chevron_left
chevron_right
Todo
Apuntes
Otros
chevron_left
chevron_right

He publicado nuevos apuntes de 2º Estadística: Formulari-EST-MQ.pdf

2 páginas

He publicado nuevos apuntes de 2º Estadística: Estadistica-combinatoria-i-probabilitat.pdf

2 páginas

Inferència, test d’hipòtesi, intervals de confiança i exemples

3 páginas

Explicació completa del tema 1: Estadística descriptiva univariant

5 páginas

apuntes

-

Diagrama de Bombolla

He publicado nuevos apuntes de 2º Estadística: Diagrama de Bombolla

Diagrama-de-Bombolla.pdf

apuntes

-

Estadística

He publicado nuevos apuntes de 2º Estadística: Estadística

Inferencia-estadistica.pdf
Variables-aleatories.pdf
Formulari-final.pdf

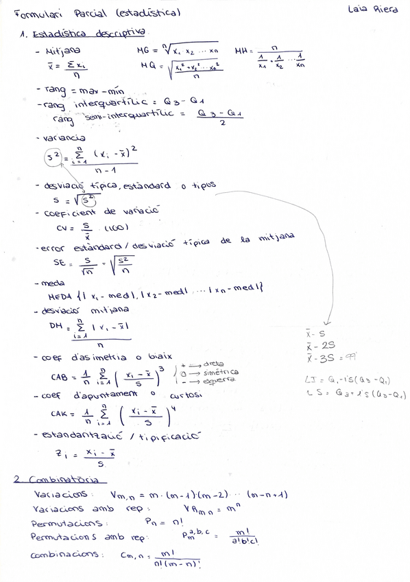
He publicado nuevos apuntes de 2º Estadística: Formulari-parcial-estadistica.pdf

2 páginas

He publicado nuevos apuntes de 2º Estadística: Formulariestadistica.pdf

1 página

otros

-

Formularis Estadística

He publicado nuevos otros de 2º Estadística: Formularis Estadística

Taules-estadistiques-Normal-Chi-t-F-1.pdf
Formulari-Parcial--Final.pdf

apuntes

-

Apunts Estadística

He publicado nuevos apuntes de 2º Estadística: Apunts Estadística

7.-Analisi-de-la-variancia.pdf
5.-Variables-aleatories.pdf
4.-Combinatoria-i-probabilitat.pdf
Anónimo

@Anónimo

apuntes

-

Estadística

He publicado nuevos apuntes de 2º Estadística: Estadística

Tema4-Combinatoria.pdf
Tema5-Probabilitat.pdf
Tema1-Estadistica-actual.pdf
Tema3e-Analisi-de-dades-univariants-Transformacions-i-normalitat.pdf
Tema3d-Analisi-de-dades-univariants-Diagrama-de-caixa.pdf
Tema3b-Analisi-de-dades-univariants-Grafics.pdf

He publicado nuevos apuntes de 2º Estadística: Estadística descriptiva.pdf

16 páginas

He publicado nuevos apuntes de 2º Estadística: Inferència.pdf

8 páginas

He publicado nuevos apuntes de 2º Estadística: Probabilitat.pdf

14 páginas
¡Estás al día!

¡Estás al día!

Has visto todos los archivos