-PEI-2-24.pdf

examenes

-

Exámenes Resueltos PEI 1

He publicado nuevos examenes de 2º Estadística: Exámenes Resueltos PEI 1

PEI-23-24.pdf
Ordinario-23-24.pdf
Extraordinario-23-24.pdf
PEI-22-23.pdf
Ordinario-22-23.pdf
Extraordinario-22-23.pdf

He publicado nuevos apuntes de 2º Estadística: Resumenes-1-parcial.pdf

13 páginas

examenes

-

Exámenes resueltos

Exámenes de años anteriores resueltos paso a paso

PEIs-2022.pdf
PEIs-2021.pdf

He publicado nuevos apuntes de 2º Estadística: Resumen-Cap-2-Variables-aleatorias-unidimensionales.pdf

1 página

He publicado nuevos apuntes de 2º Estadística: Resumen-Combinatoria-y-probabilidad.pdf

1 página

He publicado nuevos apuntes de 2º Estadística: Lo-que-hay-que-saberse-que-no-esta-en-el-formulario.pdf

1 página

He publicado nuevos apuntes de 2º Estadística: Formulario-Estadistica-PEI-1.pdf

6 páginas

He publicado nuevos apuntes de 2º Estadística: Resumenes-estadistica.pdf

30 páginas

examenes

-

Exámenes 2022-2023 Con Solución

He publicado nuevos examenes de 2º Estadística: Exámenes 2022-2023 Con Solución

Primer-parcial-curso-22-23-gulag-free.pdf
Parcial-curso-22-23-gulag-free.pdf
Extraordinario-Parcial-1-2022-23.pdf

apuntes

-

Resúmenes de la Asignatura

He publicado nuevos apuntes de 2º Estadística: Resúmenes de la Asignatura

Combinatoria-y-probabilidad.pdf
Resumen-por-Temas-Primer-Parcial.pdf

examenes

-

Examenes

He publicado nuevos examenes de 2º Estadística: Examenes

Ordinario-202324.pdf
Extraordinario-202223.pdf
Ordinario-202223.pdf
Extraordinario-202122.pdf
Ordinario-202122.pdf
Extraordinario-202021.pdf

ejercicios

-

Ejercicios presentaciones

He publicado nuevos ejercicios de 2º Estadística: Ejercicios presentaciones

Tema-1-Sucesos.pdf
Tema-2-Combinatoria.pdf
Tema-3-Probabilidad.pdf
Tema-4-Variable-Aleatoria.pdf
Tema-5-Momentos-de-una-variable.pdf
Tema-6-Modelos-discretos.pdf

He publicado nuevos apuntes de 2º Estadística: Resumen-Estadistica.pdf

13 páginas

He publicado nuevos apuntes de 2º Estadística: TEMA-1-apuntes-con-ejemplos-clase.pdf

6 páginas

apuntes

-

Resumen Estadísticas (Con ejemplos y a ordenador)

Se irá actualizando aproximadamente al mismo tiempo que las clases

T1-Combinatoria.pdf

He publicado nuevos apuntes de 2º Estadística: Estadistica-PEI2.pdf

17 páginas

He publicado nuevos apuntes de 2º Estadística: Estadistica-PEI1.pdf

10 páginas

apuntes

-

Teoría

Digital

1Combinatoria.pdf
2Probabilidad.pdf
3Variables-aleatorias-unidimensionales.pdf
4Modelos-discretos.pdf

apuntes

-

formulario todos los temas GITA y GIA

He publicado nuevos apuntes de 2º Estadística: formulario todos los temas GITA y GIA

formestt2.pdf
formestt3.pdf
formestt4.pdf
formestt1.pdf

He publicado nuevos apuntes de 2º Estadística: Estadistica-Academia.pdf

43 páginas

apuntes

-

estadística

He publicado nuevos apuntes de 2º Estadística: estadística

resumen-pt-1.pdf
resumen-pt-2.pdf

apuntes

-

ExamenExtraordinario_23-24_RESUELTO

He publicado nuevos apuntes de 2º Estadística: ExamenExtraordinario_23-24_RESUELTO

