chevron_left
chevron_right
Todo
Apuntes
Ejercicios
Exámenes
Prácticas
chevron_left
chevron_right

apuntes

-

TODOS los ejercicios propuestos

He publicado nuevos apuntes de 1º Estadística: TODOS los ejercicios propuestos

ejerciciospropuestos1.pdf
ejerciciospropuestos2.pdf
ejerciciospropuestos3.pdf
ejerciciospropuestos4.pdf
ejerciciospropuestos5.pdf
ejerciciospropuestos6.pdf

He publicado nuevos ejercicios de 1º Estadística: Tema-9-Ejercicios-Propuestos.pdf

3 páginas

He publicado nuevos ejercicios de 1º Estadística: Tema-8-y-9-Ejercicios-Propuestos.pdf

4 páginas

He publicado nuevos ejercicios de 1º Estadística: Tema-7-y-8-Ejercicios-Propuestos.pdf

4 páginas

He publicado nuevos ejercicios de 1º Estadística: Tema-6-Ejercicios-Propuestos.pdf

2 páginas

He publicado nuevos ejercicios de 1º Estadística: Tema-5-y-6-Ejercicios-Propuestos.pdf

2 páginas

He publicado nuevos ejercicios de 1º Estadística: Tema-5-Ejercicios-Propuestos.pdf

5 páginas

He publicado nuevos ejercicios de 1º Estadística: Tema-4-Ejercicios-Propuestos.pdf

2 páginas

He publicado nuevos ejercicios de 1º Estadística: Tema-3-Ejercicios-Propuestos.pdf

2 páginas

He publicado nuevos ejercicios de 1º Estadística: Tema-2-Ejercicios-Propuestos-2.pdf

5 páginas

He publicado nuevos ejercicios de 1º Estadística: Tema-2-Ejercicios-Propuestos-1.pdf

2 páginas

He publicado nuevos ejercicios de 1º Estadística: Tema-1-Ejercicios-Propuestos-2.pdf

2 páginas

He publicado nuevos ejercicios de 1º Estadística: Tema-1-Ejercicios-Propuestos-1.pdf

2 páginas

apuntes

-

apuntes segundo parcial

He publicado nuevos apuntes de 1º Estadística: apuntes segundo parcial

apuntes-tema-5.pdf
apuntes-tema-6.pdf
apuntes-tema-7.pdf
apuntes-tema-8.pdf
apuntes-tema-9.pdf

apuntes

-

Apuntes Estadística

He publicado nuevos apuntes de 1º Estadística: Apuntes Estadística

Apuntes-Parcial-1-Estadistica.pdf
Apuntes-Parcial-2-Estadistica.pdf
Anónimo

@Anónimo

apuntes

-

Ejercicios propuestos Estadística

He publicado nuevos apuntes de 1º Estadística: Ejercicios propuestos Estadística

Ej.-12-y-3.-Tema-1.pdf
Ej.-567-y-8.-Tema-1.pdf
Ej.-12-y-3.-Tema-2.pdf
Ej.-45-y-6.-Tema-2-y-Ej.-12.-Tema-3.pdf
Ej.-34-y-Matlab.-Tema-3.pdf
Ej.-123-y-4.-Tema-4.pdf

He publicado nuevos examenes de 1º Estadística: TODAS preguntas teoría segundo parcial.pdf

12 páginas

He publicado nuevos examenes de 1º Estadística: TODAS preguntas teoría primer parcial.pdf

2 páginas

He publicado nuevos examenes de 1º Estadística: preguntas examen matlab segundo parcial.pdf

4 páginas

He publicado nuevos examenes de 1º Estadística: examenes resueltos segundo parcial.pdf

128 páginas

He publicado nuevos examenes de 1º Estadística: examenes resueltos primer parcial.pdf

97 páginas
Anónimo

@Anónimo

He publicado nuevos apuntes de 1º Estadística: est-t6-t9.pdf

8 páginas
Anónimo

@Anónimo

He publicado nuevos apuntes de 1º Estadística: est-t5.pdf

1 página
Anónimo

@Anónimo

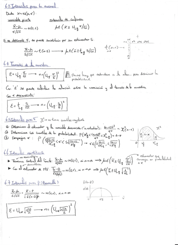
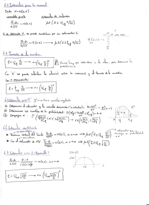
He publicado nuevos apuntes de 1º Estadística: est-t5-2.jpg

Imagen
Anónimo

@Anónimo

He publicado nuevos apuntes de 1º Estadística: est-t3.pdf

1 página
Anónimo

@Anónimo

He publicado nuevos apuntes de 1º Estadística: est-t2-2.pdf

1 página
Anónimo

@Anónimo

He publicado nuevos apuntes de 1º Estadística: est-t1.pdf

1 página
Anónimo

@Anónimo

He publicado nuevos apuntes de 1º Estadística: est-t1-2.pdf

1 página
Anónimo

@Anónimo

He publicado nuevos apuntes de 1º Estadística: TeoriaEstadistica.pdf

7 páginas

He publicado nuevos apuntes de 1º Estadística: Libro-con-el-que-aprobar-estadistica.pdf