ExamenExtraordinario23-24.pdf

apuntes

-

ExamenOrdinario_23-24_RESUELTO

He publicado nuevos apuntes de 2º Estadística: ExamenOrdinario_23-24_RESUELTO

P2RESUELTA.pdf
Ordinario23-24RESUELTO.pdf
P1RESUELTA.pdf

He publicado nuevos apuntes de 2º Estadística: Ordinario-21-22-Parte-2-iPad.pdf

8 páginas

He publicado nuevos examenes de 2º Estadística: Extraordinario-22-23-Parte-2-iPad.pdf

8 páginas

He publicado nuevos examenes de 2º Estadística: Ordinario-22-23-Parte-2-Resuelto-iPad.pdf

8 páginas

He publicado nuevos examenes de 2º Estadística: Examen-PARCIAL-2024Bloque1.pdf

4 páginas

He publicado nuevos ejercicios de 2º Estadística: Resumen-tipos-de-ejercicios-2a-parte.pdf

2 páginas

apuntes

-

Apuntes estadística PEI2 iPad

He publicado nuevos apuntes de 2º Estadística: Apuntes estadística PEI2 iPad

Teorema-central-del-limite.pdf
Variable-Aleatoria-Bidimensional.pdf
Momentos-de-una-Variable-Aleatoria-Bidimensional.pdf
Introduccion-a-la-inferencia.pdf
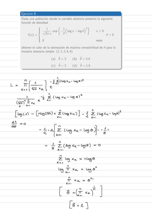
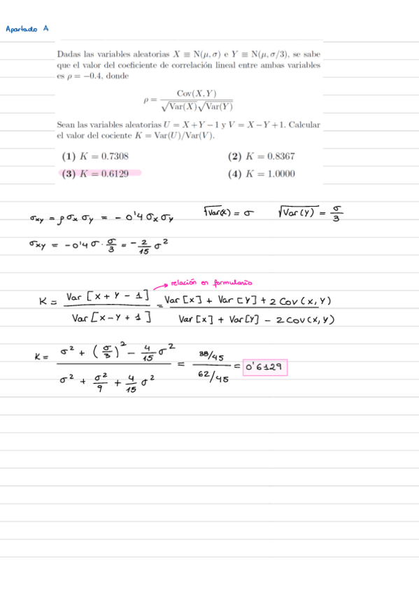
Metodo-de-maxima-verosimilitud.pdf
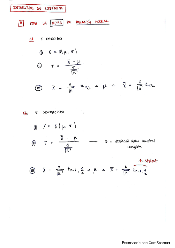
Intervalos-de-confianza.pdf

He publicado nuevos apuntes de 2º Estadística: resumen-inferencia.pdf

6 páginas

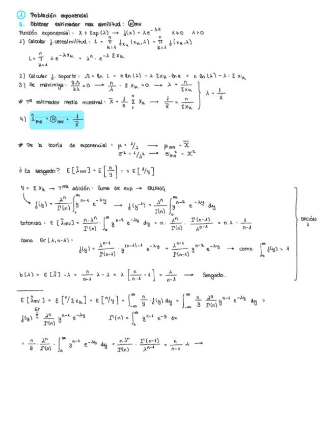
He publicado nuevos apuntes de 2º Estadística: METODOS-DE-ESTIMACION-PUNTUAL.pdf

3 páginas

He publicado nuevos apuntes de 2º Estadística: TEMA-7-CONTRASTE-DE-HIPOTESIS.pdf

5 páginas

He publicado nuevos apuntes de 2º Estadística: Intervalos-de-confianza.pdf

3 páginas

ejercicios

-

Ejercicios diapositivas resueltos

He publicado nuevos ejercicios de 2º Estadística: Ejercicios diapositivas resueltos

Ejercicios-PCL--Diapositivas.pdf
Ejercicios-Variable-Aleatoria-Discreta--Diapositivas.pdf
Ejercicios-Intervalos-de-Confianza--Diapositivas.pdf
Ejercicios-Probabilidad-Condicionada--Diapositivas.pdf
Ejercicios-Maxima-Verosimilitud--Diapositivas.pdf
Ejercicios-Variable-Aleatoria-Continua--Diapositivas.pdf

apuntes

-

EXÁMENES DE LA SEGUNDA PARTE CURSO 2022-23

He publicado nuevos apuntes de 2º Estadística: EXÁMENES DE LA SEGUNDA PARTE CURSO 2022-23

Solucion-del-ordinario-segundo-parcial-curso-22-23.pdf

apuntes

-

EXÁMENES DE LA SEGUNDA PARTE CURSO 2021-22

He publicado nuevos apuntes de 2º Estadística: EXÁMENES DE LA SEGUNDA PARTE CURSO 2021-22

Soluciones-del-final-segundo-parcial-curso-21-22.pdf
Soluciones-del-extraordinario-segundo-parcial-curso-21-22.pdf

apuntes

-

EXÁMENES DE LA SEGUNDA PARTE CURSO 2020-211

He publicado nuevos apuntes de 2º Estadística: EXÁMENES DE LA SEGUNDA PARTE CURSO 2020-211

Solucioness-del-finall-curso-20-21-segundo-parcial.pdf
Soluciones-del-extraordinario-curso-20-21-segundo-parcial.pdf

apuntes

-

EXÁMENES DE LA SEGUNDA PARTE CURSO 2016-17

He publicado nuevos apuntes de 2º Estadística: EXÁMENES DE LA SEGUNDA PARTE CURSO 2016-17

Soluciones-del-extraordinario-curso-16-17-segunda-parte.pdf

apuntes

-

EXÁMENES DE LA SEGUNDA PARTE CURSO 2015-16

He publicado nuevos apuntes de 2º Estadística: EXÁMENES DE LA SEGUNDA PARTE CURSO 2015-16

Soluciones-del-final-curso-15-16-segundo-parcial-1.pdf
Miniatura no disponible
Soluciones-del-extraodinario-curso-15-16-segundo-parcial.-pdf

apuntes

-

EXÁMENES DE LA SEGUNDA PARTE CURSO 2014-15

He publicado nuevos apuntes de 2º Estadística: EXÁMENES DE LA SEGUNDA PARTE CURSO 2014-15

Soluciones-del-final-segundo-parcial-curso-14-15.pdf
Soluciones-del-extraordinario-segundor-parcial-curso-14-15.pdf

apuntes

-

EXÁMENES DE LA SEGUNDA PARTE CURSO 2013-14

He publicado nuevos apuntes de 2º Estadística: EXÁMENES DE LA SEGUNDA PARTE CURSO 2013-14

Soluciones-del-final-segundo-parcial-curso-13-14.pdf
Soluciones-del-extraordinario-segundo-parcial-curso-13-14.pdf

apuntes

-

EXÁMENES DE LA SEGUNDA PARTE CURSO 2012-13

He publicado nuevos apuntes de 2º Estadística: EXÁMENES DE LA SEGUNDA PARTE CURSO 2012-13

Soluciones-del-segundo-parcial-curso-12-13.pdf
Soluciones-del-P2-del-final-curso-12-13.pdf
Soluciones-del-extraordinario-P2-curso-12-13.pdf

He publicado nuevos apuntes de 2º Estadística: resumen-todo-probabilidad.pdf

9 páginas

He publicado nuevos apuntes de 2º Estadística: Formulario-1aparte-ESTADISTICA.pdf

1 página

examenes

-

PEI1_23-24_RESUELTO

He publicado nuevos examenes de 2º Estadística: PEI1_23-24_RESUELTO

P1_SOLUCION.pdf
P1_SOLUCION_DETALLADA.pdf

He publicado nuevos apuntes de 2º Estadística: RESUMEN-MODELOS-CONTINUOS.pdf

2 páginas

He publicado nuevos apuntes de 2º Estadística: RESUMEN-MODELOS-DISCRETOS.pdf

2 páginas

He publicado nuevos examenes de 2º Estadística: Ordinario-2020-Parte-I-resuelto.pdf

4 páginas

He publicado nuevos examenes de 2º Estadística: Examen-EXTRAORDINARIO-PEI-1-PASO-A-PASO-20212022.pdf

4 páginas