315 páginas
Anónimo

@Anónimo

COLECCIÓN DE EJERCICIOS PARA IMPRIMIR Y PRACTICAR

31 páginas
Anónimo

@Anónimo

COLECCIÓN DE EJERCICIOS PARA IMPRIMIR Y PRACTICAR

31 páginas

Segundo parcial, apuntes completos

4 páginas

Primer parcial, formulario completo

10 páginas

He publicado nuevos apuntes de 1º Estadística: Res-Tema-7-VTC.pdf

3 páginas

He publicado nuevos apuntes de 1º Estadística: Res-Tema-6-VTC.pdf

3 páginas

He publicado nuevos apuntes de 1º Estadística: Res-Tema-8-VTC.pdf

3 páginas

He publicado nuevos apuntes de 1º Estadística: Res-Tema-9VTC.pdf

5 páginas

He publicado nuevos apuntes de 1º Estadística: Ejercicios-Propuestos-P2.pdf

8 páginas

He publicado nuevos apuntes de 1º Estadística: Examenes-Resueltos-P1.pdf

13 páginas

He publicado nuevos apuntes de 1º Estadística: Ejercicios-Propuestos-1P.pdf

13 páginas

He publicado nuevos examenes de 1º Estadística: Recopilacion-examenes-2.pdf

58 páginas

He publicado nuevos examenes de 1º Estadística: Recopilacion-examenes-1.pdf

24 páginas

He publicado nuevos apuntes de 1º Estadística: TEMA-4-5-6.pdf

19 páginas

He publicado nuevos apuntes de 1º Estadística: TEMA-1-2-3.txt

Miniatura no disponible
word

He publicado nuevos apuntes de 1º Estadística: TEMA-7-8-9.pdf

15 páginas

practicas

-

Talleres de Matlab con Solución - Curso 2023-2024

Talleres de Laboratorio de Israel Cañamón con Soluciones - Curso 2023-2024

Laboratorio1IntroduccionProgramacion.pdf
Laboratorio2LeyesDistribucion.pdf
Laboratorio4HipotesisModLineal.pdf

apuntes

-

Presentaciones de Clase con Solución - 2023-2024

Presentaciones de Clase de Israel Cañamón con Soluciones (Curso 2023-2024)

Tema1Clase1ExperimentosAleatorios.pdf
Tema1Clase2AsignacionDeProbabilidades.pdf
Tema1Clase3ProbabilidadCondicional.pdf
Tema1Clase4SucesosIndependientes.pdf
Tema2Clase1VariablesAleatorias.pdf
Tema2Clase2FuncionDensidad.pdf

ejercicios

-

Ejercicios Propuestos Con Solución - 2023-2024

Ejercicios Propuestos con Solución de Cañamón del curso 2023-2024

EjerciciosPropuestosTema1.pdf
EjerciciosPropuestosTema2.pdf
EjerciciosPropuestosTema3.pdf
EjerciciosPropuestosTema4.pdf
EjerciciosPropuestosTema5.pdf
EjerciciosPropuestosTema6.pdf

apuntes

-

Clase

He publicado nuevos apuntes de 1º Estadística: Clase

1o-clase.pdf
Ejercicios-adicionales-tema-2.pdf
Ejercicios-adicionales-tema-3.pdf
Ejercicios-adicionales-tema-4.pdf
Ejercicios-matlab.pdf
quiz.pdf

apuntes

-

Exámenes

He publicado nuevos apuntes de 1º Estadística: Exámenes

2017-Junio-gie2.pdf
Examen-2017.pdf
Parcial-2016-gie1-gie2.pdf
Parcial-2017-gie-2.pdf
Parcial-2017-gie1-gie3.pdf
2017-Julio-gie1.pdf

apuntes

-

Formulario

He publicado nuevos apuntes de 1º Estadística: Formulario

Estadistica.pdf
Formulario-parcial-1.pdf

apuntes

-

Segundo parcial

He publicado nuevos apuntes de 1º Estadística: Segundo parcial

T5.Estimacion.pdf
T6.Intervalosconfianza.pdf
T7.Pruebasdehipotesis.pdf
T8.Modelolinealsimple.pdf
T9.Modelizacion.pdf

He publicado nuevos apuntes de 1º Estadística: IMPRESCINDIBLE-ESTADISTICA.pdf

8 páginas

apuntes

-

Resumen Parte 1 Estadística

He publicado nuevos apuntes de 1º Estadística: Resumen Parte 1 Estadística

Resumen-Tema-1-Probabilidad.pdf
Resumen-Tema-2-Variable-Aleatoria.pdf
Resumen-Tema-3-Valores-Esperados.pdf
Resumen-Tema-4-Modelos-Principales.pdf

He publicado nuevos apuntes de 1º Estadística: EXAMENES.pdf

10 páginas

He publicado nuevos apuntes de 1º Estadística: CUEST-T7-Y-AUTOQUIZ-T8.pdf

4 páginas

He publicado nuevos apuntes de 1º Estadística: AUTOQUIZ-T1-Y-CUEST-T2.pdf

2 páginas

He publicado nuevos apuntes de 1º Estadística: RESUMEN-2-PARCIAL.pdf

2 páginas

ejercicios

-

EJERCICIOS PROPUESTOS

He publicado nuevos ejercicios de 1º Estadística: EJERCICIOS PROPUESTOS

EJS-T9.pdf
EJS-T8.pdf
EJS-T7.pdf
EJS-T6.pdf
EJS-T5.pdf
EJS-T4.pdf